Scattering Analysis of AlGaN/AlN/GaN Heterostructures with Fe-Doped GaN Buffer
Abstract
1. Introduction
2. Experimental
3. Model
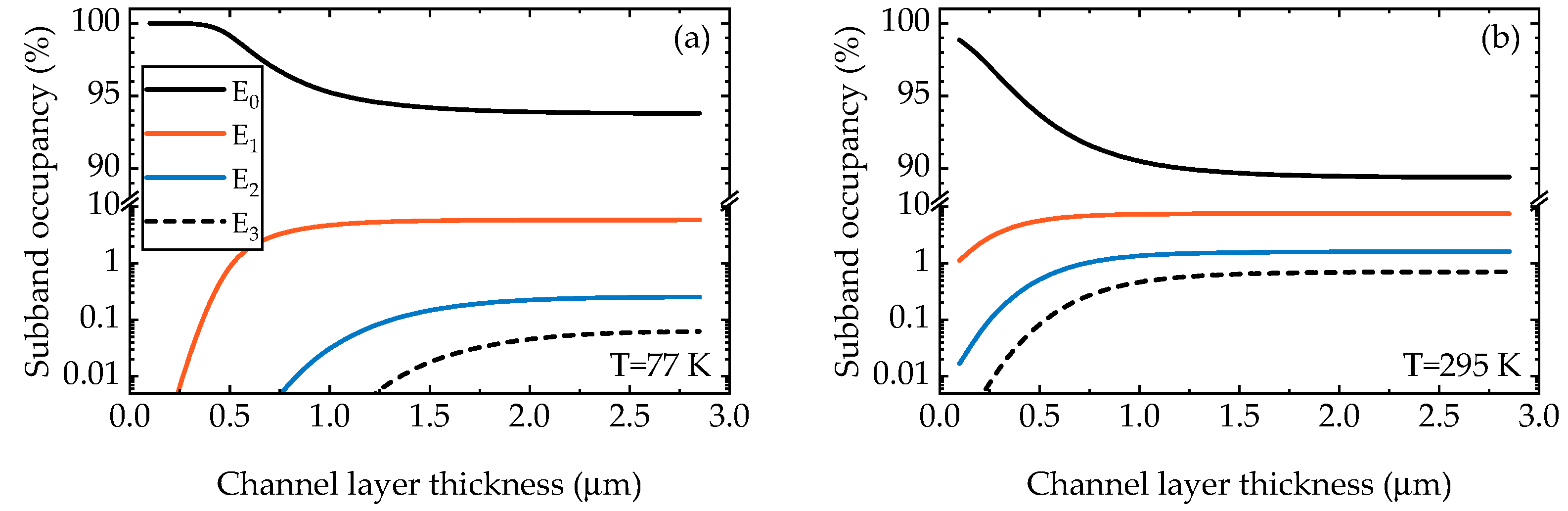
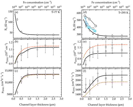
4. Results
5. Conclusions
Author Contributions
Funding
Institutional Review Board Statement
Informed Consent Statement
Data Availability Statement
Conflicts of Interest
References
- Yang, L.; Wang, X.; Wang, T.; Wang, J.; Zhang, W.; Quach, P.; Wang, P.; Liu, F.; Li, D.; Chen, L.; et al. Three Subband occupation of the two-dimensional electron gas in Ultrathin Barrier AlN/GaN Heterostructures. Adv. Funct. Mater. 2020, 30, 2004450. [Google Scholar] [CrossRef]
- Uren, M.J.; Moreke, J.; Kuball, M. Buffer design to minimize current collapse in GaN/AlGaN HFETs. IEEE Trans. Electron Devices 2012, 59, 3327–3333. [Google Scholar] [CrossRef]
- Bisi, D.; Meneghini, M.; Van Hove, M.; Marcon, D.; Stoffels, S.; Wu, T.-L.; Decoutere, S.; Meneghesso, G.; Zanoni, E. Trapping mechanisms in GaN-based MIS-HEMTs grown on silicon substrate. Phys. Status Solidi A 2015, 212, 1122–1129. [Google Scholar] [CrossRef]
- Lundin, W.V.; Sakharov, A.V.; Zavarin, E.E.; Zakgeim, D.A.; Lundina, E.Y.; Brunkov, P.N.; Tsatsulnikov, A.F. Insulating GaN epilayers co-doped with iron and carbon. Tech. Phys. Lett. 2019, 45, 723–726. [Google Scholar] [CrossRef]
- Soman, R.; Raghavan, S.; Bhat, N. An in situ monitored and controlled etch process to suppress Mg memory effects in MOCVD GaN growth on Si substrate. Semicond. Sci. Technol. 2019, 34, 125011. [Google Scholar] [CrossRef]
- Heikman, S.; Keller, S.; Mates, T.; DenBaars, S.P.; Mishra, U.K. Growth and characteristics of Fe-doped GaN. J. Cryst. Growth 2003, 248, 513–517. [Google Scholar] [CrossRef]
- Arteev, D.S.; Sakharov, A.V.; Lundin, W.V.; Zavarin, E.E.; Zakheim, D.A.; Tsatsulnikov, A.F.; Gindina, M.I.; Brunkov, P.N. Influence of doping profile of GaN:Fe buffer layer on the properties of AlGaN/AlN/GaN heterostructures for high-electron mobility transistors. J. Phys. Conf. Ser. 2020, 1697, 012206. [Google Scholar] [CrossRef]
- Jia, F.; Ma, X.; Yang, L.; Hou, B.; Zhang, M.; Zhu, Q.; Wu, M.; Mi, M.; Zhu, J.; Liu, S.; et al. The influence of Fe doping tail in unintentionally doped GaN layer on DC and RF performance of AlGaN/GaN HEMTs. IEEE Trans. Electron Devices 2021, 68, 6069–6075. [Google Scholar] [CrossRef]
- Ando, Y.; Makisako, R.; Takahashi, H.; Wakejima, A.; Suda, J. Dependence of electrical characteristics on epitaxial layer structure of AlGaN/GaN HEMTs fabricated on freestanding GaN substrates. IEEE Trans. Devices 2022, 69, 88–95. [Google Scholar] [CrossRef]
