Structure and Thermal Stability of ε/κ-Ga2O3 Films Deposited by Liquid-Injection MOCVD
Abstract
1. Introduction
2. Materials and Methods
3. Results
3.1. Crystal Structure of ε/κ-Ga2O3 Thin Films
3.2. Transmittance Spectrum
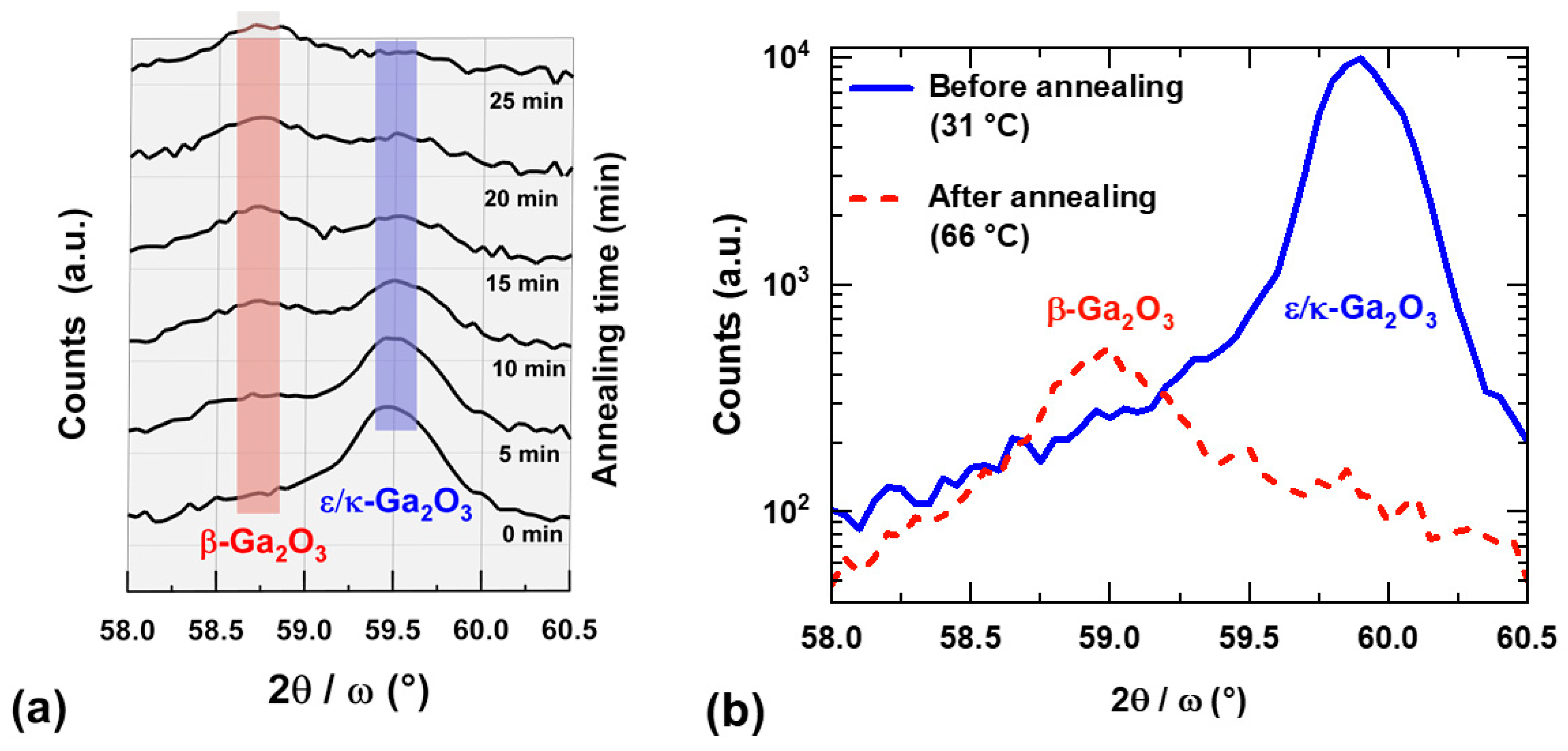
3.3. Thermal Stability of ε/κ-Ga2O3 Thin Films
4. Discussion
5. Conclusions
Author Contributions
Funding
Institutional Review Board Statement
Informed Consent Statement
Conflicts of Interest
References
- Higashiwaki, M.; Sasaki, K.; Kuramata, A.; Masui, T.; Yamakoshi, S. Gallium oxide (Ga2O3) metal-semiconductor field-effect transistors on single-crystal β-Ga2O3 (010) substrates. Appl. Phys. Lett. 2012, 100, 013504. [Google Scholar] [CrossRef]
- Wong, M.H.; Sasaki, K.; Kuramata, A.; Yamakoshi, S.; Higashiwaki, M. Field-Plated Ga2O3 MOSFETs With a Breakdown Voltage of over 750 V. IEEE Electron. Device Lett. 2016, 37, 212. [Google Scholar] [CrossRef]
- Higashiwaki, M.; Sasaki, K.; Murakami, H.; Kumagai, Y.; Koukitu, A.; Kuramata, A.; Masui, T.; Yamakoshi, T. Recent progress in Ga2O3 power devices. Semicond. Sci. Technol. 2016, 31, 034001. [Google Scholar] [CrossRef]
- Ahmadi, E.; Oshima, Y.J. Materials issues and devices of α- and β-Ga2O3. Appl. Phys. 2019, 126, 160901. [Google Scholar] [CrossRef]
- Tak, B.R.; Kumar, S.; Kapoor, A.K.; Wang, D.; Li, X.; Sun, H.; Singh, R. Recent advances in the growth of gallium oxide thin films employing various growth techniques—A review. J. Phys. D Appl. Phys. 2021, 54, 453002. [Google Scholar] [CrossRef]
- Green, A.J.; Chabak, K.D.; Heller, E.R.; Fitch, R.C.; Baldini, M.; Fiedler, A.; Irmscher, K.; Wagner, G.; Galazka, Z.; Tetlak, S.E. 3.8-MV/cm Breakdown Strength of MOVPE-Grown Sn-Doped β-Ga2O3 MOSFETs. IEEE Electron Device Lett. 2016, 37, 902. [Google Scholar] [CrossRef]
- Yan, X.; Esqueda, I.S.; Ma, J.; Tice, J.; Wang, H. High breakdown electric field in β-Ga2O3/graphene vertical barristor heterostructure. Appl. Phys. Lett. 2018, 112, 1. [Google Scholar] [CrossRef]
- Guo, D.; Guo, Q.; Chen, Z.; Wu, Z.; Li, P.; Tang, W. Review of Ga2O3-based optoelectronic devices. Mat. Today Phys. 2019, 11, 100157. [Google Scholar] [CrossRef]
- Galazka, Z.; Uecker, R.; Irmscher, K.; Albrecht, M.; Klimm, D.; Pietsch, M.; Brutzam, M.; Bertram, R.; Ganschow, S.; Fornari, R. Czochralski growth and characterization of β-Ga2O3 single crystals. Cryst. Res. Technol. 2010, 45, 1229. [Google Scholar] [CrossRef]
