Basalt Fiber Reinforced Concrete: A Compressive Review on Durability Aspects
Abstract
1. Introduction
2. Apparent Density
3. Permeability
3.1. Sorptivity
3.2. Water Absorption (WA)
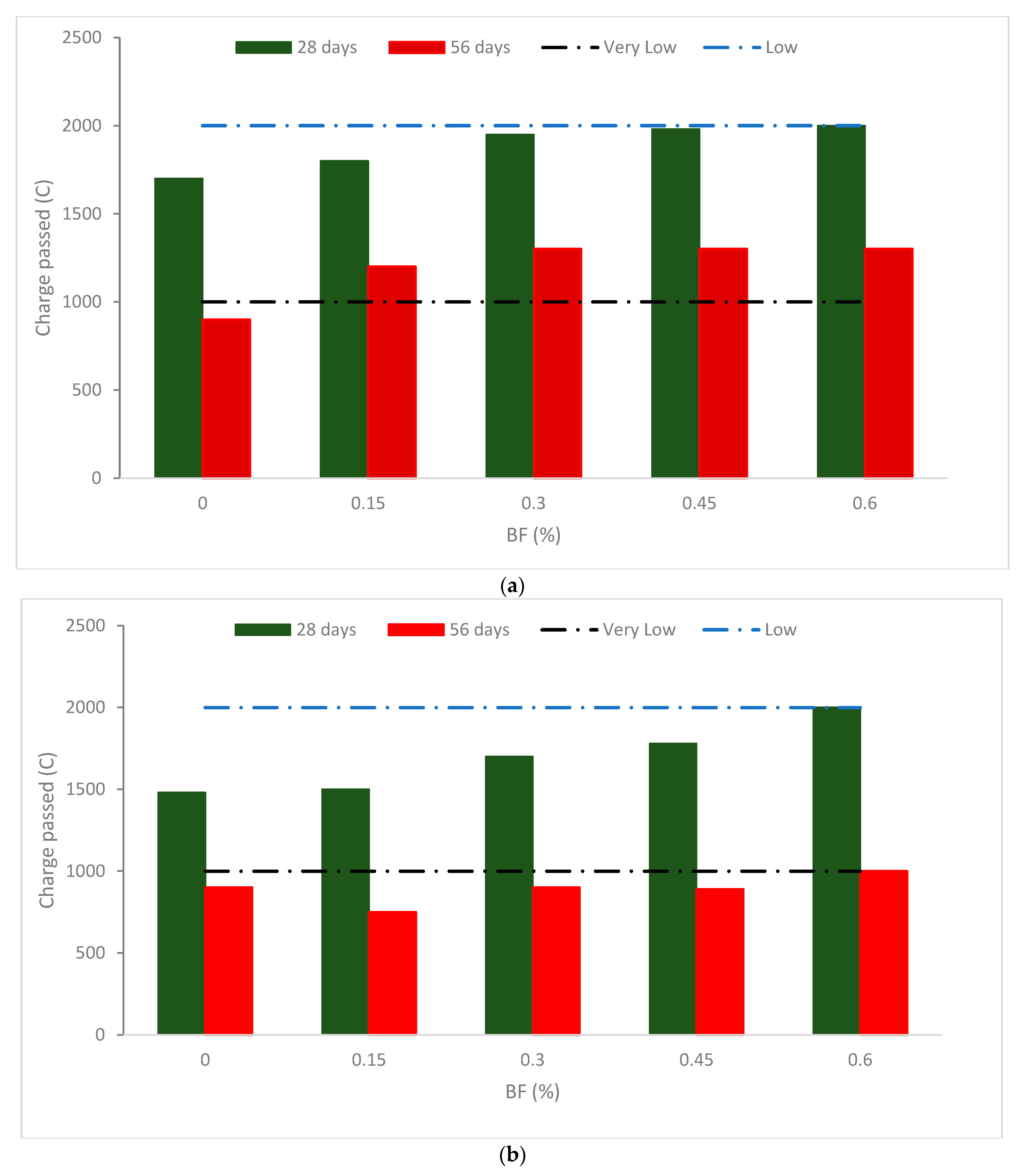
3.3. Rapid Chloride Ions Penetrability
4. Shrinkage
5. Electric Resistivity
6. Freezing and Thawing

7. Chloride Content
8. Ultra-Sonic Pulse Velocity
9. Alkali Resistance
10. Conclusions
- The apparent density and ultra-sonic pulse velocity exhibit a decreasing trend with increasing BF volume content.
