Effect of Electro-Thermo-Mechanical Coupling Stress on Top-Cooled E-Mode AlGaN/GaN HEMT
Abstract
1. Introduction
2. Experimentation and Simulation
2.1. The Setup of the Electro-Thermo-Mechanical Experiment
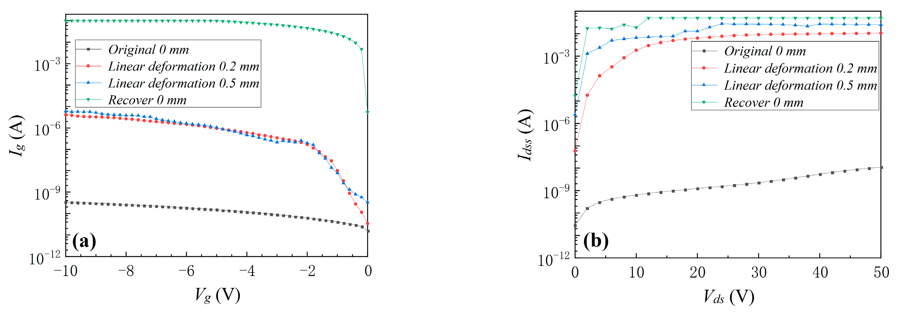
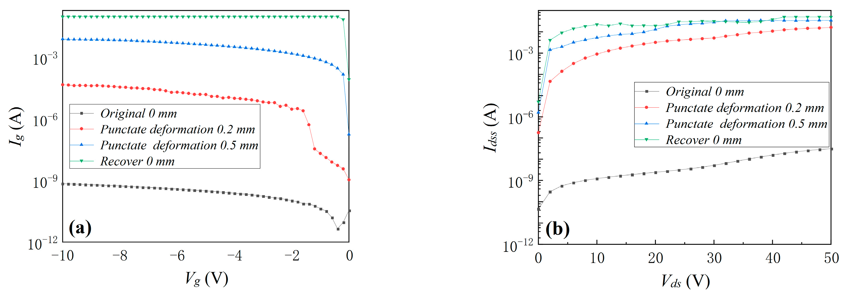
2.1.1. Mechanical Planar Pressure, Linear/Punctate Deformation Experiment
2.1.2. Environmental Temperature Experiment
2.1.3. Electro-Thermal Coupling Experiment
2.1.4. Thermo-Mechanical Coupling Experiment
2.1.5. Electro-Thermo-Mechanical Coupling Experiment
2.2. Electro-Thermo-Mechanical Coupling Simulation Model
3. Results and Discussion
3.1. Experimental Result and Discussion
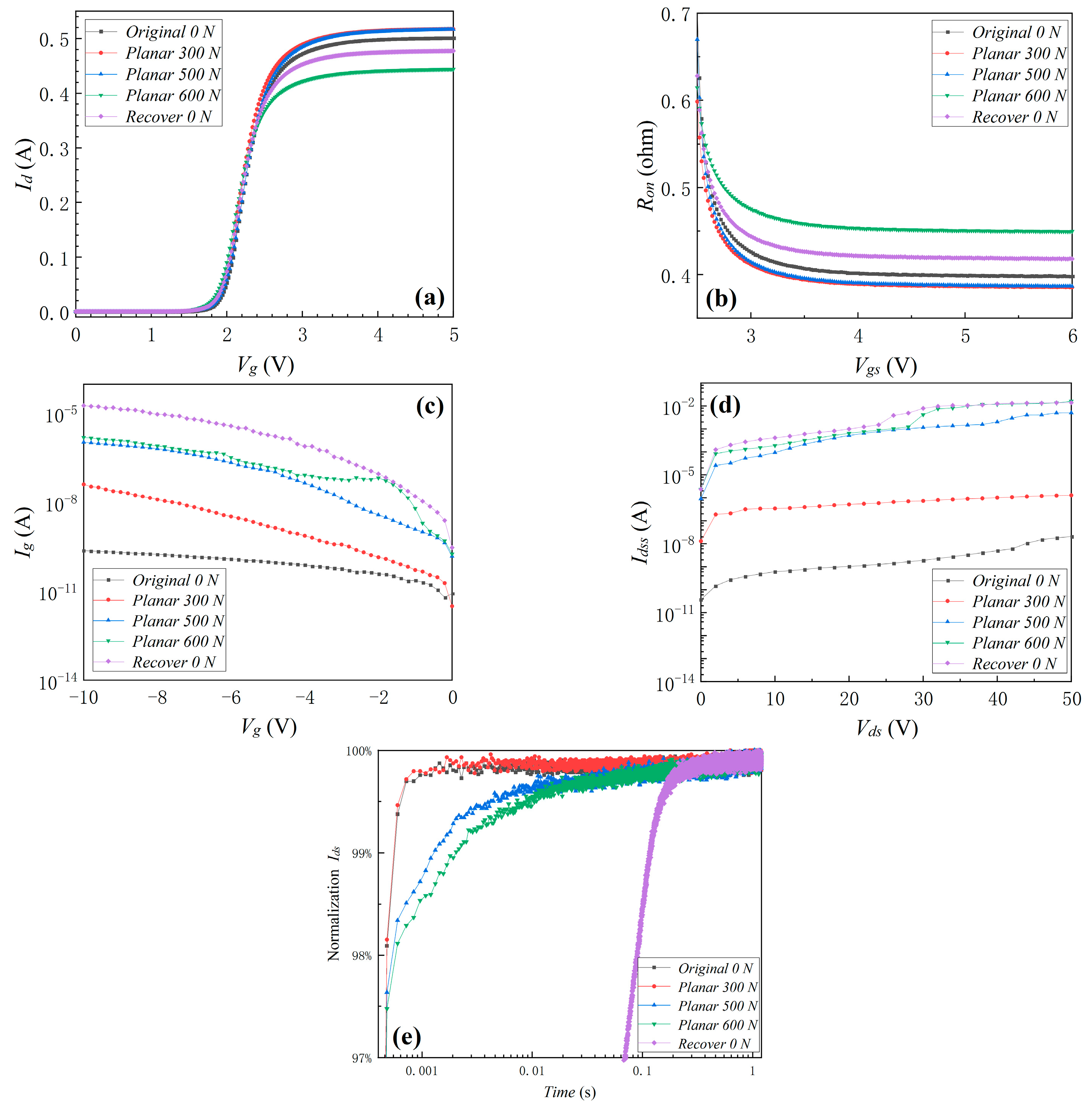
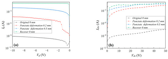
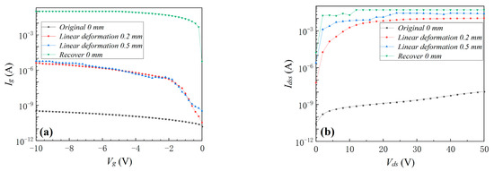
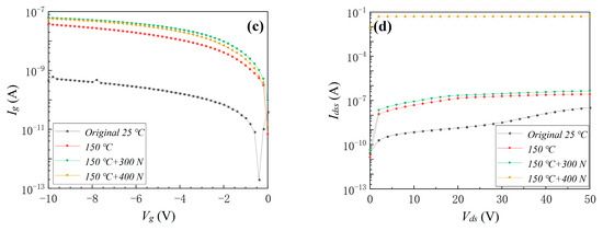
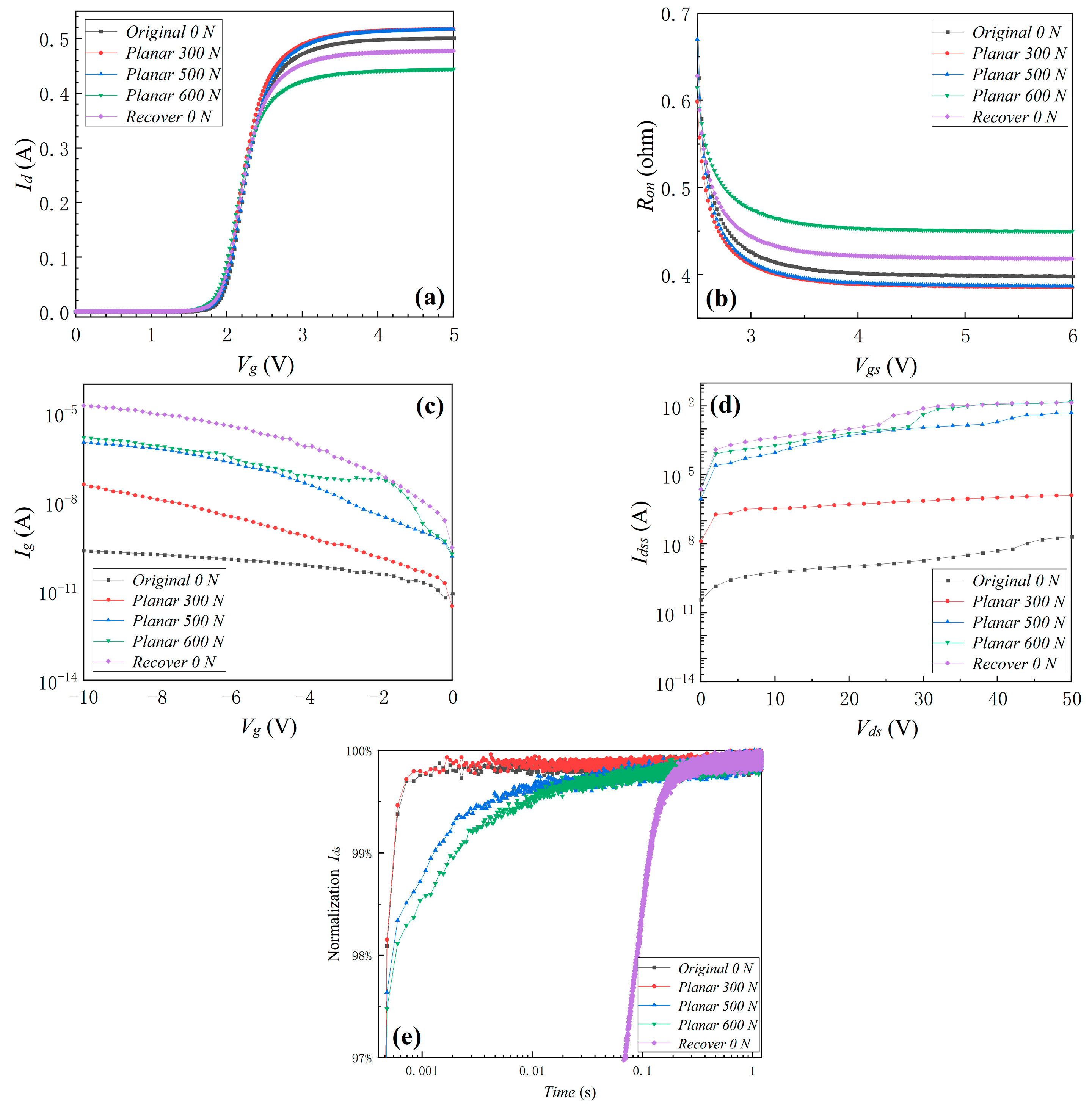
3.1.1. Mechanical Stresses
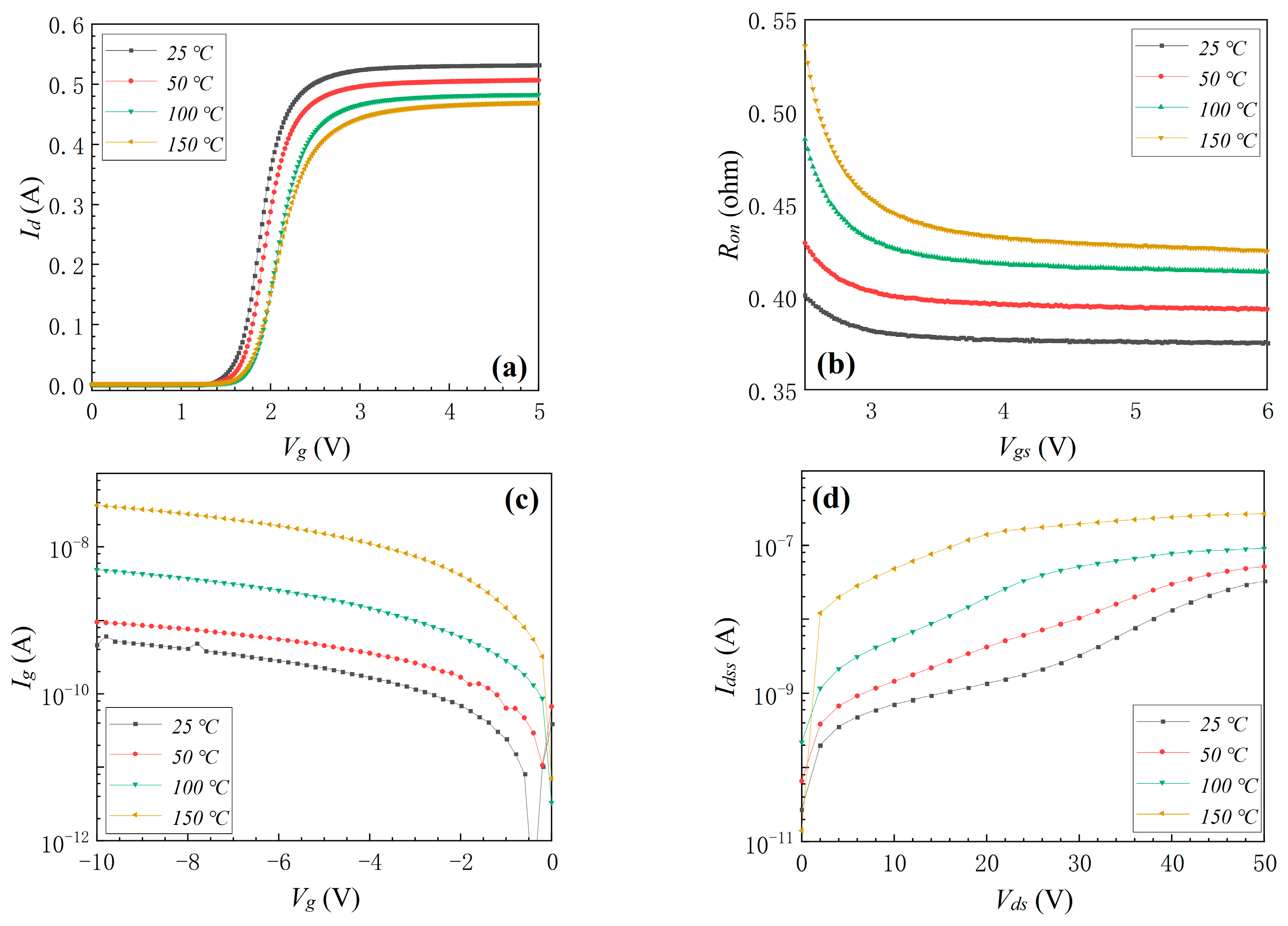
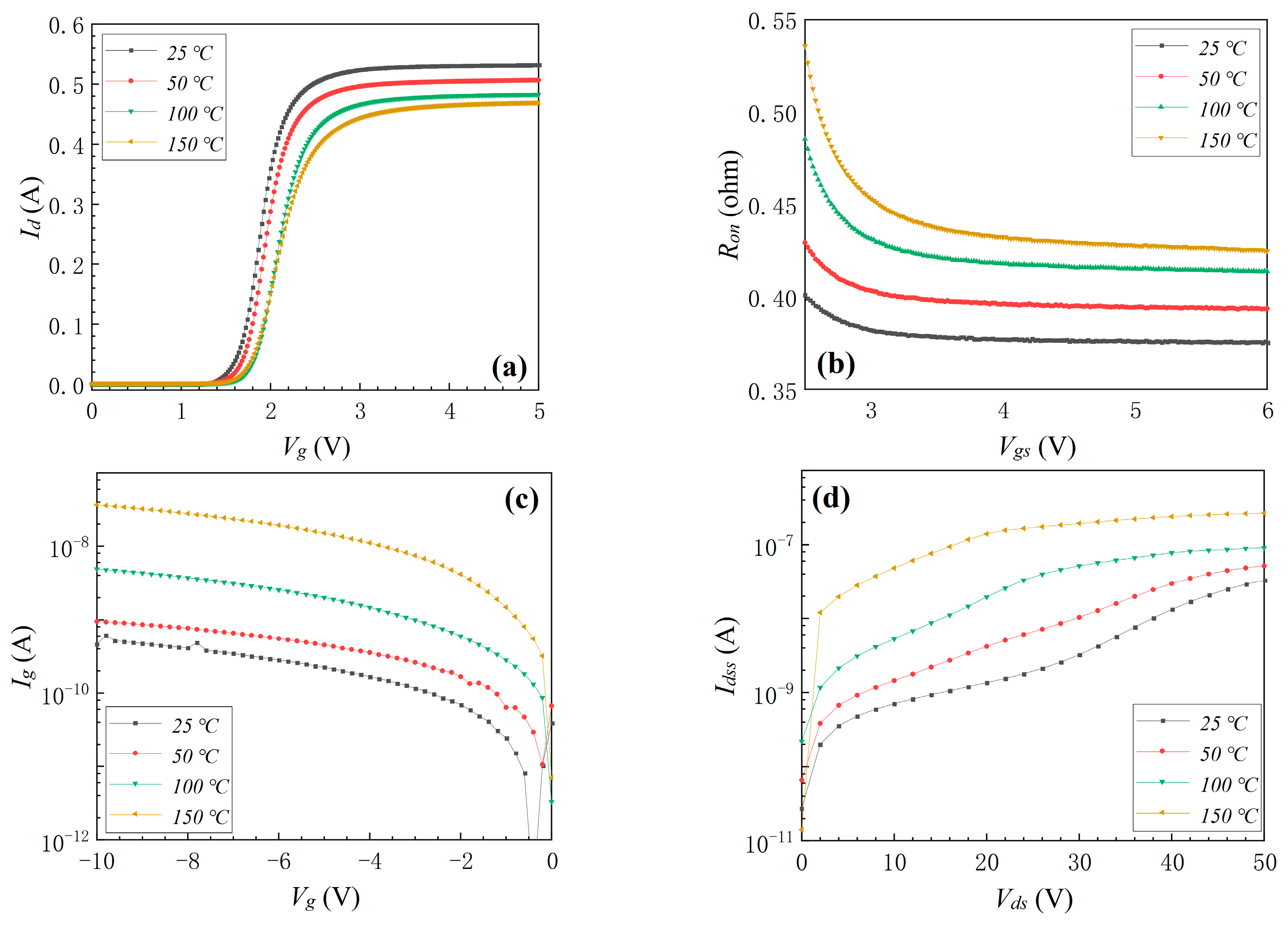
