Effect of Permeable Crystalline Materials on the Mechanical and Porosity Property of Recycled Aggregate and Recycled Aggregate Concrete
Abstract
1. Introduction
2. Materials and Methods
2.1. Materials
2.1.1. Raw Materials
2.1.2. Permeable Crystalline Materials
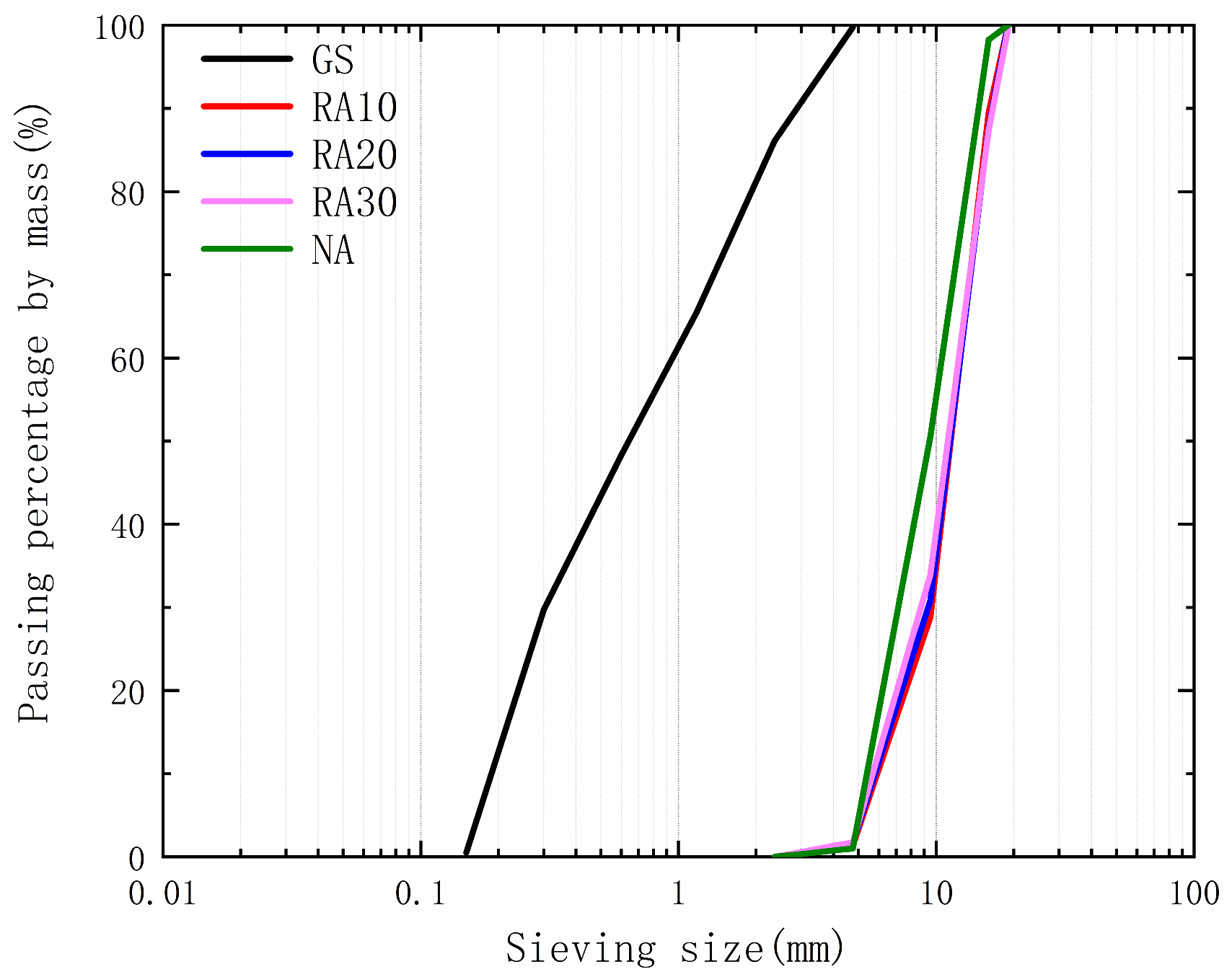
2.1.3. Recycled Aggregates
2.2. Sample Preparation
- (1)
- The recycled aggregate was immersed in the permeable crystalline solution for 14, 21, and 35 days, respectively.
