The Influence of the Washing Process on the Impedance of Textronic Radio Frequency Identification Transponder Antennas
Abstract
1. Introduction
1.1. Textiles in Electronics
1.2. UHF RFID Transponder
2. Materials and Methods
2.1. Textile Antenna
- -
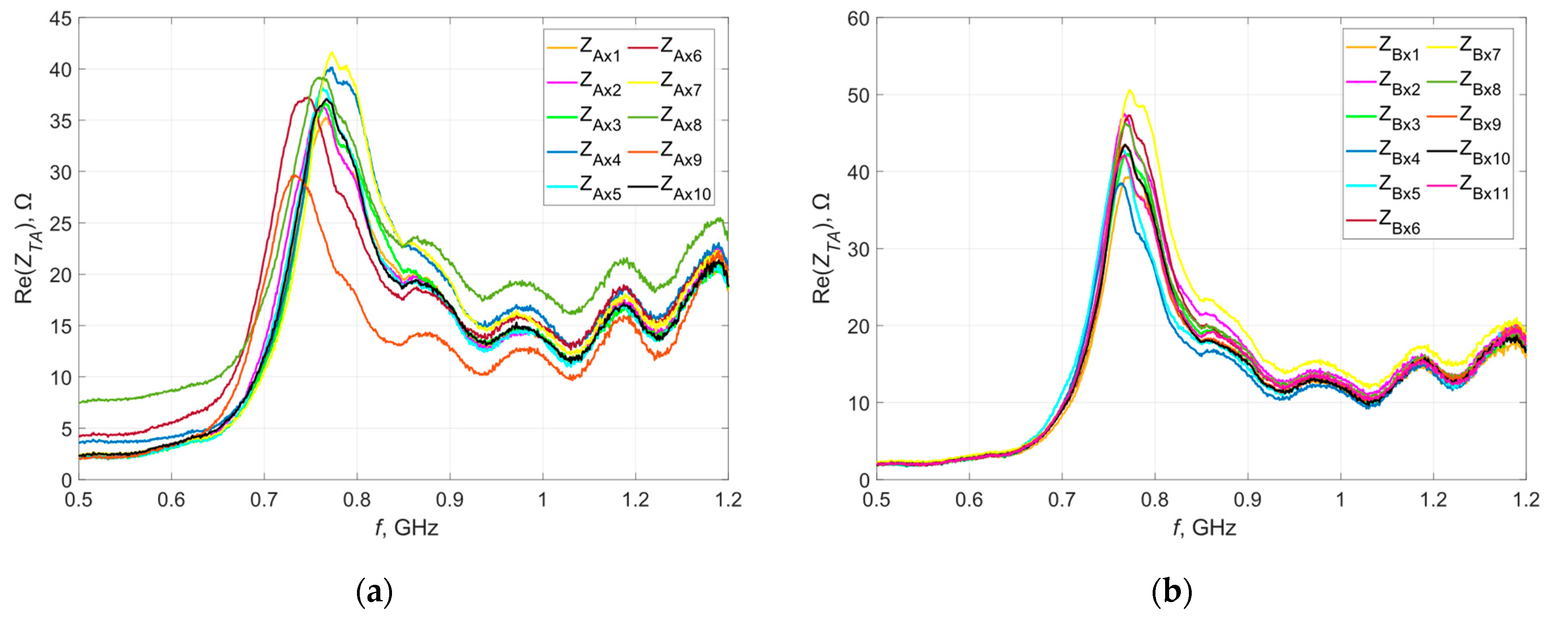
- Ten samples sewn on WL4715 fabric with Agsis thread (group A, marked as Ax1–Ax10);
- -
- Eleven samples sewn on WL4715 with litz wire (group B, marked as Bx1–Bx11);
- -
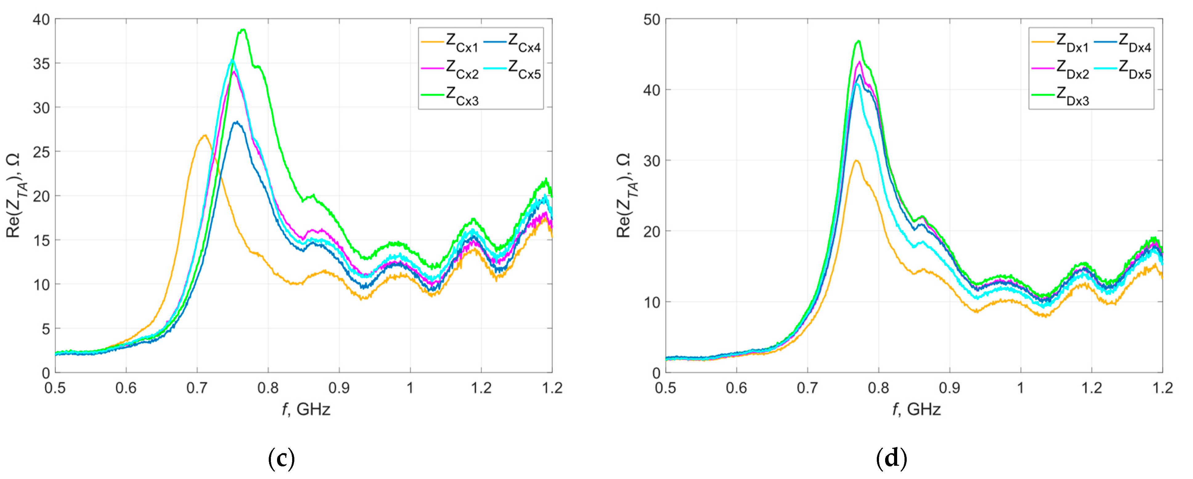
- Five samples sewn on WL4948 with Agsis thread (group C, marked as Cx1–Cx5);
- -
- Five samples sewn on WL4948 with litz wire (group D, marked as Dx1–Dx5).
2.2. Measurement Procedure
3. Results
3.1. Impedance Measurements of Model Antenna
3.2. The Effect of Washing on the Impedance of Model Antennas
4. Discussion
Author Contributions
Funding
Institutional Review Board Statement
Informed Consent Statement
Data Availability Statement
Conflicts of Interest
References
- Zheng, Y.L.; Ding, X.R.; Poon, C.C.; Lo, B.P.; Zhang, H.; Zhou, X.L.; Yang, G.Z.; Zhao, N.; Zhang, Y.T. Unobtrusive sensing and wearable devices for health informatics. IEEE Trans. Bio-Med. Eng. 2014, 61, 1538–1554. [Google Scholar] [CrossRef] [PubMed]
- Takamatsu, S.; Lonjaret, T.; Crisp, D.; Badier, J.M.; Malliaras, G.G.; Ismailova, E. Direct patterning of organic conductors on knitted textiles for long-term electrocardiography. Sci. Rep. 2015, 5, 15003. [Google Scholar] [CrossRef] [PubMed]
- Servati, A.; Zou, L.; Wang, Z.J.; Ko, F.; Servati, P. Novel Flexible Wearable Sensor Materials and Signal Processing for Vital Sign and Human Activity Monitoring. Sensors 2017, 17, 1622. [Google Scholar] [CrossRef] [PubMed]
- Wojciechowski, J.; Skrzetuska, E. Creation and Analysis of a Respiratory Sensor Using the Screen-Printing Method and the Arduino Platform. Sensors 2023, 23, 2315. [Google Scholar] [CrossRef] [PubMed]
- Cho, S.; Chang, T.; Yu, T.; Lee, C.H. Smart Electronic Textiles for Wearable Sensing and Display. Biosensors 2022, 12, 222. [Google Scholar] [CrossRef] [PubMed]
- Wang, X.; Yu, H.; Kold, S.; Rahbek, O.; Bai, S. Wearable Sensors for Activity Monitoring and Motion Control: A Review. Biomim. Intell. Robot. 2023, 3, 100089. [Google Scholar] [CrossRef]
- Aroganam, G.; Manivannan, N.; Harrison, D. Review on Wearable Technology Sensors Used in Consumer Sport Applications. Sensors 2019, 19, 1983. [Google Scholar] [CrossRef]