- Lundin, W.V.; Davydov, D.V.; Zavarin, E.E.; Popov, M.G.; Sakharov, A.V.; Yakovlev, E.V.; Bazarevskii, D.S.; Talalaev, R.A.; Tsatsulnikov, A.F.; Mizerov, M.N.; et al. MOVPE of III-N LED structures with short technological process. Tech. Phys. Lett. 2015, 41, 213–216. [Google Scholar] [CrossRef]
- Lundin, W.; Talalaev, R. Epitaxial systems for III-V and III-nitride MOVPE. In Metalorganic Vapor Phase Epitaxy (MOVPE): Growth, Materials Properties, and Applications; Irvine, S., Capper, P., Eds.; John Wiley & Sons: Hoboken, NJ, USA, 2019; pp. 423–466. [Google Scholar] [CrossRef]
- Arteev, D.S.; Sakharov, A.V.; Lundin, W.V.; Zavarin, E.E.; Tsatsulnikov, A.F. Influence of AlN/GaN interfacial non-idealities on the properties of two-dimensional electron gas in AlGaN/AlN/GaN Heterostructures. J. Phys. Conf. Ser. 2021, 2103, 012202. [Google Scholar] [CrossRef]
- Aleksandrov, I.A.; Malin, T.V.; Zhuravlev, K.S.; Trubina, S.V.; Erenburg, S.B.; Pecz, B.; Lebiadok, Y.V. Diffusion in GaN/AlN superlattices: DFT and EXAFS Study. Appl. Surf. Sci. 2020, 515, 146001. [Google Scholar] [CrossRef]
- Dai, J.-J.; Mai, T.T.; Nallasani, U.R.; Chang, S.-C.; Hsiao, H.-I.; Wu, S.-K.; Liu, C.-W.; Wen, H.-C.; Chou, W.-C.; Wang, C.-P.; et al. The effect of heavy Fe-doping on 3D growth mode and Fe diffusion in GaN for high power HEMT application. Materials 2022, 15, 2058. [Google Scholar] [CrossRef] [PubMed]
- Poljak, M.; Jovanovic, V.; Grgec, D.; Suligoj, T. Assessment of electron mobility in ultrathin-body InGaAs-on-insulator mosfets using physics-based modeling. IEEE Trans. Devices 2012, 59, 1636–1643. [Google Scholar] [CrossRef]
- Berdalovic, I.; Poljak, M.; Suligoj, T. A comprehensive model and numerical analysis of Electron mobility in GaN-based high electron mobility transistors. J. Appl. Phys. 2021, 129, 064303. [Google Scholar] [CrossRef]
- Zhi-Kuo, T.; Rong, Z.; Xu-Gao, C.; Xiang-Qian, X.; Guo-Yu, Z.; Zi-Li, X.; Shu-Lin, G.; Yi, S.; You-Dou, Z. Optical and magnetic properties of Fe-doped GaN diluted magnetic semiconductors prepared by MOCVD method. Chin. Phys. Lett. 2008, 25, 1476–1478. [Google Scholar] [CrossRef]
- Arteev, D.S.; Sakharov, A.V.; Lundin, W.V.; Zakheim, D.A.; Zavarin, E.E.; Tsatsulnikov, A.F. Carrier mobility in the channel of AlGaN/(AlN)/GaN and InAlN/(AlN)/GaN heterostructures, limited by different scattering mechanisms: Experiment and calculation. J. Phys.: Conf. Ser. 2019, 1400, 077009. [Google Scholar] [CrossRef]
- Sommer, N.; Buss, R.; Ohlmann, J.; Wegele, T.; Jurecka, C.; Liebich, S.; Kunert, B.; Stolz, W.; Volz, K. Growth of (BGa)As, (BGa)P, (BGa)(AsP) and (BGaIn)P by MOVPE. J. Cryst. Growth 2013, 370, 191–196. [Google Scholar] [CrossRef]