 - Shrinkage declined with the addition of BF. It is owing to the crack’s prevention and higher elastic modulus of BF.
 - Surface resistivity boosted with BF up to 0.3%. However, beyond the accumulation of BF, the results declined in surface resistivity due to a lack of flowability.
 - The rapid chloride ions penetrability of concrete increased with the addition of BFs due to a weak fiber-matrix interfacial transition zone (fiber-ITZ) with extreme permeability. However, the addition of mineral admixture decreased the rapid chloride ions penetration up to some extent due to pozzolanic and micro fill-up cavities. Though data are fewer, and additional details analyses are necessary.
 - The freezing and thawing resistance of concrete was boosted with the addition of BF. The highest resistance was detected at a 0.02% addition of BF. However, further addition of BF resulted in a decrease in freezing and thawing resistance due to a lack of flowability.
 - BFs show comparable resistance to water, salt, and alkaline corrosion, but weaker resilience to acid corrosion than GFs and CFs. However, the statement is not clear, as some studies conclude that the BF is more corrosion resistant than carbon and GFs.
 
Author Contributions
Funding
Institutional Review Board Statement
Informed Consent Statement
Data Availability Statement
Conflicts of Interest
References
- Handayani, L.; Aprilia, S.; Abdullah, A.; Rahmawati, C.; Abdullah, M.M.A.B.; Aziz, I.H.; Azimi, E.A. Synthesis of Sodium Silicate from Rice Husk Ash as an Activator to Produce Epoxy-Geopolymer Cement. J. Phys. Conf. Ser. 2021, 1845, 012072. [Google Scholar] [CrossRef]
 - Smirnova, O.M.; Menéndez Pidal de Navascués, I.; Mikhailevskii, V.R.; Kolosov, O.I.; Skolota, N.S. Sound-Absorbing Composites with Rubber Crumb from Used Tires. Appl. Sci. 2021, 11, 7347. [Google Scholar] [CrossRef]
 - Chevuri, V.R.; Sridhar, S. Usage of Waste Foundry Sand in Concrete. Int. J. Civ. Eng. 2015, 2, 5–10. [Google Scholar] [CrossRef]
 - Lee, H.; Hanif, A.; Usman, M.; Sim, J.; Oh, H. Performance Evaluation of Concrete Incorporating Glass Powder and Glass Sludge Wastes as Supplementary Cementing Material. J. Clean. Prod. 2018, 170, 683–693. [Google Scholar] [CrossRef]
 - Chavan, S.; Rao, P. Utilization of Waste PET Bottle Fibers in Concrete as an Innovation in Building Materials—[A Review Paper]. Int. J. Eng. Res. 2016, 5, 304–307. [Google Scholar]
 - Ahmad, J.; Majdi, A.; Deifalla, A.F.; Isleem, H.F.; Rahmawati, C. Concrete Made with Partially Substitutions of Copper Slag (CPS): State of the Art Review. Materials 2022, 15, 5196. [Google Scholar] [CrossRef]
 - Rahmawati, C.; Aprilia, S.; Saidi, T.; Aulia, T.B. Current Development of Geopolymer Cement with Nanosilica and Cellulose Nanocrystals. J. Phys. Conf. Ser. 2021, 1783, 012056. [Google Scholar] [CrossRef]
 - Smirnova, O. Compatibility of Shungisite Microfillers with Polycarboxylate Admixtures in Cement Compositions. ARPN J. Eng. Appl. Sci. 2019, 14, 600–610. [Google Scholar]
 - Mahmoud, A.A.; Elkatatny, S. Improving Class G Cement Carbonation Resistance for Applications of Geologic Carbon Sequestration Using Synthetic Polypropylene Fiber. J. Nat. Gas Sci. Eng. 2020, 76, 103184. [Google Scholar] [CrossRef]