3.1.2. Environmental Temperature Stress
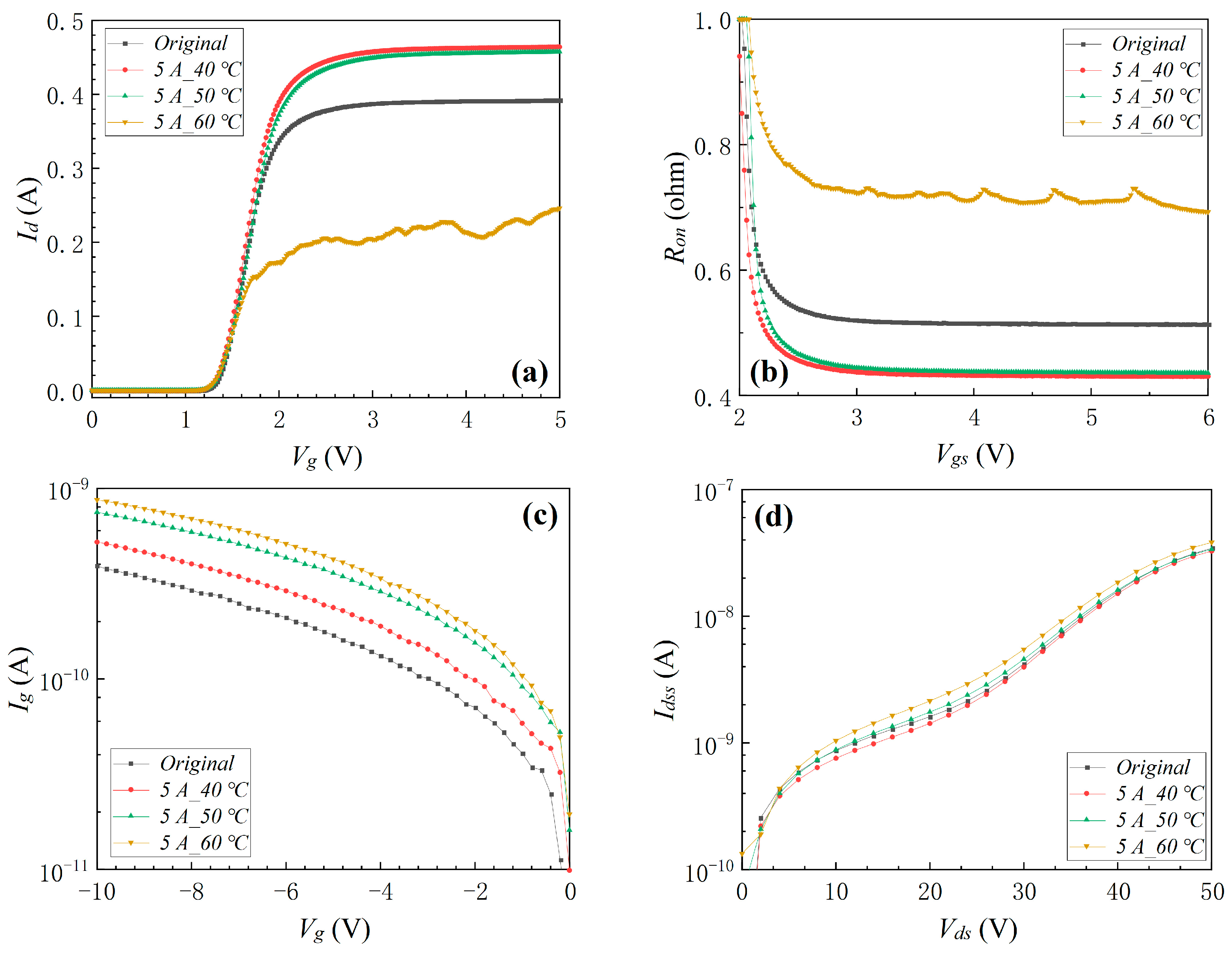
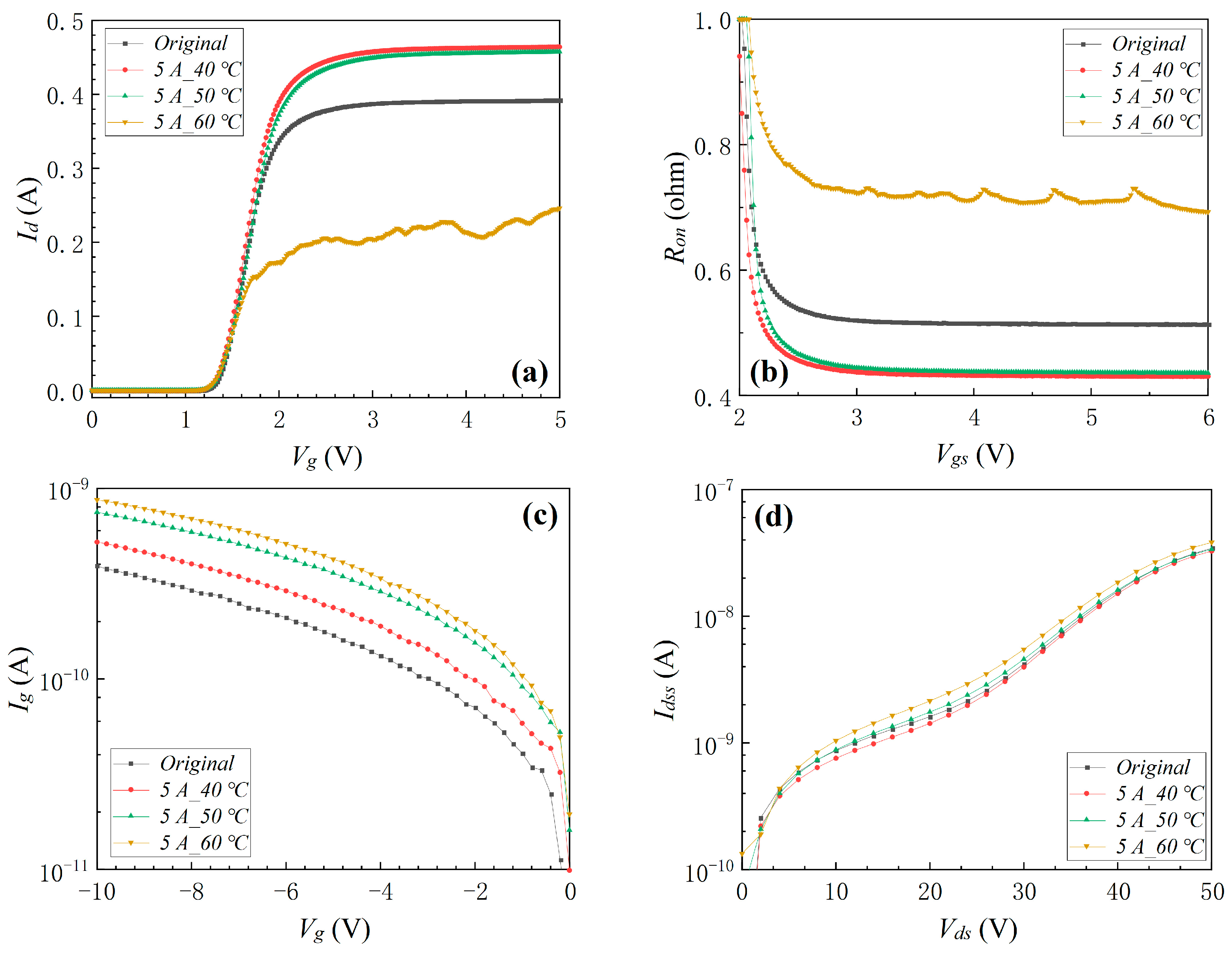
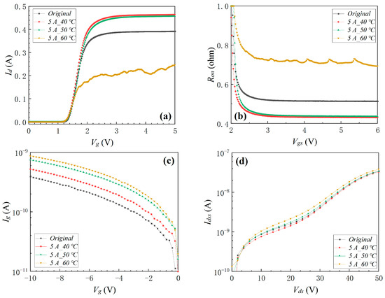
3.1.3. Electro-Thermal Coupling Stress
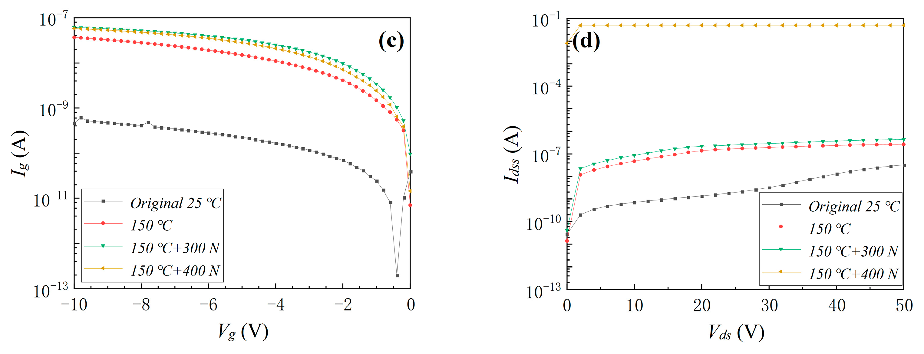
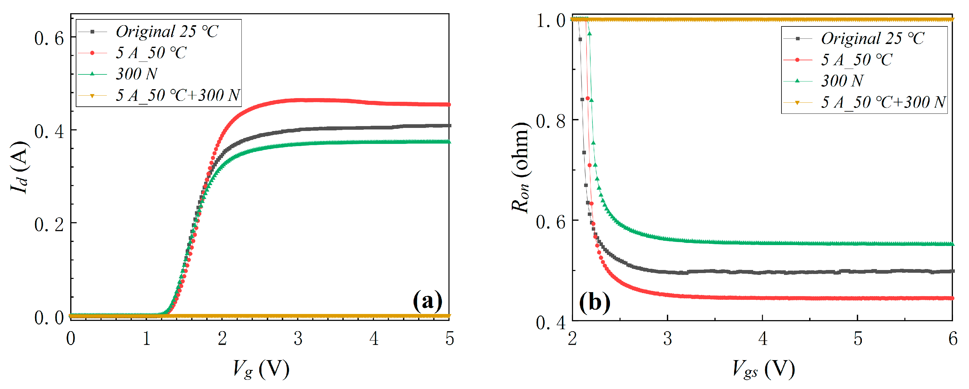
3.1.4. Thermo-Mechanical Coupling Stress
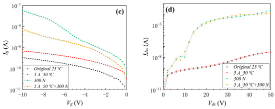
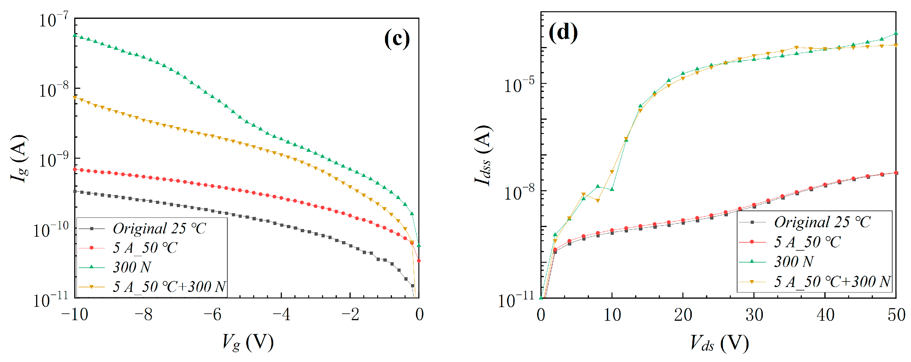
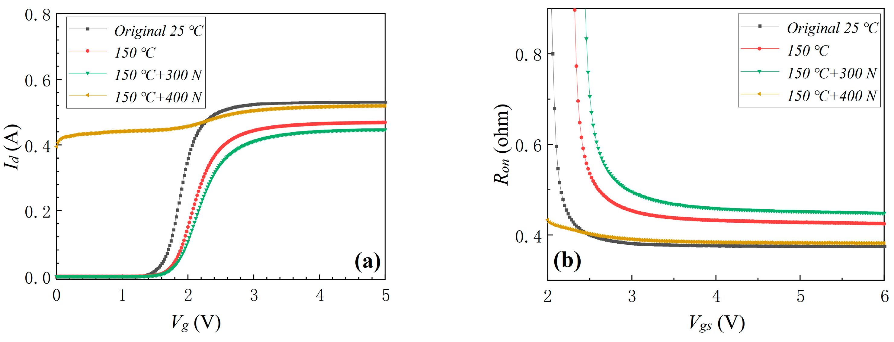
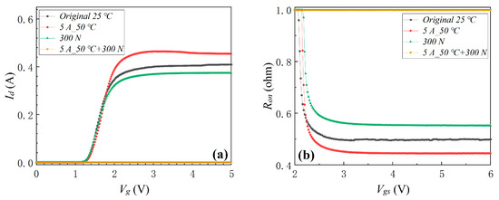
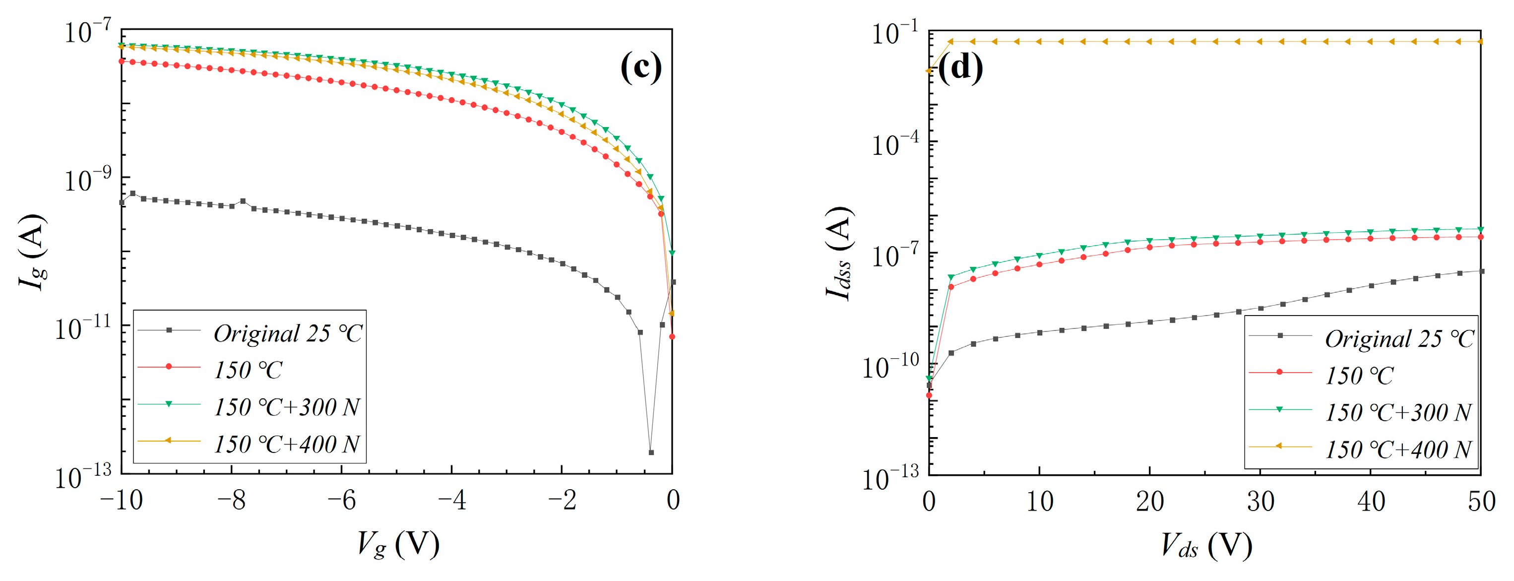
3.1.5. Electro-Thermo-Mechanical Coupling Stress
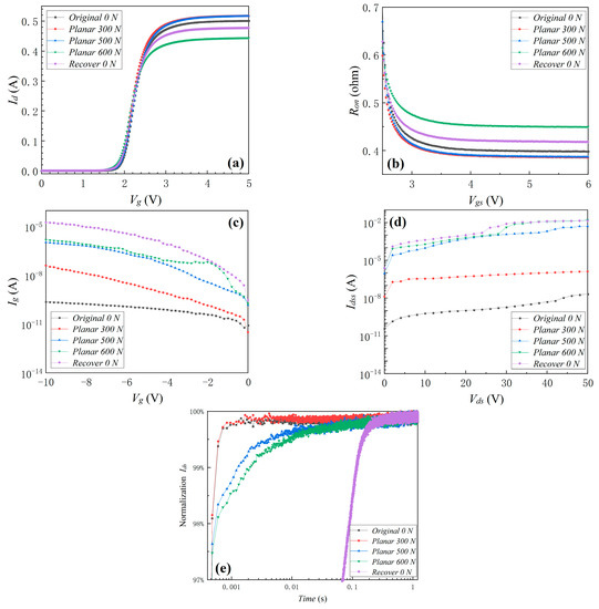
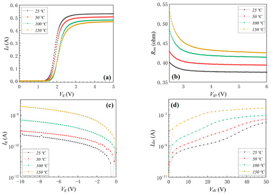
3.2. Electro-Thermo-Mechanical Coupling Simulation Result and Discussion
4. Conclusions
Author Contributions
Funding
Institutional Review Board Statement
Informed Consent Statement
Data Availability Statement
Conflicts of Interest
References