- Hidouri, T.; Parisini, A.; Ferrari, C.; Orsi, D.; Baraldi, A.; Vantaggio, S.; Nasr, S.; Bosio, A.; Pavesi, M.; Saidi, F.; et al. Combined impact of B2H6 flow and growth temperature on morphological, structural, optical, and electrical properties of MOCVD-grown B(In)GaAs heterostructures designed for Optoelectronics. Appl. Surf. Sci. 2022, 577, 151884. [Google Scholar] [CrossRef]
- Gorczyca, I.; Suski, T.; Kamińska, A.; Staszczak, G.; Schenk, H.P.; Christensen, N.E.; Svane, A. In-clustering effects in InAlN and InGaN revealed by High Pressure Studies. Phys. Status Solidi A 2010, 207, 1369–1371. [Google Scholar] [CrossRef]
- Ahmadi, E.; Chalabi, H.; Kaun, S.W.; Shivaraman, R.; Speck, J.S.; Mishra, U.K. Contribution of alloy clustering to limiting the two-dimensional electron gas mobility in AlGaN/GaN and InAlN/GaN heterostructures: Theory and experiment. J. Appl. Phys. 2014, 116, 133702. [Google Scholar] [CrossRef]
- Goodnick, S.M.; Ferry, D.K.; Wilmsen, C.W.; Liliental, Z.; Fathy, D.; Krivanek, O.L. Surface roughness at the Si(100)-SiO2 interface. Phys. Rev. B 1985, 32, 8171–8186. [Google Scholar] [CrossRef] [PubMed]
- Bonanni, A.; Dietl, T.; Ohno, H. Dilute Magnetic Materials. In Handbook of Magnetism and Magnetic Materials; Coey, J.M.D., Parkin, S.S.P., Eds.; Springer: Cham, Switzerland, 2021; pp. 923–978. [Google Scholar]
- Kachlishvili, T.Z. Relaxation processes and in-plane electron mobility limited by interface defects in CdTe/Cd1-xMnxTe Quantum Wells. Solid State Commun. 1993, 85, 267–271. [Google Scholar] [CrossRef]
- Hsu, W.-T.; Hsieh, T.-Y.; Chen, H.-F.; Huang, F.-W.; Chen, P.-C.; Sheu, J.-K.; Chang, W.-H. Determination of s-d exchange coupling in GaMnN by time-resolved Kerr Rotation Spectroscopy. Phys. Rev. B 2014, 90, 125205. [Google Scholar] [CrossRef]
- Polyakov, V.M.; Schwierz, F.; Cimalla, I.; Kittler, M.; Lübbers, B.; Schober, A. Intrinsically limited mobility of the two-dimensional electron gas in gated AlGaN/GaN and AlGaN/AlN/GaN Heterostructures. J. Appl. Phys. 2009, 106, 023715. [Google Scholar] [CrossRef]
- Goodnick, S.M.; Lugli, P. Subpicosecond Dynamics of electron injection into GaAs/AlGaAs Quantum Wells. Appl. Phys. Lett. 1987, 51, 584–586. [Google Scholar] [CrossRef]
- Rrustemi, B.; Triozon, F.; Jaud, M.-A.; Vandendaele, W.; Ghibaudo, G. Calculation of the mobility in Al2O3/GaN electron channel: Effect of p-doping and comparison with experiments. Solid-State Electron. 2022, 198, 108470. [Google Scholar] [CrossRef]
- Vurgaftman, I.; Meyer, J.R. Electron bandstructure parameters. In Nitride Semiconductor Devices: Principles and Simulation; Piprek, J., Ed.; Wiley-VCH: Berlin, Germany, 2007; pp. 13–48. [Google Scholar]