- Atalay, O. Textile-Based, Interdigital, Capacitive, Soft-Strain Sensor for Wearable Applications. Materials 2018, 11, 768. [Google Scholar] [CrossRef]
- Lim, J.Z.; Sim, A.; Kong, P.W. Wearable Technologies in Field Hockey Competitions: A Scoping Review. Sensors 2021, 21, 5242. [Google Scholar] [CrossRef]
- Liu, W.; Long, Z.; Yang, G.; Xing, L. A Self-Powered Wearable Motion Sensor for Monitoring Volleyball Skill and Building Big Sports Data. Biosensors 2022, 12, 60. [Google Scholar] [CrossRef]
- Hertleer, C.; Rogier, H.; Vallozzi, L.; Van Langenhove, L. A Textile Antenna for Off-Body Communication Integrated into Protective Clothing for Firefighters. IEEE Trans. Antennas Propag. 2009, 57, 919–925. [Google Scholar] [CrossRef]
- Shi, H.; Zhao, H.; Liu, Y.; Gao, W.; Dou, S.-C. Systematic Analysis of a Military Wearable Device Based on a Multi-Level Fusion Framework: Research Directions. Sensors 2019, 19, 2651. [Google Scholar] [CrossRef]
- Eyupoglu, S. Electronic Textiles: A Review. In Proceedings of the 2021 5th International Symposium on Multidisciplinary Studies and Innovative Technologies (ISMSIT), Ankara, Turkey, 21–23 October 2021; pp. 750–754. [Google Scholar] [CrossRef]
- Kang, D.; Lin, R.; Yin, L.; Ho, J.S.; Wang, L.; Lim, C.T. Electronic textiles for energy, sensing, and communication. iScience 2022, 25, 104174. [Google Scholar] [CrossRef]
- Hughes-Riley, T.; Dias, T.; Cork, C. A Historical Review of the Development of Electronic Textiles. Fibers 2018, 6, 34. [Google Scholar] [CrossRef]
- Meena, J.S.; Choi, S.B.; Jung, S.B.; Kim, J.W. Electronic textiles: New age of wearable technology for healthcare and fitness solutions. Mater. Today Bio 2023, 19, 100565. [Google Scholar] [CrossRef]
- Stoppa, M.; Chiolerio, A. Wearable Electronics and Smart Textiles: A Critical Review. Sensors 2014, 14, 11957–11992. [Google Scholar] [CrossRef]
- Ma, Z.; Huang, Q.; Zhou, N.; Zhuang, Q.; Ng, S.W.; Zheng, Z. Stretchable and conductive fibers fabricated by a continuous method for wearable devices. Cell Rep. Phys. Sci. 2023, 4, 101300. [Google Scholar] [CrossRef]
- Çelenk, E.; Tokan, N.T. All-Textile On-Body Antenna for Military Applications. IEEE Antennas Wirel. Propag. Lett. 2022, 21, 1065–1069. [Google Scholar] [CrossRef]
- Salvado, R.; Loss, C.; Gonçalves, R.; Pinho, P. Textile Materials for the Design of Wearable Antennas: A Survey. Sensors 2012, 12, 15841–15857. [Google Scholar] [CrossRef]