- Kuramata, A.; Koshi, K.; Watanabe, S.; Yamaoka, Y.; Masui, T.; Yamakoshi, S. High-quality β-Ga2O3 single crystals grown by edge-defined film-fed growth. Jpn. J. Appl. Phys. 2016, 55, 1202A2. [Google Scholar] [CrossRef]
- Kaneko, K.; Suzuki, K.; Ito, Y.; Fujita, S. Growth characteristics of corundum-structured α-(AlxGa1−x)2O3/Ga2O3 heterostructures on sapphire substrates. J. Cryst. Growth 2016, 436, 150. [Google Scholar] [CrossRef]
- Oda, M.; Kaneko, K.; Fujita, S.; Hitora, T. Crack-free thick (∼5 µm) α-Ga2O3 films on sapphire substrates with α-(Al,Ga)2O3 buffer layers. Jpn. J. Appl. Phys. 2016, 55, 1202B4. [Google Scholar] [CrossRef]
- Liu, Z.; Huang, Y.; Zhang, C.; Wang, J.; Li, H.; Wu, Z.; Li, O.; Tang, W. Flexible and highly stable solar-blind photodetector based on room-temperature synthesis of amorphous Ga2O3 film. J. Phys. D Appl. Phys. 2020, 53, 295109. [Google Scholar] [CrossRef]
- Xia, X.; Xia, X.; Chen, Y.; Feng, Q.; Liang, H.; Tao, P.; Xu, M.; Du, G. Hexagonal phase-pure wide band gap ε-Ga2O3 films grown on 6H-SiC substrates by metal organic chemical vapor deposition. Appl. Phys. Lett. 2016, 108, 202103. [Google Scholar] [CrossRef]
- Nikolaev, I.V.; Stepanov, S.I.; Pechnikov, A.I.; Shapenkov, S.V.; Scheglov, M.P.; Chikiryaka, A.V.; Vyvenko, O.F. HVPE Growth and Characterization of ε-Ga2O3 Films on Various Substrates. ECS J. Solid State Sci. Technol. 2020, 9, 045014. [Google Scholar] [CrossRef]
- Kim, S.; Lee, J.; Ahn, H.; Kim, K.; Yang, M. Growth and crystal phase transformation of ε-Ga2O3 grown on 4H–SiC by MOCVD. Mater. Sci. Semicond. Process. 2022, 144, 106586. [Google Scholar] [CrossRef]
- Guo, S.-D.; Du, H.-M. Piezoelectric properties of Ga2O3: A first-principle study. Europ. Phys. J. B 2020, 93, 7. [Google Scholar] [CrossRef]
- Cho, S.B.; Mishra, R. Epitaxial engineering of polar ε-Ga2O3 for tunable two-dimensional electron gas at the heterointerface. Appl. Phys. Lett. 2018, 112, 162101. [Google Scholar] [CrossRef]
- Playford, H.Y.; Hannon, A.C.; Barney, E.R.; Walton, R.I. Structures of Uncharacterised Polymorphs of Gallium Oxide from Total Neutron Diffraction. Chem.-Eur. J. 2013, 19, 2803. [Google Scholar] [CrossRef]