- Kikkawa, T.; Makiyama, K.; Ohki, T.; Kanamura, M.; Imanishi, K.; Hara, N.; Joshin, K. High performance and high reliability AlGaN/GaN HEMTs. Phys. Status Solidi 2009, 206, 1135–1144. [Google Scholar] [CrossRef]
- Joshin, K.; Kikkawa, T.; Masuda, S.; Watanabe, K. Outlook for GaN HEMT technology. Fujitsu Sci. Tech. J. 2014, 50, 138–143. [Google Scholar]
- Chen, K.J.; Häberlen, O.; Lidow, A.; Tsai, C.L.; Ueda, T.; Uemoto, Y.; Wu, Y. GaN-on-Si Power Technology: Devices and Applications. IEEE Trans. Electron Devices 2017, 64, 779–795. [Google Scholar] [CrossRef]
- Khandelwal, S.; Chauhan, Y.S.; Fjeldly, T.A.; Ghosh, S.; Pampori, A.; Mahajan, D.; Dangi, R.; Ahsan, S.A. ASM GaN: Industry Standard Model for GaN RF and Power Devices—Part 1: DC, CV, and RF Model. IEEE Trans. Electron Devices 2019, 66, 80–86. [Google Scholar] [CrossRef]
- Mishra, U.K.; Parikh, P.; Yi-Feng, W. AlGaN/GaN HEMTs-an overview of device operation and applications. Proc. IEEE 2002, 90, 1022–1031. [Google Scholar] [CrossRef]