 - Monaldo, E.; Nerilli, F.; Vairo, G. Basalt-Based Fiber-Reinforced Materials and Structural Applications in Civil Engineering. Compos. Struct. 2019, 214, 246–263. [Google Scholar] [CrossRef]
 - Hasan, K.M.F.; Horváth, P.G.; Alpár, T. Lignocellulosic Fiber Cement Compatibility: A State of the Art Review. J. Nat. Fibers 2021, 19, 5409–5434. [Google Scholar] [CrossRef]
 - Ahmad, J.; Aslam, F.; Martinez-Garcia, R.; Ouni, M.H.E.; Khedher, K.M. Performance of Sustainable Self-Compacting Fiber Reinforced Concrete with Substitution of Marble Waste (MW) and Coconut Fibers (CFs). Sci. Rep. 2021, 11, 23184. [Google Scholar] [CrossRef]
 - Said, A.; Elsayed, M.; Abd El-Azim, A.; Althoey, F.; Tayeh, B.A. Using Ultra-High Performance Fiber Reinforced Concrete In Improvement Shear Strength of Reinforced Concrete Beams. Case Stud. Constr. Mater. 2022, 16, e01009. [Google Scholar] [CrossRef]
 - Ahmad, J.; Majdi, A.; Al-Fakih, A.; Deifalla, A.F.; Althoey, F.; El Ouni, M.H.; El-Shorbagy, M.A. Mechanical and Durability Performance of Coconut Fiber Reinforced Concrete: A State-of-the-Art Review. Materials 2022, 15, 3601. [Google Scholar] [CrossRef]
 - Sekar, A.; Kandasamy, G. Study on Durability Properties of Coconut Shell Concrete with Coconut Fiber. Buildings 2019, 9, 107. [Google Scholar] [CrossRef]
 - Cosgun, T. An Experimental Study of RC Beams with Varying Concrete Strength Classes Externally Strengthened with CFRP Composites. J. Eng. Fiber. Fabr. 2016, 11, 155892501601100300. [Google Scholar] [CrossRef]
 - Hossain, M.A.; Rahman, M.M.; Morshed, A.Z.; Haque, S.K.M. Investigation of the effect of nylon fiber in concrete rehabilitation. In Proceedings of the 1st International Conference on Civil Engineering for Sustainable Development, Khulna, Bangladesh, 2–3 March 2012. [Google Scholar]
 - Alomayri, T. Mechanical and Fracture Behaviour of Micro Steel Fibre-Reinforced Fly Ash-Based Geopolymer Paste Containing Nano CaCO3. J. Taibah Univ. Sci. 2021, 15, 391–406. [Google Scholar] [CrossRef]
 - Ibrahim, K.I.M. The Combined Influence of Polypropylene Fibers [PPF] and Silica Fume [SF] on Concrete Strength. Int. J. Eng. Res. Technol. (IJERT) 2017, 6, 106–112. [Google Scholar]
 - Gu, M.; Ahmad, W.; Alaboud, T.M.; Zia, A.; Akmal, U.; Awad, Y.A.; Alabduljabbar, H. Scientometric Analysis and Research Mapping Knowledge of Coconut Fibers in Concrete. Materials 2022, 15, 5639. [Google Scholar] [CrossRef]
 - Suresh, A.; Jayakumar, L.; Devaraju, A. Investigation of Mechanical and Wear Characteristic of Banana/Jute Fiber Composite. Mater. Today Proc. 2021, 39, 324–330. [Google Scholar] [CrossRef]
 - Ibrahim, K. Mechanical Properties of Glass Fiber Reinforced Concrete (GFRC). IOSR J. Mech. Civ. Eng 2016, 13, 47–50. [Google Scholar] [CrossRef]
 - Singh, A.P. Strength and Permeability Characteristics of Steel Fibre Reinforced Concrete. Int. J. Civil. Archit. Sci. Eng. 2013, 7, 211–216. [Google Scholar]
 - Afroughsabet, V.; Ozbakkaloglu, T. Mechanical and Durability Properties of High-Strength Concrete Containing Steel and Polypropylene Fibers. Constr. Build. Mater. 2015, 94, 73–82. [Google Scholar] [CrossRef]
