Experimental Study on Self-Centering Performance of the SMA Fiber Reinforced ECC Composite Beam
Abstract
:1. Introduction
2. Experiment Design
2.1. Materials
2.2. Specimen Design and Fabrication
2.3. Test Device and Test Method
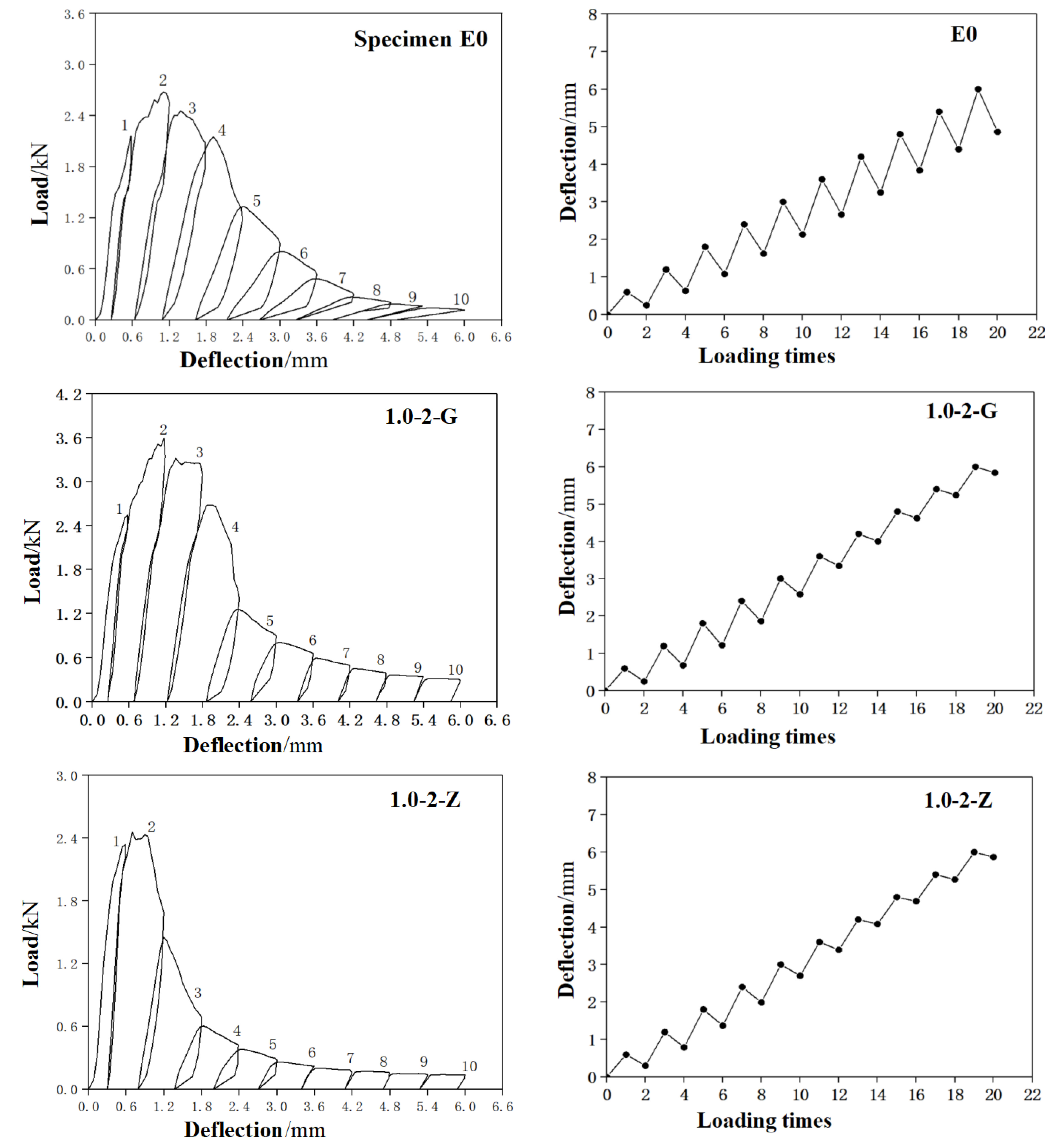
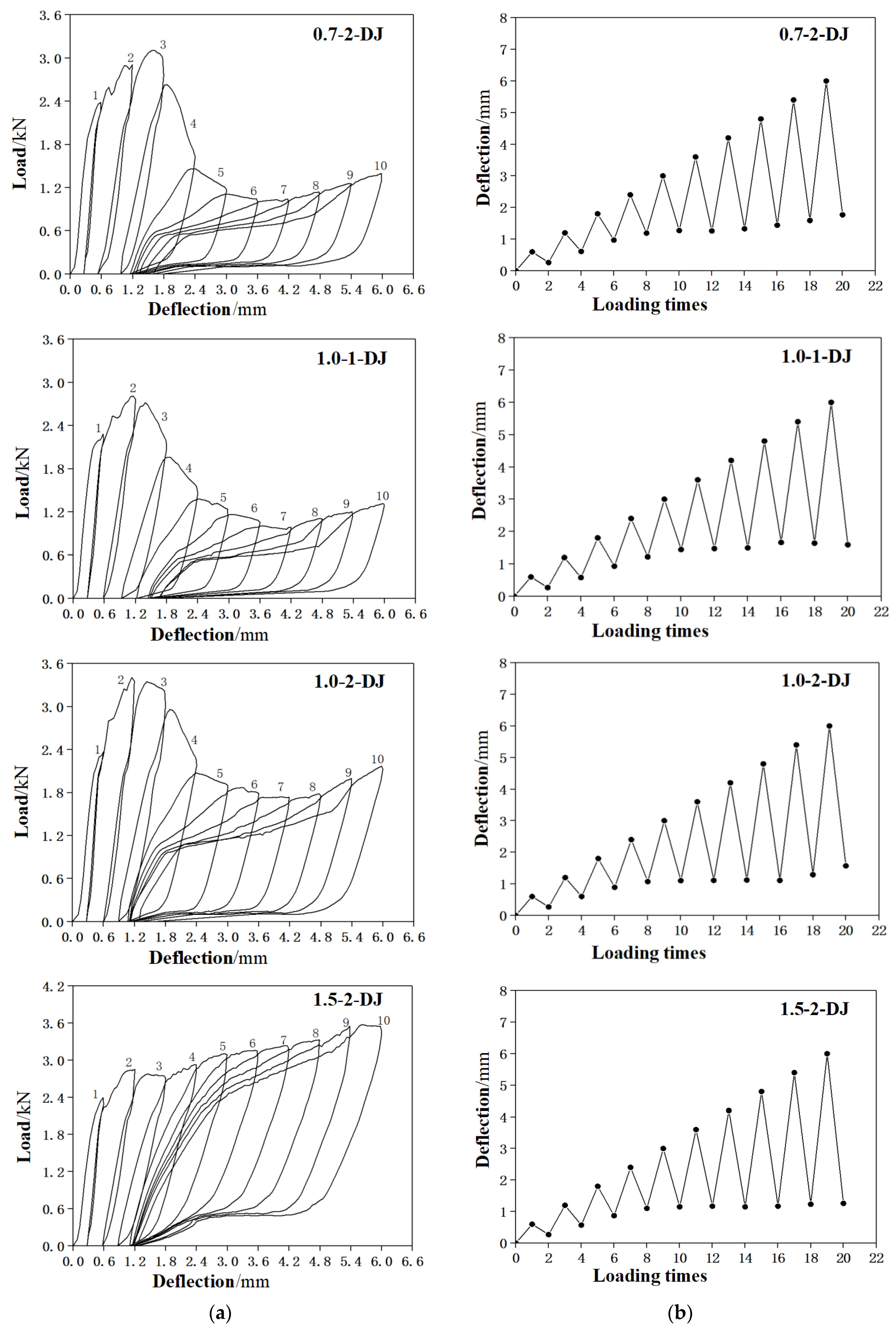
3. Test Results
3.1. Failure Phenomenon and Analysis
3.2. Load-Deflection Curve and Deflection Recovery Curve
3.3. Influence Factors of Self-Centering Performance
3.3.1. The Influence of SMA Fiber Content
3.3.2. The Influence of SMA Fiber Diameter
3.3.3. The Influence of SMA Fiber End Form
4. Conclusions
- When the SMA fibers can be effectively anchored in the ECC matrix, the SMA fibers can fully use its superelastic characteristics and provide flag-shaped hysteretic energy dissipation capability for the SMAF-ECC composite beams. Besides, the recovery force can be also provided by the SMA fibers to the composite beams in the unloading process. Thus makes the composite beams realizing the crack self-closure and deflection self-recovery function. The minimum residual crack width of the composite beam specimens is 0.9 mm, and the minimum residual deflection is 1.3 mm.