- Huang, S.; Jiang, Q.; Yang, S.; Zhou, C.; Chen, K.J. Effective Passivation of AlGaN/GaN HEMTs by ALD-Grown AlN Thin Film. IEEE Electron Device Lett. 2012, 33, 516–518. [Google Scholar] [CrossRef]
- Nakajima, A.; Sumida, Y.; Dhyani, M.H.; Kawai, H.; Narayanan, E.M. GaN-Based Super Heterojunction Field Effect Transistors Using the Polarization Junction Concept. IEEE Electron Device Lett. 2011, 32, 542–544. [Google Scholar] [CrossRef]
- Khandelwal, S.; Goyal, N.; Fjeldly, T.A. A Physics-Based Analytical Model for 2DEG Charge Density in AlGaN/GaN HEMT Devices. IEEE Trans. Electron Devices 2011, 58, 3622–3625. [Google Scholar] [CrossRef]
- Sugimoto, M.; Ueda, H.; Uesugi, T.; Kachi, T. Wide-Bandgap Semiconductor Devices for Automotive Applications. Int. J. High Speed Electron. Syst. 2007, 17, 3–9. [Google Scholar] [CrossRef]
- Hu, J.; Stoffels, S.; Zhao, M.; Tallarico, A.N.; Rossetto, I.; Meneghini, M.; Kang, X.; Bakeroot, B.; Marcon, D.; Kaczer, B.; et al. Time-Dependent Breakdown Mechanisms and Reliability Improvement in Edge Terminated AlGaN/GaN Schottky Diodes Under HTRB Tests. IEEE Electron Device Lett. 2017, 38, 371–374. [Google Scholar] [CrossRef]