- (2)
- Upon reaching the target immersion time, the recycled aggregate was removed from the permeable crystalline solution.
- (3)
- The removed recycled aggregate was washed and air-dried.
- (4)
- The modified recycled aggregates were subjected to tests to determine the crushing index and water absorption rate.
2.3. Mix Proportion Design
2.4. Testing Methods
2.4.1. Crushing Indices of Recycled Aggregates
2.4.2. Water Absorptions of Recycled Aggregates
2.4.3. Flowability Testing of Recycled Aggregate Concrete
2.4.4. Compressive Strength of Recycled Aggregate Concrete
2.4.5. Nuclear Magnetic Resonance Test
2.4.6. Scanning Electron Microscope Test
3. Results
3.1. Effect of Permeable Crystalline Materials on the Crushing Index of Recycled Aggregate
3.2. Effect of Permeable Crystalline Materials on the Water Absorption of Recycled Aggregate
3.3. Effect of Permeable Crystalline Materials on Workability of Recycled Aggregate Concrete
3.4. Compressive Strength of Recycled Aggregate Concrete Modified by Permeable Crystalline Materials
3.4.1. Effect of Replacement Rates of Recycled Aggregate on Compressive Strength
3.4.2. Effect of Initial Strength of Aggregates on Compressive Strength of Recycled Aggregate Concrete
3.4.3. Effect of Modification Time on the Compressive Strength
3.5. Effect of Permeable Crystalline Materials on the Pore Structure of Recycled Aggregate Concrete
3.6. Effect of Permeable Crystalline Materials on the Microstructure of Recycled Aggregate Concrete
4. Discussion
4.1. Mechanistic Analysis of Recycled Aggregate Modified by Permeable Crystalline Materials
4.2. Mechanistic Analysis of Recycled Aggregate Concrete Modified by Permeable Crystalline Materials
- (1)
- The water absorption and crushing index of the modified recycled aggregate are both improved. When mixed with new concrete, the reduced water absorption of the modified recycled aggregate leads to a decrease in its water content in the new concrete, resulting in less evaporation of hydration water and fewer formed pores, resulting in a denser structure. The decrease in the crushing index of the modified recycled aggregate leads to a higher interfacial transition zone (ITZ) strength in the new concrete, thereby improving the performance of the modified RAC.
- (2)
- After long-term soaking with sodium silicate, a large amount of unreacted sodium silicate adheres to the surface of the recycled aggregate. The sodium silicate adhering to the surface of the recycled aggregate disperses with the cement to various parts of the concrete during the mixing process. The sodium silicate promotes the hydration reaction of the cement, making the hydration reaction of the concrete more complete and the structure denser, thereby improving the performance of the recycled aggregate concrete.
4.3. Analysis of Economic and Carbon Emissions
5. Conclusions
- (1)
- The crushing index and water absorption rate of recycled aggregate decrease with increasing modification time using permeable crystalline materials. However, the rate of decrease slows down as the modification time increases.
- (2)
- For recycled aggregate concrete (RAC) with the same initial strength and substitution rate of aggregate, the compressive strength increases with increasing modification time. However, for RAC with the same initial strength and modification time, the compressive strength decreases with an increasing substitution rate of aggregate. Additionally, under a consistent modification time and substitution rate, the compressive strength of RAC increases with increasing initial strength of the aggregate.
- (3)
- The rheological properties of recycled aggregate self-compacting concrete were improved after modification with permeable crystalline materials. When the recycled aggregate was modified for too long, the concrete rheological properties decreased instead. Due to the excessive silicate adhering to the surface of recycled aggregate, the effective water–cement ratio of concrete decreases and the rheological performance decreases.