- SMA fiber content, diameter and end form can all affect the self-centering ability of SMAF-ECC composite, but the influence characteristics are different. Increasing fiber content can cause a small increase in the self-centering ability of SMAF-ECC composite beams. However the fiber diameter is not the bigger the better or the smaller the better, only when the fiber diameter is appropriate, better self-centering effect can be achieved. Even so, the self-centering ratio difference caused by different fiber diameters in the experiment was only 5%.
- SMA Fiber end forms have significant influence on self-centering performance of composite beams. The knotted end beam can get a more than 70% self-centering ratio, while the straight end beams and bended end beams have no self-centering ability.
- Although the composite beams in this study obtained good self-centering ability, the SMA fiber began to play a role effectively only after the beam had a large deflection. Therefore, how to make SMA fiber play a role earlier is a vproblem to be studied later. In addition, making simpler fiber ends is also needed in subsequent studies.
Author Contributions
Funding
Institutional Review Board Statement
Informed Consent Statement
Data Availability Statement
Conflicts of Interest
References
- Hou, L.; Xu, R.; Chen, D.; Xu, S.; Aslani, F. Seismic behavior of reinforced engineered cementitious composite members and reinforced concrete/engineered cementitious composite members: A review. Struct. Concr. 2020, 21, 199–219. [Google Scholar] [CrossRef]
- Li, X.P.; Li, M.; Song, G.B. Energy-dissipating and self-repairing SMA-ECC composite material system. Smart Mater. Struct. 2015, 24, 025024. [Google Scholar] [CrossRef]
- Elbahy, Y.I.; Youssef, M.A. Flexural behaviour of superelastic shape memory alloy reinforced concrete beams during loading and unloading stage. Eng. Struct. 2019, 181, 246–259. [Google Scholar] [CrossRef]
- Mao, J.; Jia, D.; Yang, Z.; Xiang, N. Seismic Performance of Concrete Bridge Piers Reinforced with Hybrid Shape Memory Alloy (SMA) and Steel Bars. J. Earthq. Tsunami 2019, 14, 2050001. [Google Scholar] [CrossRef]
- Parvin, A.; Raad, J. Internal and External Reinforcement of Concrete Members by Use of ShapeMemory Alloy and Fiber Reinforced Polymers under Cyclic Loading-A Review. Polymers 2018, 10, 376. [Google Scholar] [CrossRef] [PubMed] [Green Version]
- Abdulridha, A.; Palermo, D. Behaviour and modelling of hybrid SMA-steel reinforced concrete slender shear wall. Eng. Struct. 2017, 147, 77–89. [Google Scholar] [CrossRef]
- Tazarv, M.; Saiidi, M.S. Low-Damage Precast Columns for Accelerated Bridge Construction in High Seismic Zones. J. Bridge Eng. 2016, 21, 13. [Google Scholar] [CrossRef]
- Hung, C.C.; Yen, W.M.; Yu, K.H. Vulnerability and improvement of reinforced ECC flexural members under displacement reversals: Experimental investigation and computational analysis. Constr. Build. Mater. 2016, 107, 287–298. [Google Scholar] [CrossRef]
- Hosseini, F.; Gencturk, B.; Jain, A.; Shahzada, K. Optimal design of bridge columns constructed with engineered cementitious composites and Cu-Al-Mn superelastic alloys. Eng. Struct. 2019, 198, 109531. [Google Scholar] [CrossRef]
- Ali, M.; Soliman, A.M.; Nehdi, M.L. Hybrid-fiber reinforced engineered cementitious composite under tensile and impact loading. Mater. Des. 2017, 117, 139–149. [Google Scholar] [CrossRef]
- Shajil, N.; Srinivasan, S.M.; Santhanam, M. Self-centering of shape memory alloy fiber reinforced cement mortar members subjected to strong cyclic loading. Mater. Struct. 2012, 46, 651–661. [Google Scholar] [CrossRef]
- Shajil, N.; Srinivasan, S.M.; Santhanam, M. An experimental study on self-centering and ductility of pseudo-elastic shape memory alloy (PESMA) fiber reinforced beam and beam-column joint specimens. Mater. Struct. 2016, 49, 783–793. [Google Scholar] [CrossRef]