- Tao, X.; Koncar, V.; Huang, T.-H.; Shen, C.-L.; Ko, Y.-C.; Jou, G.-T. How to Make Reliable, Washable, and Wearable Textronic Devices. Sensors 2017, 17, 673. [Google Scholar] [CrossRef]
- Rotzler, S.; Schneider-Ramelow, M. Washability of E-Textiles: Failure Modes and Influences on Washing Reliability. Textiles 2021, 1, 37–54. [Google Scholar] [CrossRef]
- Jankowski-Mihułowicz, P.; Węglarski, M.; Chamera, M.; Pyt, P. Textronic UHF RFID Transponder. Sensors 2021, 21, 1093. [Google Scholar] [CrossRef] [PubMed]
- Saba, R.; Deleruyelle, T.; Alarcon, J.; Egels, M.; Pannier, P. A resistant textile tag antenna for RFID UHF frequency band. In Proceedings of the 2012 IEEE International Conference on RFID-Technologies and Applications (RFID-TA), Nice, France, 5–7 November 2012; pp. 203–207. [Google Scholar] [CrossRef]
- Chen, X.; He, H.; Ukkonen, L.; Virkki, J.; Xu, J.; Wang, T.; Cheng, L. Electro-textile glove-tags for wearable RFID applications. In Proceedings of the 2017 International Symposium on Antennas and Propagation (ISAP), Phuket, Thailand, 30 October–2 November 2017; pp. 1–2. [Google Scholar] [CrossRef]
- Moraru, A.; Helerea, E.; Ursachi, C. Passive RFID Tags for Textile Items—Requirements and Solutions. In Proceedings of the 2018 International Symposium on Fundamentals of Electrical Engineering (ISFEE), Bucharest, Romania, 1–3 November 2018; pp. 1–6. [Google Scholar] [CrossRef]
- Corchia, L.; Monti, G.; Tarricone, L. A Frequency Signature RFID Chipless Tag for Wearable Applications. Sensors 2019, 19, 494. [Google Scholar] [CrossRef] [PubMed]
- Wagih, M.; Wei, Y.; Komolafe, A.; Torah, R.; Beeby, S. Reliable UHF Long-Range Textile-Integrated RFID Tag Based on a Compact Flexible Antenna Filament. Sensors 2020, 20, 3435. [Google Scholar] [CrossRef]
- Toivonen, M.; Björninen, T.; Sydänheimo, L.; Ukkonen, L.; Rahmat-Samii, Y. Impact of Moisture and Washing on the Performance of Embroidered UHF RFID Tags. IEEE Antennas Wirel. Propag. Lett. 2013, 12, 1590–1593. [Google Scholar] [CrossRef]
- Björninen, T.; Virkki, J.; Sydänheimo, L.; Ukkonen, L. Impact of recurrent washing on the performance of electro-textile UHF RFID tags. In Proceedings of the 2014 IEEE RFID Technology and Applications Conference (RFID-TA), Tampere, Finland, 8–9 September 2014; pp. 251–255. [Google Scholar] [CrossRef]