- Cora, I.; Mezzadri, F.; Boschi, F.; Bosi, M.; Čaplovičová, M.; Calestani, G.; Dódony, I.; Pécz, B.; Fornari, R. The real structure of ε-Ga2O3 and its relation to κ-phase. CrystEngComm 2017, 19, 1509. [Google Scholar] [CrossRef]
- Kracht, M.; Karg, A.; Schörmann, J.; Weinhold, M.; Zink, D.; Michel, F.; Rohnke, M.; Schowalter, M.; Gerken, B.; Rosenauer, A.J.; et al. Tin-assisted synthesis of ε-Ga2O3 by molecular beam epitaxy. Phys. Rev. Appl. 2017, 8, 054002. [Google Scholar] [CrossRef]
- Mezzadri, F.; Calestani, G.; Boschi, F.; Delmonte, D.; Bosi, M.; Fornari, R. Crystal Structure and Ferroelectric Properties of ε-Ga2O3 Films Grown on (0001)-Sapphire. Inorg. Chem. 2016, 55, 12079. [Google Scholar] [CrossRef] [PubMed]
- Kneiß, M.; Storm, P.; Hassa, A.; Splith, D.; Wenckstern, H.V.; Lorenz, M.; Grundmann, M. Growth, structural and optical properties of coherent κ-(AlxGa1−x)2O3/κ-Ga2O3 quantum well superlattice heterostructures. APL Mater. 2020, 8, 051112. [Google Scholar] [CrossRef]
- Oka, D.; Yusa, S.; Kimura, K.; Ang, A.K.R.; Happo, N.; Hayashi, K.; Fukumura, T. Analyses on atomic arrangement in dielectric ε-Ga2O3 epitaxial thin films. Jpn. J. Appl. Phys. 2019, 59, 010601. [Google Scholar] [CrossRef]
- Nishinaka, H.; Komai, H.; Tahara, D.; Arata, Y.; Yoshimoto, M. Microstructures and rotational domains in orthorhombic ε-Ga2O3 thin films. Jpn. J. Appl. Phys. 2018, 57, 115601. [Google Scholar] [CrossRef]
- Tahara, D.; Nishinaka, H.; Noda, M.; Yoshimoto, M. Use of mist chemical vapor deposition to impart ferroelectric properties to ε-Ga2O3 thin films on SnO2/c-sapphire substrates. Mater. Lett. 2018, 232, 47. [Google Scholar] [CrossRef]
- Egyenes-Pörsök, F.; Gucmann, F.; K Hušeková, K.; Dobročka, E.; Sobota, M.; Mikolášek, M.; Fröhlich, K.; Ťapajna, M. Growth of α- and β-Ga2O3 epitaxial layers on sapphire substrates using liquid-injection MOCVD. Semicond. Sci. Technol. 2020, 35, 115002. [Google Scholar] [CrossRef]
- Fornari, R.; Pavesi, M.; Montedoro, V.; Klimm, D.; Mezzadri, F.; Cora, I.; Pecz, B.; Boschi, F.; Parisini, A.; Baraldi, A.; et al. Thermal stability of ε-Ga2O3 polymorph. Acta Materialia 2017, 140, 411e416. [Google Scholar] [CrossRef]
- Čičo, K.; Hušeková, K.; Ťapajna, M.; Gregušová, D.; Stoklas, R.; Kuzmík, J.; Carlin, J.F.; Grandjean, M.; Pogany, D.; Fröhlich, K. Electrical properties of InAlN/GaN high electron mobility transistor with Al2O3, ZrO2, and GdScO3 gate dielectrics. J. Vac. Sci. Technol. B 2011, 29, 01A808. [Google Scholar] [CrossRef]