- (4)
- The RAC modified with permeable crystalline materials exhibits improved compressive strength. This is attributed to the formation of C-S-H crystals through the reaction between the silicate and calcium hydroxide in the material, which seals capillary channels and fills pores, thereby increasing the strength of recycled aggregate and reducing water absorption rates. Moreover, during the mixing process, the penetrating crystalline materials fall off the aggregate surface, filling the pores and cracks in the concrete and increasing its compactness.
- (5)
- The performances of recycled aggregates and recycled aggregate concrete are enhanced at multiple scales through the use of permeable crystalline materials, as demonstrated through microscopic and mechanistic analysis. This approach simultaneously improves the properties of recycled aggregates and recycled aggregate concrete.
Author Contributions
Funding
Data Availability Statement
Conflicts of Interest
References
- Hwang, B.G.; Yeo, Z.B. Perception on benefits of construction waste management in the Singapore construction industry. Eng. Constr. Archit. Manag. 2011, 18, 394–406. [Google Scholar] [CrossRef]
- Janani, R.; Kaveri, V. A critical literature review on reuse and recycling of construction waste in construction industry. Mater. Today Proc. 2021, 37, 3077–3081. [Google Scholar] [CrossRef]
- Yoda, K.; Shintani, A. Building application of recycled aggregate concrete for upper-ground structural elements. Constr. Build. Mater. 2014, 67, 379–385. [Google Scholar] [CrossRef]
- Kisku, N.; Joshi, H.; Ansari, M.; Panda, S.K.; Nayak, S.; Dutta, S.C. A critical review and assessment for usage of recycled aggregate as sustainable construction material. Constr. Build. Mater. 2017, 131, 721–740. [Google Scholar] [CrossRef]
- Younis, K.H.; Mustafa, S.M. Feasibility of Using Nanoparticles of SiO2 to Improve the Performance of Recycled Aggregate Concrete. Adv. Mater. Sci. Eng. 2018, 2018, 1512830. [Google Scholar] [CrossRef]
- Akbarnezhad, A.; Ong, K.C.G.; Zhang, M.H.; Tam, C.T.; Foo, T.W.J. Microwave-assisted beneficiation of recycled concrete aggregates. Constr. Build. Mater. 2011, 25, 3469–3479. [Google Scholar] [CrossRef]
- Xu, F.; Tian, B.; Xu, G.; Zhang, P. Influence of the ITZ Thickness on the Damage Performance of Recycled Concrete. Adv. Mater. Sci. Eng. 2021, 2021, 6643956. [Google Scholar] [CrossRef]
- Poon, C.S.; Shui, Z.H.; Lam, L. Effect of microstructure of ITZ on compressive strength of concrete prepared with recycled aggregates. Constr. Build. Mater. 2004, 18, 461–468. [Google Scholar] [CrossRef]
- Momayez, A.; Ehsani, M.R.; Ramezanianpour, A.A.; Rajaie, H. Comparison of methods for evaluating bond strength between concrete substrate and repair materials. Cem. Concr. Res. 2005, 35, 748–757. [Google Scholar] [CrossRef]
- Liu, Y.; Ren, P.; Garcia-Troncoso, N.; Mo, K.H.; Ling, T.-C. Roles of enhanced ITZ in improving the mechanical properties of concrete prepared with different types of recycled aggregates. J. Build. Eng. 2022, 60, 105197. [Google Scholar] [CrossRef]
- Pedro, D.; de Brito, J.; Evangelista, L. Influence of the use of recycled concrete aggregates from different sources on structural concrete. Constr. Build. Mater. 2014, 71, 141–151. [Google Scholar] [CrossRef]
- Thomas, J.; Thaickavil, N.N.; Wilson, P.M. Strength and durability of concrete containing recycled concrete aggregates. J. Build. Eng. 2018, 19, 349–365. [Google Scholar] [CrossRef]