 - Ahmad, J.; González-Lezcano, R.A.; Majdi, A.; Ben Kahla, N.; Deifalla, A.F.; El-Shorbagy, M.A. Glass Fibers Reinforced Concrete: Overview on Mechanical, Durability and Microstructure Analysis. Materials 2022, 15, 5111. [Google Scholar] [CrossRef]
 - Feduik, R. Reducing Permeability of Fiber Concrete Using Composite Binders. Spec. Top. Rev. Porous Media 2018, 9, 79–89. [Google Scholar] [CrossRef]
 - Olivito, R.S.; Zuccarello, F.A. An Experimental Study on the Tensile Strength of Steel Fiber Reinforced Concrete. Compos. Part B Eng. 2010, 41, 246–255. [Google Scholar] [CrossRef]
 - Czigany, T.; Pölöskei, K.; Karger-Kocsis, J. Fracture and Failure Behavior of Basalt Fiber Mat-Reinforced Vinylester/Epoxy Hybrid Resins as a Function of Resin Composition and Fiber Surface Treatment. J. Mater. Sci. 2005, 40, 5609–5618. [Google Scholar] [CrossRef]
 - Kim, Y.-H.; Park, J.-M.; Yoon, S.-W.; Lee, J.-W.; Jung, M.-K.; Murakami, R.-I. The Effect of Moisture Absorption and Gel-Coating Process on the Mechanical Properties of the Basalt Fiber Reinforced Composite. Int. J. Ocean Syst. Eng. 2011, 1, 148–154. [Google Scholar] [CrossRef]
 - Sim, J.; Park, C. Characteristics of Basalt Fiber as a Strengthening Material for Concrete Structures. Compos. Part B Eng. 2005, 36, 504–512. [Google Scholar] [CrossRef]
 - Fiore, V.; Scalici, T.; Di Bella, G.; Valenza, A. A Review on Basalt Fibre and Its Composites. Compos. Part B Eng. 2015, 74, 74–94. [Google Scholar] [CrossRef]
 - Di Ludovico, M.; Prota, A.; Manfredi, G. Structural Upgrade Using Basalt Fibers for Concrete Confinement. J. Compos. Constr. 2010, 14, 541–552. [Google Scholar] [CrossRef]
 - Angst, U.; Elsener, B.; Larsen, C.K.; Vennesland, Ø. Critical Chloride Content in Reinforced Concrete—A Review. Cem. Concr. Res. 2009, 39, 1122–1138. [Google Scholar] [CrossRef]
 - Wu, G.; Wang, X.; Wu, Z.; Dong, Z.; Zhang, G. Durability of Basalt Fibers and Composites in Corrosive Environments. J. Compos. Mater. 2015, 49, 873–887. [Google Scholar] [CrossRef]
 - Lee, J.J.; Song, J.; Kim, H. Chemical Stability of Basalt Fiber in Alkaline Solution. Fibers Polym. 2014, 15, 2329–2334. [Google Scholar] [CrossRef]
 - Algin, Z.; Ozen, M. The Properties of Chopped Basalt Fibre Reinforced Self-Compacting Concrete. Constr. Build. Mater. 2018, 186, 678–685. [Google Scholar] [CrossRef]
 - Wang, D.; Ju, Y.; Shen, H.; Xu, L. Mechanical Properties of High Performance Concrete Reinforced with Basalt Fiber and Polypropylene Fiber. Constr. Build. Mater. 2019, 197, 464–473. [Google Scholar] [CrossRef]
 - Taha, A.; Alnahhal, W.; Alnuaimi, N. Bond Durability of Basalt FRP Bars to Fiber Reinforced Concrete in a Saline Environment. Compos. Struct. 2020, 243, 112277. [Google Scholar] [CrossRef]
 - Li, Y.; Zhang, J.; He, Y.; Huang, G.; Li, J.; Niu, Z.; Gao, B. A Review on Durability of Basalt Fiber Reinforced Concrete. Compos. Sci. Technol. 2022, 225, 109519. [Google Scholar] [CrossRef]
 - Guo, Y.; Hu, X.; Lv, J. Experimental Study on the Resistance of Basalt Fibre-Reinforced Concrete to Chloride Penetration. Constr. Build. Mater. 2019, 223, 142–155. [Google Scholar] [CrossRef]