- Ťapajna, M.; Stoklas, R.; Gregušová, D.; Gucmann, F.; Hušeková, K.; Haščík, Š.; Fröhlich, K.; Tóth, L.; Pécz, B.; Brunner, F.; et al. Investigation of ‘surface donors’ in Al2O3/AlGaN/GaN metal-oxide-semiconductor heterostructures: Correlation of electrical, structural, and chemical properties. Appl. Surf. Sci. 2017, 426, 656. [Google Scholar] [CrossRef]
- Kang, H.Y.; Kang, H.; Lee, E.; Lee, G.R.; Chung, R.B.K. Sn-Induced Phase Stabilization and Enhanced Thermal Stability of κ-Ga2O3 Grown by Mist Chemical Vapor Deposition. ACS Omega 2021, 6, 31292. [Google Scholar] [CrossRef] [PubMed]
- Pearton, S.J.; Yang, J.; Cary, P.H.; Ren, F.; Kim, J.; Tadjer, M.J.; Mastro, M.A. A review of Ga2O3 materials, processing, and devices. Appl. Phys. Rev. 2018, 5, 011301. [Google Scholar] [CrossRef]
- Tauc, J. Optical properties of amorphous semiconductors. In Amorphous and Liquid Semiconductors; Springer: Boston, MA, USA, 1974; pp. 159–220. [Google Scholar]
- Lim, N.; Min, J.; Min, J.H.; Kang, C.H.; Li, K.H.; Park, T.Y.; Kim, W.; Davaasuren, B.; Ng, T.K.; Ooi, B.S.; et al. Ultrasensitive UV-C detection based on MOCVD-grown highly crystalline ultrawide bandgap orthorhombic κ-Ga2O3. Appl. Surf. Sci. 2023, 609, 155350. [Google Scholar] [CrossRef]
- Li, Y.; Xiu, X.; Xu, W.; Zhang, L.; Zhao, H.; Xie, Z.; Tao, T.; Chen, P.; Liu, B.; Zhang, R.; et al. Pure-phase κ-Ga2O3 layers grown on c-plane sapphire by halide vapor phase epitaxy. Superlattices Microstruct. 2021, 152, 106845. [Google Scholar] [CrossRef]
- Li, S.; Yue, J.; Ji, X.; Lu, C.; Yan, Z.; Li, P.; Guo, D.; Wu, Z.; Tang, W. Oxygen vacancies modulating the photodetector performances in ε-Ga2O3 thin films. J. Mat. Chem. C 2021, 9, 5437. [Google Scholar] [CrossRef]
- Cao, X.; Xing, Y.; Han, J.; Li, J.; He, T.; Zhang, X.; Zhao, J.; Zhang, B. Crystalline properties of ε-Ga2O3 film grown on c-sapphire by MOCVD and solar-blind ultraviolet photodetector. Mat. Sci. Semicond. Proc. 2021, 123, 105532. [Google Scholar] [CrossRef]
- Jinno, R.; Kaneko, K.; Fujita, S. Thermal stability of α-Ga2O3 films grown on c-plane sapphire substrates via mist-CVD. AIP Adv. 2020, 10, 115013. [Google Scholar] [CrossRef]









| Hexagonal ε-Ga2O3 | Orthorhombic κ-Ga2O3 | ||||||
|---|---|---|---|---|---|---|---|