- Leone, S.; Benkhelifa, F.; Kirste, L.; Manz, C.; Mueller, S.; Quay, R.; Stadelmann, T. Suppression of iron memory effect in GaN epitaxial layers. Phys. Status Solidi B 2017, 255, 1700377. [Google Scholar] [CrossRef]
- Weimann, N.G.; Eastman, L.F.; Doppalapudi, D.; Ng, H.M.; Moustakas, T.D. Scattering of electrons at threading dislocations in GaN. J. Appl. Phys. 1998, 83, 3656–3659. [Google Scholar] [CrossRef]
- Sakharov, A.V.; Lundin, W.V.; Zavarin, E.E.; Usov, S.O.; Brunkov, P.N.; Tsatsulnikov, A.F. The influence of reactor pressure on the properties of gan layers grown by MOVPE. Tech. Phys. Lett. 2020, 46, 1211–1214. [Google Scholar] [CrossRef]
- Torkhov, N.A.; Babak, L.I.; Kokolov, A.A. The influence of AlGaN/GaN heteroepitaxial structure fractal geometry on size effects in microwave characteristics of AlGaN/GaN HEMTs. Symmetry 2019, 11, 1495. [Google Scholar] [CrossRef]
- Shmidt, N.M.; Emtsev, V.V.; Kolmakov, A.G.; Kryzhanovsky, A.D.; Lundin, W.V.; Poloskin, D.S.; Ratnikov, V.V.; Titkov, A.N.; Usikov, A.S.; Zavarin, E.E. Correlation of mosaic-structure peculiarities with electric characteristics and surface multifractal parameters for gan epitaxial layers. Nanotechnology 2001, 12, 471–474. [Google Scholar] [CrossRef]





Publisher’s Note: MDPI stays neutral with regard to jurisdictional claims in published maps and institutional affiliations. |
© 2022 by the authors. Licensee MDPI, Basel, Switzerland. This article is an open access article distributed under the terms and conditions of the Creative Commons Attribution (CC BY) license (https://creativecommons.org/licenses/by/4.0/).
Share and Cite
Arteev, D.S.; Sakharov, A.V.; Lundin, W.V.; Zavarin, E.E.; Nikolaev, A.E.; Tsatsulnikov, A.F.; Ustinov, V.M. Scattering Analysis of AlGaN/AlN/GaN Heterostructures with Fe-Doped GaN Buffer. Materials 2022, 15, 8945. https://doi.org/10.3390/ma15248945
Arteev DS, Sakharov AV, Lundin WV, Zavarin EE, Nikolaev AE, Tsatsulnikov AF, Ustinov VM. Scattering Analysis of AlGaN/AlN/GaN Heterostructures with Fe-Doped GaN Buffer. Materials. 2022; 15(24):8945. https://doi.org/10.3390/ma15248945
Chicago/Turabian StyleArteev, Dmitri S., Alexei V. Sakharov, Wsevolod V. Lundin, Evgenii E. Zavarin, Andrey E. Nikolaev, Andrey F. Tsatsulnikov, and Viktor M. Ustinov. 2022. "Scattering Analysis of AlGaN/AlN/GaN Heterostructures with Fe-Doped GaN Buffer" Materials 15, no. 24: 8945. https://doi.org/10.3390/ma15248945
APA StyleArteev, D. S., Sakharov, A. V., Lundin, W. V., Zavarin, E. E., Nikolaev, A. E., Tsatsulnikov, A. F., & Ustinov, V. M. (2022). Scattering Analysis of AlGaN/AlN/GaN Heterostructures with Fe-Doped GaN Buffer. Materials, 15(24), 8945. https://doi.org/10.3390/ma15248945