 - Sadrmomtazi, A.; Tahmouresi, B.; Saradar, A. Effects of Silica Fume on Mechanical Strength and Microstructure of Basalt Fiber Reinforced Cementitious Composites (BFRCC). Constr. Build. Mater. 2018, 162, 321–333. [Google Scholar] [CrossRef]
 - Tadepalli, P.R.; Mo, Y.L.; Hsu, T.T.C. Mechanical Properties of Steel Fibre Concrete. Mag. Concr. Res. 2013, 65, 462–474. [Google Scholar] [CrossRef]
 - Zhang, L.F.; Wang, D.F. Effect of Basalt Fiber Content on Sulfate Resistance and Impermeability of Concrete. Bull. Chin. Ceram. Soc. 2018, 37, 1946–1950. [Google Scholar]
 - Martys, N.S.; Ferraris, C.F. Capillary Transport in Mortars and Concrete. Cem. Concr. Res. 1997, 27, 747–760. [Google Scholar] [CrossRef]
 - Kumar, M.M.; Sivakumar, V.L.; Devi, V.S.; Nagabhooshanam, N.; Thanappan, S. Investigation on Durability Behavior of Fiber Reinforced Concrete with Steel Slag/Bacteria beneath Diverse Exposure Conditions. Adv. Mater. Sci. Eng. 2022, 2022, 4900241. [Google Scholar] [CrossRef]
 - Niu, D.; Su, L.; Luo, Y.; Huang, D.; Luo, D. Experimental Study on Mechanical Properties and Durability of Basalt Fiber Reinforced Coral Aggregate Concrete. Constr. Build. Mater. 2020, 237, 117628. [Google Scholar] [CrossRef]
 - Yuan, Z.; Jia, Y. Mechanical Properties and Microstructure of Glass Fiber and Polypropylene Fiber Reinforced Concrete: An Experimental Study. Constr. Build. Mater. 2021, 266, 121048. [Google Scholar] [CrossRef]
 - Sivakumar, V.R.; Kavitha, O.R.; Arulraj, G.P.; Srisanthi, V.G. An Experimental Study on Combined Effects of Glass Fiber and Metakaolin on the Rheological, Mechanical, and Durability Properties of Self-Compacting Concrete. Appl. Clay Sci. 2017, 147, 123–127. [Google Scholar] [CrossRef]
 - Ahmad, J.; Manan, A.; Ali, A.; Khan, M.W.; Asim, M.; Zaid, O. A Study on Mechanical and Durability Aspects of Concrete Modified with Steel Fibers (SFs). Civ. Eng. Archit. 2020, 8, 814–823. [Google Scholar] [CrossRef]
 - Huang, G.; Xie, X. Experimental Study on the Effect of Nano-SiO2 to Durability in Hydraulic Concrete. Yellow River 2011, 33, 138–140. [Google Scholar]
 - Hassan, K.E.; Cabrera, J.G.; Maliehe, R.S. The Effect of Mineral Admixtures on the Properties of High-Performance Concrete. Cem. Concr. Compos. 2000, 22, 267–271. [Google Scholar] [CrossRef]
 - Teng, S.; Afroughsabet, V.; Ostertag, C.P. Flexural Behavior and Durability Properties of High Performance Hybrid-Fiber-Reinforced Concrete. Constr. Build. Mater. 2018, 182, 504–515. [Google Scholar] [CrossRef]
 - Borhan, T.M. Thermal and Mechanical Properties of Basalt Fibre Reinforced Concrete. World Acad. Sci. Eng. Technol. WASET 2013, 7, 313. [Google Scholar]
 - Chen, B.; Liu, J. Contribution of Hybrid Fibers on the Properties of the High-Strength Lightweight Concrete Having Good Workability. Cem. Concr. Res. 2005, 35, 913–917. [Google Scholar] [CrossRef]
 - Yerramala, A.; Babu, K.G. Transport Properties of High Volume Fly Ash Roller Compacted Concrete. Cem. Concr. Compos. 2011, 33, 1057–1062. [Google Scholar] [CrossRef]
 - Thomas, M.D.; Shehata, M.H.; Shashiprakash, S.G.; Hopkins, D.S.; Cail, K. Use of Ternary Cementitious Systems Containing Silica Fume and Fly Ash in Concrete. Cem. Concr. Res. 1999, 29, 1207–1214. [Google Scholar] [CrossRef]