| 2θ [°] | χ [°] | [--] | 2θ [°] | χ [°] | [--] | ||
| 37.046 | 74.80 | 650 | 36.917 | 74.79 | 23,570 | ||
| 37.046 | 74.80 | 650 | 37.035 | 74.84 | 29,758 | ||
| 62.280 | 36.36 | 2478 | 62.063 | 36.35 | 68,954 | ||
| 62.280 | 36.36 | 2478 | 62.143 | 36.44 | 80,454 | ||
| 77.638 | 57.89 | 323 | 77.409 | 57.91 | 12,260 | ||
| 77.638 | 57.89 | 323 | 77.627 | 58.00 | 6751 | ||
| Annealing Ambient | Annealing Temperature (°C) | Cumulative Annealing Time (min) | ||
|---|---|---|---|---|
| 10 | 30 | 70 | ||
| Vacuum | 700 | ε/κ | ε/κ | ε/κ |
| 800 | ε/κ | ε/κ | ε/κ | |
| 900 | ε/κ | deg. | deg. | |
Disclaimer/Publisher’s Note: The statements, opinions and data contained in all publications are solely those of the individual author(s) and contributor(s) and not of MDPI and/or the editor(s). MDPI and/or the editor(s) disclaim responsibility for any injury to people or property resulting from any ideas, methods, instructions or products referred to in the content. |
© 2022 by the authors. Licensee MDPI, Basel, Switzerland. This article is an open access article distributed under the terms and conditions of the Creative Commons Attribution (CC BY) license (https://creativecommons.org/licenses/by/4.0/).
Share and Cite
Dobročka, E.; Gucmann, F.; Hušeková, K.; Nádaždy, P.; Hrubišák, F.; Egyenes, F.; Rosová, A.; Mikolášek, M.; Ťapajna, M. Structure and Thermal Stability of ε/κ-Ga2O3 Films Deposited by Liquid-Injection MOCVD. Materials 2023, 16, 20. https://doi.org/10.3390/ma16010020
Dobročka E, Gucmann F, Hušeková K, Nádaždy P, Hrubišák F, Egyenes F, Rosová A, Mikolášek M, Ťapajna M. Structure and Thermal Stability of ε/κ-Ga2O3 Films Deposited by Liquid-Injection MOCVD. Materials. 2023; 16(1):20. https://doi.org/10.3390/ma16010020
Chicago/Turabian StyleDobročka, Edmund, Filip Gucmann, Kristína Hušeková, Peter Nádaždy, Fedor Hrubišák, Fridrich Egyenes, Alica Rosová, Miroslav Mikolášek, and Milan Ťapajna. 2023. "Structure and Thermal Stability of ε/κ-Ga2O3 Films Deposited by Liquid-Injection MOCVD" Materials 16, no. 1: 20. https://doi.org/10.3390/ma16010020
APA StyleDobročka, E., Gucmann, F., Hušeková, K., Nádaždy, P., Hrubišák, F., Egyenes, F., Rosová, A., Mikolášek, M., & Ťapajna, M. (2023). Structure and Thermal Stability of ε/κ-Ga2O3 Films Deposited by Liquid-Injection MOCVD. Materials, 16(1), 20. https://doi.org/10.3390/ma16010020