- Azam, F.; Lee, B.; Misra, V. Optimization of ALD high-k gate dielectric to improve AlGaN/GaN MOS-HFET DC characteristics and reliability. In Proceedings of the 2017 IEEE 5th Workshop on Wide Bandgap Power Devices and Applications (WiPDA), Albuquerque, NM, USA, 30 October–1 November 2017; pp. 39–43. [Google Scholar] [CrossRef]
- Dalcanale, S.; Meneghini, M.; Tajalli, A.; Rossetto, I.; Ruzzarin, M.; Zanoni, E.; Meneghesso, G. GaN-based MIS-HEMTs: Impact of cascode-mode high temperature source current stress on NBTI shift. In Proceedings of the 2017 IEEE International Reliability Physics Symposium (IRPS), Monterey, CA, USA, 2–6 April 2017; pp. 4B.1.1–4B.1.5. [Google Scholar] [CrossRef]
- Lidow, A.; Strittmatter, R.; Zhou, C.; Ma, Y. Enhancement mode gallium nitride transistor reliability. In Proceedings of the 2015 IEEE International Reliability Physics Symposium, Monterey, CA, USA, 2–6 April 2017; pp. 2E.1.1–2E.1.5. [Google Scholar] [CrossRef]
- Lidow, A.; Strittmatter, R. Enhancement mode gallium nitride transistor reliability. In Proceedings of the 2015 IEEE First International Conference on DC Microgrids (ICDCM), Atlanta, GA, USA, 15–19 March 2015; pp. 269–273. [Google Scholar] [CrossRef]
- Wong, K.-Y.; Lin, Y.S.; Hsiung, C.W.; Lansbergen, G.P.; Lin, M.C.; Yao, F.W.; Yu, C.J.; Chen, P.C.; Su, R.Y.; Yu, J.L.; et al. AlGaN/GaN MIS-HFET with improvement in high temperature gate bias stress-induced reliability. In Proceedings of the 2014 IEEE 26th International Symposium on Power Semiconductor Devices & IC’s (ISPSD), Waikoloa, HI, USA, 15–19 June 2014; pp. 55–58. [Google Scholar] [CrossRef]
- Bahl, S.R.; Joh, J.; Fu, L.; Sasikumar, A.; Chatterjee, T.; Pendharkar, S. Application reliability validation of GaN power devices. In Proceedings of the 2016 IEEE International Electron Devices Meeting (IEDM), San Francisco, CA, USA, 3–7 December 2016; pp. 20.5.1–20.5.4. [Google Scholar] [CrossRef]