- Kazmi, A.; Virkki, J.; Björninen, T.; Ukkonen, L. Performance of silver-based textile UHF passive RFID tags after recurrent washing. In Proceedings of the 2016 IEEE International Symposium on Antennas and Propagation (APSURSI), Fajardo, PR, USA, 26 June–1 July 2016; pp. 939–940. [Google Scholar] [CrossRef]
- Guibert, M.; Massicart, A.; Chen, X.; He, H.; Torres, J.; Ukkonen, L.; Virkki, J. Washing reliability of painted, embroidered, and electro-textile wearable RFID tags. In Proceedings of the 2017 Progress in Electromagnetics Research Symposium—Fall (PIERS—FALL), Singapore, 19–22 November 2017; pp. 828–831. [Google Scholar] [CrossRef]
- Moraru, A.; Ursachi, C.; Helerea, E. A New Washable UHF RFID Tag: Design, Fabrication, and Assessment. Sensors 2020, 20, 3451. [Google Scholar] [CrossRef]
- Simorangkir, R.B.V.B.; Le, D.; Björninen, T.; Sayem, A.S.M.; Zhadobov, M.; Sauleau, R. Washing Durability of PDMS-Conductive Fabric Composite: Realizing Washable UHF RFID Tags. IEEE Antennas Wirel. Propag. Lett. 2019, 18, 2572–2576. [Google Scholar] [CrossRef]
- Jankowski-Mihułowicz, P.; Węglarski, M.; Wilczkiewicz, B.; Chamera, M.; Laskowski, G. The Influence of Textile Substrates on the Performance of Textronic RFID Transponders. Materials 2022, 15, 7060. [Google Scholar] [CrossRef]
- Jankowski-Mihułowicz, P.; Węglarski, M.; Lichoń, W. A Procedure for Validating Impedance Parameters of HF/UHF RFID Transponder Antennas. In Methods and Techniques of Signal Processing in Physical Measurements, MSM2018; Lecture Notes in Electrical, Engineering; Hanus, R., Mazur, D., Kreischer, C., Eds.; Springer: Cham, Switzerland, 2019; Volume 548, pp. 101–118. [Google Scholar] [CrossRef]
- Jankowski-Mihułowicz, P.; Węglarski, M. Textronic UHF RFID transponder characteristics and determining the dielectric properties of textile substrates. In Proceedings of the 13th Conference “Electron Technology” ELTE & 43rd International Microelectronics and Packaging IMAPS Poland Conference, Wrocław, Poland, 4–6 September 2019; pp. 137–138. [Google Scholar]
- Liu, W.; Shangguan, D.; Lee, J.C. Evaluation of Launderability of Electrically Conductive Fabrics for E-Textile Applications. IEEE Trans. Compon. Packag. Manuf. Technol. 2020, 10, 763–769. [Google Scholar] [CrossRef]
- Rostás, K.; Navrátil, J.; Soukup, R.; Moravcová, D. The Influence of Washing Cycles on the Conductive Threads Used in E-textiles. In Proceedings of the 2022 45th International Spring Seminar on Electronics Technology (ISSE), Vienna, Austria, 11–15 May 2022; pp. 1–4. [Google Scholar] [CrossRef]


