- Yoon, H.-S.; Seo, E.-A.; Kim, D.-G.; Yang, K.-H. Efficiency of dry calcination and trituration treatments for removing cement pastes attached to recycled coarse aggregates. Constr. Build. Mater. 2021, 312, 125412. [Google Scholar] [CrossRef]
- Gong, Y.; Chen, P.; Lin, Y.; Wan, Y.; Zhang, L.; Meng, T. Improvement of recycled aggregate properties through a combined method of mechanical grinding and microbial-induced carbonate precipitation. Constr. Build. Mater. 2022, 342, 128093. [Google Scholar] [CrossRef]
- Bru, K.; Touzé, S.; Bourgeois, F.; Lippiatt, N.; Ménard, Y. Assessment of a microwave-assisted recycling process for the recovery of high-quality aggregates from concrete waste. Int. J. Miner. Process. 2014, 126, 90–98. [Google Scholar] [CrossRef]
- Tam, V.W.Y.; Tam, C.M.; Le, K.N. Removal of cement mortar remains from recycled aggregate using pre-soaking approaches, Resources. Conserv. Recycl. 2007, 50, 82–101. [Google Scholar] [CrossRef]
- Anand, K.B.; Poornima, V.; Gopal, M.; Gupta, A. Property enhancement of recycled coarse aggregate using bio-treatment approach. Mater. Today Proc. 2021, 46, 5138–5144. [Google Scholar] [CrossRef]
- Zhan, B.; Poon, C.S.; Liu, Q.; Kou, S.; Shi, C. Experimental study on CO2 curing for enhancement of recycled aggregate properties. Constr. Build. Mater. 2014, 67, 3–7. [Google Scholar] [CrossRef]
- Li, L.; Poon, C.S.; Xiao, J.; Xuan, D. Effect of carbonated recycled coarse aggregate on the dynamic compressive behavior recycled aggregate concrete. Constr. Build. Mater. 2017, 151, 52–62. [Google Scholar] [CrossRef]
- Zeng, W.; Zhao, Y.; Zheng, H.; Poon, C.S. Improvement in corrosion resistance of recycled aggregate concrete by nano silica suspension modification on recycled aggregates. Cem. Concr. Compos. 2020, 106, 103476. [Google Scholar] [CrossRef]
- Song, X.-B.; Li, C.-Z.; Chen, D.-D.; Gu, X.-L. Interfacial mechanical properties of recycled aggregate concrete reinforced by nano-materials. Constr. Build. Mater. 2021, 270, 121446. [Google Scholar] [CrossRef]
- Zhu, L.; Ning, Q.; Han, W.; Bai, L. Compressive strength and microstructural analysis of recycled coarse aggregate concrete treated with silica fume. Constr. Build. Mater. 2022, 334, 127453. [Google Scholar] [CrossRef]
- Al Ghabban, A.; Al Zubaidi, A.B.; Jafar, M.; Fakhri, Z. Effect of Nano SiO2 and Nano CaCO3 on The Mechanical Properties, Durability and flowability of Concrete. IOP Conf. Ser. Mater. Sci. Eng. 2018, 454, 012016. [Google Scholar] [CrossRef]
- Liu, X.; Chen, L.; Liu, A.; Wang, X. Effect of Nano-CaCO3 on Properties of Cement Paste. Energy Procedia 2012, 16, 991–996. [Google Scholar] [CrossRef]
- Liu, J.; Xie, X.; Li, L. Experimental study on mechanical properties and durability of grafted nano-SiO2 modified rice straw fiber reinforced concrete. Constr. Build. Mater. 2022, 347, 128575. [Google Scholar] [CrossRef]
- Kooshafar, M.; Madani, H. An investigation on the influence of nano silica morphology on the characteristics of cement composites. J. Build. Eng. 2020, 30, 101293. [Google Scholar] [CrossRef]
- GB/T14685-2011; Specification of Pebble and Crushed Stone for Building. National Standardization Administration Committee of the People’s Republic of China: Beijing, China, 2011.
- GB/T50080-2016; Standard for Test Method of Performance on Ordinary Fresh Concrete. Ministry of Housing and Urban-Rural Development of the People’s Republic of China: Beijing, China, 2016.