 - Ahmed, M.O.; Al-Hawat, W. Influence of Fly Ash and Basalt Fibers on Strength and Chloride Penetration Resistance of Self-Consolidating Concrete. Mater. Sci. Forum 2016, 866, 3–8. [Google Scholar]
 - Martinelli, E.; Caggiano, A.; Xargay, H. An Experimental Study on the Post-Cracking Behaviour of Hybrid Industrial/Recycled Steel Fibre-Reinforced Concrete. Constr. Build. Mater. 2015, 94, 290–298. [Google Scholar] [CrossRef]
 - Lam, N.N.; Van Hung, L. Mechanical and Shrinkage Behavior of Basalt Fiber Reinforced Ultra-High-Performance Concrete. GEOMATE J. 2021, 20, 28–35. [Google Scholar] [CrossRef]
 - Lan, Y.; Zheng, B.; Shi, T.; Ma, C.; Liu, Y.; Zhao, Z. Crack Resistance Properties of Carbon Nanotube-Modified Concrete. Mag. Concr. Res. 2022, 74, 1165–1175. [Google Scholar] [CrossRef]
 - Alrshoudi, F.; Mohammadhosseini, H.; Tahir, M.M.; Alyousef, R.; Alghamdi, H.; Alharbi, Y.; Alsaif, A. Drying Shrinkage and Creep Properties of Prepacked Aggregate Concrete Reinforced with Waste Polypropylene Fibers. J. Build. Eng. 2020, 32, 101522. [Google Scholar] [CrossRef]
 - Elshazli, M.T.; Ramirez, K.; Ibrahim, A.; Badran, M. Mechanical, Durability and Corrosion Properties of Basalt Fiber Concrete. Fibers 2022, 10, 10. [Google Scholar] [CrossRef]
 - Li, Z.; Lara, M.A.P.; Bolander, J.E. Restraining Effects of Fibers during Non-Uniform Drying of Cement Composites. Cem. Concr. Res. 2006, 36, 1643–1652. [Google Scholar] [CrossRef]
 - Messan, A.; Ienny, P.; Nectoux, D. Free and Restrained Early-Age Shrinkage of Mortar: Influence of Glass Fiber, Cellulose Ether and EVA (Ethylene-Vinyl Acetate). Cem. Concr. Compos. 2011, 33, 402–410. [Google Scholar] [CrossRef]
 - Schwartzentruber, A.; Philippe, M.; Marchese, G. Effect of PVA, Glass and Metallic Fibers, and of an Expansive Admixture on the Cracking Tendency of Ultrahigh Strength Mortar. Cem. Concr. Compos. 2004, 26, 573–580. [Google Scholar] [CrossRef]
 - Figueiras, H.; Nunes, S.; Coutinho, J.S.; Andrade, C. Linking Fresh and Durability Properties of Paste to SCC Mortar. Cem. Concr. Compos. 2014, 45, 209–226. [Google Scholar] [CrossRef]
 - Fiala, L.; Toman, J.; Vodička, J.; Ráček, V. Experimental Study on Electrical Properties of Steel-Fibre Reinforced Concrete. Procedia Eng. 2016, 151, 241–248. [Google Scholar] [CrossRef]
 - Cleven, S.; Raupach, M.; Matschei, T. Electrical Resistivity Measurements to Determine the Steel Fiber Content of Concrete. Struct. Concr. 2022, 23, 1704–1717. [Google Scholar] [CrossRef]
 - Xu, J.; Wu, Z.; Chen, H.; Shao, L.; Zhou, X.; Wang, S. Influence of Dry-Wet Cycles on the Strength Behavior of Basalt-Fiber Reinforced Loess. Eng. Geol. 2022, 302, 106645. [Google Scholar] [CrossRef]
 - Wu, Z.; Xu, J.; Chen, H.; Shao, L.; Zhou, X.; Wang, S. Shear Strength and Mesoscopic Characteristics of Basalt Fiber–Reinforced Loess after Dry–Wet Cycles. J. Mater. Civ. Eng. 2022, 34, 4022083. [Google Scholar] [CrossRef]
 - Powers, T.C. Void Space as a Basis for Producing Air-Entrained Concrete. J. Proc. 1954, 50, 741–760. [Google Scholar]