| WL4715 | WL4948 | |
|---|---|---|
| Composition | cotton 97% spandex 3% | cotton 52% polyester 48% |
| GSM (grams per square meter) range | 230 | 260 |
| Sample | Total Length/Loop Diameter before Washing in cm | Total Length/Loop Diameter after 1 Washing in cm | Total Length/Loop Diameter after 4 Washings in cm | Total Length/Loop Diameter after 10 Washings in cm |
|---|---|---|---|---|
| Ax1 | 16.03/0.54 | 15.73/0.51 | 15.67/0.51 | 15.58/0.51 |
| Ax2 | 16.00/0.53 | 15.71/0.51 | 15.62/0.51 | 15.57/0.50 |
| Ax3 | 16.00/0.53 | 15.71/0.51 | 15.63/0.50 | 15.56/0.50 |
| Cx1 | 16.04/0.54 | 15.75/0.52 | 15.69/0.52 | 15.60/0.51 |
| Cx2 | 15.99/0.55 | 15.73/0.53 | 15.64/0.52 | 15.61/0.52 |
| Cx3 | 16.01/0.57 | 15.75/0.56 | 15.64/0.56 | 15.59/0.55 |
Disclaimer/Publisher’s Note: The statements, opinions and data contained in all publications are solely those of the individual author(s) and contributor(s) and not of MDPI and/or the editor(s). MDPI and/or the editor(s) disclaim responsibility for any injury to people or property resulting from any ideas, methods, instructions or products referred to in the content. |
© 2023 by the authors. Licensee MDPI, Basel, Switzerland. This article is an open access article distributed under the terms and conditions of the Creative Commons Attribution (CC BY) license (https://creativecommons.org/licenses/by/4.0/).
Share and Cite
Nizioł, M.; Jankowski-Mihułowicz, P.; Węglarski, M. The Influence of the Washing Process on the Impedance of Textronic Radio Frequency Identification Transponder Antennas. Materials 2023, 16, 4639. https://doi.org/10.3390/ma16134639
Nizioł M, Jankowski-Mihułowicz P, Węglarski M. The Influence of the Washing Process on the Impedance of Textronic Radio Frequency Identification Transponder Antennas. Materials. 2023; 16(13):4639. https://doi.org/10.3390/ma16134639
Chicago/Turabian StyleNizioł, Magdalena, Piotr Jankowski-Mihułowicz, and Mariusz Węglarski. 2023. "The Influence of the Washing Process on the Impedance of Textronic Radio Frequency Identification Transponder Antennas" Materials 16, no. 13: 4639. https://doi.org/10.3390/ma16134639
APA StyleNizioł, M., Jankowski-Mihułowicz, P., & Węglarski, M. (2023). The Influence of the Washing Process on the Impedance of Textronic Radio Frequency Identification Transponder Antennas. Materials, 16(13), 4639. https://doi.org/10.3390/ma16134639