- Chen, X.-F.; Jiao, C.-J. Microstructure and physical properties of concrete containing recycled aggregates pre-treated by a nano-silica soaking method. J. Build. Eng. 2022, 51, 104363. [Google Scholar] [CrossRef]
- Madani, H.; Bagheri, A.; Parhizkar, T. The pozzolanic reactivity of monodispersed nanosilica hydrosols and their influence on the hydration characteristics of Portland cement. Cem. Concr. Res. 2012, 42, 1563–1570. [Google Scholar] [CrossRef]
- Ge, P.; Huang, W.; Zhang, J.; Quan, W.; Guo, Y. Microstructural analysis of recycled brick aggregate concrete modified by silane. Struct. Concr. 2021, 23, 2352–2364. [Google Scholar] [CrossRef]
- Bahrami, N.; Zohrabi, M.; Mahmoudy, S.A.; Akbari, M. Optimum recycled concrete aggregate and micro-silica content in self-compacting concrete: Rheological, mechanical and microstructural properties. J. Build. Eng. 2020, 31, 101361. [Google Scholar] [CrossRef]
- Gao, C.; Huang, L.; Yan, L.; Jin, R.; Chen, H. Mechanical properties of recycled aggregate concrete modified by nano-particles. Constr. Build. Mater. 2020, 241, 118030. [Google Scholar] [CrossRef]
- Xie, J.; Zhang, H.; Duan, L.; Yang, Y.; Yan, J.; Shan, D.; Liu, X.; Pang, J.; Chen, Y.; Li, X.; et al. Effect of nano metakaolin on compressive strength of recycled concrete. Constr. Build. Mater. 2020, 256, 119393. [Google Scholar] [CrossRef]
- Wu, Y.; Liu, C.; Liu, H.; Hu, H.; He, C.; Song, L.; Huang, W. Pore structure and durability of green concrete containing recycled powder and recycled coarse aggregate. J. Build. Eng. 2022, 53, 104584. [Google Scholar] [CrossRef]




















| Material | CaO | SiO2 | Al2O3 | MgO | SO3 | Fe2O3 | K2O | P2O5 | TiO2 |
|---|---|---|---|---|---|---|---|---|---|
| Cement | 69.32 | 16.50 | 3.61 | 1.24 | 3.08 | 4.06 | 1.28 | 0.24 | 0.44 |
| FA | 37.32 | 30.60 | 7.58 | 2.46 | 4.92 | 14.60 | 0.58 | 1.22 | 0.88 |
| Aggregate Types | RA10 | RA20 | RA30 | NA |
|---|---|---|---|---|
| Water absorption (%) | 4.35 | 3.66 | 2.29 | 0.55 |
| Crushing index (%) | 25.71 | 22.74 | 20.82 | 13.21 |
| Group | Mixture | C | W | S | NA | RA | CRA | FA | SP |
|---|---|---|---|---|---|---|---|---|---|
| 1 | NAC | 390 | 188 | 820 | 824 | 133 | 2.2 | ||
| 2 | RAC10–0–50% | 390 | 188 | 820 | 412 | 412 | 133 | 2.2 | |
| 3 | RAC10–0–100% | 390 | 188 | 820 | 824 | 133 | 2.2 | ||
| 4 | MRAC10–14–50% | 390 | 188 | 820 | 412 | 412 | 133 | 2.2 | |
| 5 | MRAC10–14–100% | 390 | 188 | 820 | 824 | 133 | 2.2 | ||
| 6 | MRAC10–21–50% | 390 | 188 | 820 | 412 | 412 | 133 | 2.2 | |
| 7 | MRAC10–21–100% | 390 | 188 | 820 | 824 | 133 | 2.2 | ||
| 8 | MRAC10–35–50% | 390 | 188 | 820 | 412 | 412 | 133 | 2.2 | |
| 9 | MRAC10–35–100% | 390 | 188 | 820 | 824 | 133 | 2.2 | ||
| 10 | RAC20–0–50% | 390 | 188 | 820 | 412 | 412 | 133 | 2.2 | |
| 11 | RAC20–0–100% | 390 | 188 | 820 | 824 | 133 | 2.2 | ||
| 12 | MRAC20–14–50% | 390 | 188 | 820 | 412 | 412 | 133 | 2.2 | |