 - Tiberti, G.; Minelli, F.; Plizzari, G.A.; Vecchio, F.J. Influence of Concrete Strength on Crack Development in SFRC Members. Cem. Concr. Compos. 2014, 45, 176–185. [Google Scholar] [CrossRef]
 - Zeng, H.; Zhang, J.; Li, Y.; Su, X.; Gu, C.; Zhang, K. Mechanical Properties and Microstructure of Basalt Fiber Reinforced Concrete Under the Single-Side Salt-Freezing–Drying–Wetting Cycles. Int. J. Concr. Struct. Mater. 2022, 16, 44. [Google Scholar] [CrossRef]
 - Arup, H. Corrosion of reinforcement in concrete construction. Br. Corros. J. 1996, 31, 277–278. [Google Scholar] [CrossRef]
 - Shafiq, N.; Fadhilnuruddin, M.; Elshekh, A.E.A.; Fathi, A. Correlation between Compressive Strength and Ultrasonic Pulse Velocity of High Strength Concrete Incorporating Chopped Basalt Fibre. In Proceedings of the AIP Conference Proceedings; AIP Publishing LLC: Woodbury, NY, USA, 2015; Volume 1669, p. 20010. [Google Scholar]
 - Sanjeev, J.; Nitesh, K.J.N.S. Study on the Effect of Steel and Glass Fibers on Fresh and Hardened Properties of Vibrated Concrete and Self-Compacting Concrete. Mater. Today Proc. 2020, 27, 1559–1568. [Google Scholar] [CrossRef]
 - Ramachandran, B.E.; Velpari, V.; Balasubramanian, N. Chemical Durability Studies on Basalt Fibres. J. Mater. Sci. 1981, 16, 3393–3397. [Google Scholar] [CrossRef]
 - Mingchao, W.; Zuoguang, Z.; Yubin, L.; Min, L.; Zhijie, S. Chemical Durability and Mechanical Properties of Alkali-Proof Basalt Fiber and Its Reinforced Epoxy Composites. J. Reinf. Plast. Compos. 2008, 27, 393–407. [Google Scholar] [CrossRef]
 



















Disclaimer/Publisher’s Note: The statements, opinions and data contained in all publications are solely those of the individual author(s) and contributor(s) and not of MDPI and/or the editor(s). MDPI and/or the editor(s) disclaim responsibility for any injury to people or property resulting from any ideas, methods, instructions or products referred to in the content.  | 
© 2023 by the authors. Licensee MDPI, Basel, Switzerland. This article is an open access article distributed under the terms and conditions of the Creative Commons Attribution (CC BY) license (https://creativecommons.org/licenses/by/4.0/).
Share and Cite
Al-Kharabsheh, B.N.; Arbili, M.M.; Majdi, A.; Alogla, S.M.; Hakamy, A.; Ahmad, J.; Deifalla, A.F. Basalt Fiber Reinforced Concrete: A Compressive Review on Durability Aspects. Materials 2023, 16, 429. https://doi.org/10.3390/ma16010429
Al-Kharabsheh BN, Arbili MM, Majdi A, Alogla SM, Hakamy A, Ahmad J, Deifalla AF. Basalt Fiber Reinforced Concrete: A Compressive Review on Durability Aspects. Materials. 2023; 16(1):429. https://doi.org/10.3390/ma16010429
Chicago/Turabian StyleAl-Kharabsheh, Buthainah Nawaf, Mohamed Moafak Arbili, Ali Majdi, Saleh M. Alogla, Ahmad Hakamy, Jawad Ahmad, and Ahmed Farouk Deifalla. 2023. "Basalt Fiber Reinforced Concrete: A Compressive Review on Durability Aspects" Materials 16, no. 1: 429. https://doi.org/10.3390/ma16010429
APA StyleAl-Kharabsheh, B. N., Arbili, M. M., Majdi, A., Alogla, S. M., Hakamy, A., Ahmad, J., & Deifalla, A. F. (2023). Basalt Fiber Reinforced Concrete: A Compressive Review on Durability Aspects. Materials, 16(1), 429. https://doi.org/10.3390/ma16010429
        