- Fernández, M.; Perpiñà, X.; Roig, J.; Vellvehi, M.; Bauwens, F.; Jordà, X.; Tack, M. P-GaN HEMTs Drain and Gate Current Analysis Under Short-Circuit. IEEE Electron Device Lett. 2017, 38, 505–508. [Google Scholar] [CrossRef]
- Fernández, M.; Perpiñà, X.; Roig, J.; Vellvehi, M.; Bauwens, F.; Jordà, X.; Tack, M.; Jorda, X. Short-Circuit Study in Medium Voltage GaN Cascodes, p-GaN HEMTs and GaN MISHEMTs. IEEE Trans. Ind. Electron. 2017, 64, 9012–9022. [Google Scholar] [CrossRef]
- Fernández, M.; Perpiñà, X.; Roig, J.; Vellvehi, M.; Bauwens, F.; Jordà, X.; Tack, M. Short-Circuit Capability in p-GaN HEMTs and GaN MISHEMTs. In Proceedings of the 29th International Symposium on Power Semiconductor Devices and IC’s (ISPSD), Sapporo, Japan, 28 May–1 June 2017; pp. 455–458. [Google Scholar] [CrossRef]
- P-GaN HEMT of GaNSystems. Available online: https://gansystems.com/ (accessed on 27 February 2022).