| 13 | MRAC20–14–100% | 390 | 188 | 820 | 824 | 133 | 2.2 | ||
| 14 | MRAC20–21–50% | 390 | 188 | 820 | 412 | 412 | 133 | 2.2 | |
| 15 | MRAC20–21–100% | 390 | 188 | 820 | 824 | 133 | 2.2 | ||
| 16 | MRAC20–35–50% | 390 | 188 | 820 | 412 | 412 | 133 | 2.2 | |
| 17 | MRAC20–35–100% | 390 | 188 | 820 | 824 | 133 | 2.2 | ||
| 18 | RAC30–0–50% | 390 | 188 | 820 | 412 | 412 | 133 | 2.2 | |
| 19 | RAC30–0–100% | 390 | 188 | 820 | 824 | 133 | 2.2 | ||
| 20 | MRAC30–14–50% | 390 | 188 | 820 | 412 | 412 | 133 | 2.2 | |
| 21 | MRAC30–14–100% | 390 | 188 | 820 | 824 | 133 | 2.2 | ||
| 22 | MRAC30–21–50% | 390 | 188 | 820 | 412 | 412 | 133 | 2.2 | |
| 23 | MRAC30–21–100% | 390 | 188 | 820 | 824 | 133 | 2.2 | ||
| 24 | MRAC30–35–50% | 390 | 188 | 820 | 412 | 412 | 133 | 2.2 | |
| 25 | MRAC30–35–100% | 390 | 188 | 820 | 824 | 133 | 2.2 |
| No. | Raw Material Variety | Unit of Measure | CO2 Emissions (kgCO2/kg) |
|---|---|---|---|
| 1 | Cement | kg | 0.732 |
| 2 | Slag | kg | 0.0624 |
| 3 | Fly ash | kg | 0.0345 |
| 4 | Natural sand | kg | 0.00398 |
| 5 | Mechanical sand | kg | 0.0417 |
| 6 | Recycled aggregate | kg | 0 |
| 7 | Natural aggregate | kg | 0.00398 |
| 8 | Additive | kg | 0.72 |
| 9 | Water | kg | 0.000148 |
| 10 | Others | kg | 0.0442 |
Disclaimer/Publisher’s Note: The statements, opinions and data contained in all publications are solely those of the individual author(s) and contributor(s) and not of MDPI and/or the editor(s). MDPI and/or the editor(s) disclaim responsibility for any injury to people or property resulting from any ideas, methods, instructions or products referred to in the content. |
© 2023 by the authors. Licensee MDPI, Basel, Switzerland. This article is an open access article distributed under the terms and conditions of the Creative Commons Attribution (CC BY) license (https://creativecommons.org/licenses/by/4.0/).
Share and Cite
Li, P.; Gan, W.; Yao, G.; Huang, Q.; Zhao, R. Effect of Permeable Crystalline Materials on the Mechanical and Porosity Property of Recycled Aggregate and Recycled Aggregate Concrete. Materials 2023, 16, 4596. https://doi.org/10.3390/ma16134596
Li P, Gan W, Yao G, Huang Q, Zhao R. Effect of Permeable Crystalline Materials on the Mechanical and Porosity Property of Recycled Aggregate and Recycled Aggregate Concrete. Materials. 2023; 16(13):4596. https://doi.org/10.3390/ma16134596
Chicago/Turabian StyleLi, Pengfei, Wenhao Gan, Guoyou Yao, Qiao Huang, and Renming Zhao. 2023. "Effect of Permeable Crystalline Materials on the Mechanical and Porosity Property of Recycled Aggregate and Recycled Aggregate Concrete" Materials 16, no. 13: 4596. https://doi.org/10.3390/ma16134596
APA StyleLi, P., Gan, W., Yao, G., Huang, Q., & Zhao, R. (2023). Effect of Permeable Crystalline Materials on the Mechanical and Porosity Property of Recycled Aggregate and Recycled Aggregate Concrete. Materials, 16(13), 4596. https://doi.org/10.3390/ma16134596