- Dzuba, J.; Vanko, G.; Držík, M.; Ryger, I.; Kutis, V.; Zehetner, J.; Lalinsky, T. AlGaN/GaN diaphragm-based pressure sensor with direct high performance piezoelectric transduction mechanism. Appl. Phys. Lett. 2015, 107, 122102. [Google Scholar] [CrossRef]
- Yao, K.; Khandelwal, S.; Sammoura, F.; Kazama, A.; Hu, C.; Lin, L. Piezoelectricity-Induced Schottky Barrier Height Variations in AlGaN/GaN High Electron Mobility Transistors. IEEE Electron Device Lett. 2015, 36, 902–904. [Google Scholar] [CrossRef]
- Azize, M.; Palacios, T. Effect of substrate-induced strain in the transport properties of AlGaN/GaN heterostructures. J. Appl. Phys. 2010, 108, 023707. [Google Scholar] [CrossRef]
- Dreyer, C.E.; Janotti, A.; Van de Walle, C.G. Effects of strain on the electron effective mass in GaN and AlN. Appl. Phys. Lett. 2013, 102, 142105. [Google Scholar] [CrossRef]













| Model Structure | Dimension (mm) | Location (mm, Corner-Based) | Material |
|---|---|---|---|
| Gate region 1 | 0.74 × 0.89 × 0.12 | x: 0.08, y: 0.08, z: 0 | Copper |
| Gate region2 | 0.74 × 0.89 × 0.12 | x: 6.14, y: 0.08, z: 0 | Copper |
| Gate region3 | 0.26 × 0.89 × 0.07 | x: 0.82, y: 0.08, z: 0.05 | Copper |
| Gate region4 | 0.26 × 0.89 × 0.07 | x: 5.88, y: 0.08, z: 0.05 | Copper |
| Source region1 | 4.14 × 0.89 × 0.12 | x: 1.41, y: 0.08, z: 0 | Copper |
| Source region2 | 0.8 × 2.4 × 0.07 | x: 1.48, y: 0.97, z: 0.05 | Copper |
| Source region3 | 0.8 × 2.4 × 0.07 | x: 3.08, y: 0.97, z: 0.05 | Copper |
| Source region4 | 0.8 × 2.4 × 0.07 | x: 4.68, y: 0.97, z: 0.05 | Copper |
| Rounding of source regions: 0.2 | |||
| Drain region1 | 0.3 × 2.4 × 0.07 | x: 0.73, y: 1.26, z: 0.05 | Copper |
| Drain region2 | 0.3 × 2.4 × 0.07 | x: 2.53, y: 1.26, z: 0.05 | Copper |
| Drain region3 | 0.3 × 2.4 × 0.07 | x: 4.13, y: 1.26, z: 0.05 | Copper |
| Drain region4 | 0.3 × 2.4 × 0.07 | x: 5.93, y: 1.26, z: 0.05 | Copper |
| Drain region5 | 5.71 × 0.74 × 0.12 | x: 0.625, y: 3.66, z: 0 | Copper |
| Rounding of drain regions: 0.1 | |||
| Chip region1 | 5 × 3 × 0.005 | x: 0.98, y: 0.8, z: 0.12 | GaN |
| Chip substrate | 5 × 3 × 0.3 | x: 0.98, y: 0.8, z: 0.125 | Silicon |
| Connection column 1 | R: 0.1, H: 0.54 | x: 1.98, y: 0.5, z: 0 | Copper |
| Connection column 2 | R: 0.1, H: 0.54 | x: 4.98, y: 0.5, z: 0 | Copper |
| Thermal pad | 6.52 × 3.09 × 0.08 | x: 0.22, y: 0.08, z: 0.46 | Copper |
| Rounding of thermal pad: 0.3 | |||
| Shell | 6.96 × 4.48 × 0.54 | x: 0, y: 0, z: 0 | FR-4 |
Disclaimer/Publisher’s Note: The statements, opinions and data contained in all publications are solely those of the individual author(s) and contributor(s) and not of MDPI and/or the editor(s). MDPI and/or the editor(s) disclaim responsibility for any injury to people or property resulting from any ideas, methods, instructions or products referred to in the content. |
© 2023 by the authors. Licensee MDPI, Basel, Switzerland. This article is an open access article distributed under the terms and conditions of the Creative Commons Attribution (CC BY) license (https://creativecommons.org/licenses/by/4.0/).
Share and Cite
Jiang, J.; Chen, Q.; Hu, S.; Shi, Y.; He, Z.; Huang, Y.; Hui, C.; Chen, Y.; Wu, H.; Lu, G. Effect of Electro-Thermo-Mechanical Coupling Stress on Top-Cooled E-Mode AlGaN/GaN HEMT. Materials 2023, 16, 1484. https://doi.org/10.3390/ma16041484
Jiang J, Chen Q, Hu S, Shi Y, He Z, Huang Y, Hui C, Chen Y, Wu H, Lu G. Effect of Electro-Thermo-Mechanical Coupling Stress on Top-Cooled E-Mode AlGaN/GaN HEMT. Materials. 2023; 16(4):1484. https://doi.org/10.3390/ma16041484
Chicago/Turabian StyleJiang, Jie, Qiuqi Chen, Shengdong Hu, Yijun Shi, Zhiyuan He, Yun Huang, Caixin Hui, Yiqiang Chen, Hao Wu, and Guoguang Lu. 2023. "Effect of Electro-Thermo-Mechanical Coupling Stress on Top-Cooled E-Mode AlGaN/GaN HEMT" Materials 16, no. 4: 1484. https://doi.org/10.3390/ma16041484
APA StyleJiang, J., Chen, Q., Hu, S., Shi, Y., He, Z., Huang, Y., Hui, C., Chen, Y., Wu, H., & Lu, G. (2023). Effect of Electro-Thermo-Mechanical Coupling Stress on Top-Cooled E-Mode AlGaN/GaN HEMT. Materials, 16(4), 1484. https://doi.org/10.3390/ma16041484