- Sherif, M.M.; Khakimova, E.M.; Ozbulut, O.E.; Harris, D.K.; Ozyildirim, H.C. Behavior of mortar beams with randomly distributed superelastic shape memory alloy fibers. J. Intell. Mater. Syst. Struct. 2018, 29, 684–695. [Google Scholar] [CrossRef]
- Choi, E.; Mohammadzadeh, B.; Hwang, J.H.; Lee, J.H. Displacement-recovery-capacity of superelastic SMA fibers reinforced cementitious materials. Smart Struct. Syst. 2019, 24, 157–171. [Google Scholar]
- Ali, M.A.E.M. Mechanical performance of hybrid fibre-reinforced engineered cementitious composite incorporating NiTi-SMA short fibres. In Proceedings of the 11th ICCAE-11 Conference, London, ON, Canada, 19–21 April 2016. [Google Scholar]
- Dehghani, A.; Aslani, F. The effect of shape memory alloy, steel, and carbon fibres on fresh, mechanical, and electrical properties of self-compacting cementitious composites. Cem. Concr. Compos. 2020, 112, 103659. [Google Scholar] [CrossRef]
- Dehghani, A.; Aslani, F. The synergistic effects of shape memory alloy, steel, and carbon fibres with polyvinyl alcohol fibres in hybrid strain-hardening cementitious composites. Constr. Build. Mater. 2020, 252, 119061. [Google Scholar] [CrossRef]
- Chen, W.; Feng, K.; Wang, Y.; Lin, Y.; Qian, H. Evaluation of self-healing performance of a smart composite material (SMA-ECC). Constr. Build. Mater. 2021, 290, 123216. [Google Scholar] [CrossRef]
- China Building Industry Press. JC/T2461-2018: Standard Test Method for the Mechanical Properties of Ductile Fiber Reinforced Cementitious Composites; China Building Industry Press: Beijing, China, 2018. [Google Scholar]
- Lee, J.H.; Lee, K.J.; Choi, E. Flexural capacity and crack-closing performance of NiTi and NiTiNb shape-memory alloy fibers randomly distributed in mortar beams. Compos. Part B-Eng. 2018, 153, 264–276. [Google Scholar] [CrossRef]
- Choi, E.; Mohammadzadeh, B.; Hwang, J.-H.; Kim, W.J. Pullout behavior of superelastic SMA fibers with various end-shapes embedded in cement mortar. Constr. Build. Mater. 2018, 167, 605–616. [Google Scholar] [CrossRef]













| Raw Materials | Cement | Fly Ash | Silica Sand | Water | PS | PVA *(%) |
|---|---|---|---|---|---|---|
| Mix proportion | 1.0 | 2.4 | 0.36 | 0.26 | 0.0082 | 2.0 |
| Diameter/mm | Starting Point of Stress Platform | Ending Point of Stress Platform | Tensile Strength/MPa | Ultimate Strain/% | ||
|---|---|---|---|---|---|---|
| Strain/% | Stress/MPa | Strain/% | Stress/MPa | |||
| 0.7 | 4.5 | 470 | 18 | 610 | 1248 | 33 |
| 1.0 | 5.2 | 422 | 24 | 610 | 1307 | 35 |
| 1.5 | 4.5 | 450 | 15 | 610 | 1200 | 21 |
| Specimen Type | Specimen Name | SMAF Diameter/mm | SMAF Number | SMAF End Form | Specimen Number |
|---|---|---|---|---|---|
| 0.7-2-DJ | 0.7 | 2 | knotted | 3 | |
| SMAF reinforced ECC beam | 1.0-1-DJ | 1 | 1 | knotted | 3 |
| 1.0-2-G | 2 | bended | 3 | ||
| 1.0-2-DJ | knotted | 3 | |||
| 1.0-2-Z | straight | 3 | |||
| 1.5-2-DJ | 1.5 | 2 | knotted | 3 | |
| ECC beam with no SMAF | E0 | − | − | − | 3 |
Publisher’s Note: MDPI stays neutral with regard to jurisdictional claims in published maps and institutional affiliations. |
© 2022 by the authors. Licensee MDPI, Basel, Switzerland. This article is an open access article distributed under the terms and conditions of the Creative Commons Attribution (CC BY) license (https://creativecommons.org/licenses/by/4.0/).
Share and Cite
Yang, Z.; Deng, T.; Li, J.; Xu, C. Experimental Study on Self-Centering Performance of the SMA Fiber Reinforced ECC Composite Beam. Materials 2022, 15, 3062. https://doi.org/10.3390/ma15093062
Yang Z, Deng T, Li J, Xu C. Experimental Study on Self-Centering Performance of the SMA Fiber Reinforced ECC Composite Beam. Materials. 2022; 15(9):3062. https://doi.org/10.3390/ma15093062
Chicago/Turabian StyleYang, Zhao, Tingyu Deng, Jiankun Li, and Chengxiang Xu. 2022. "Experimental Study on Self-Centering Performance of the SMA Fiber Reinforced ECC Composite Beam" Materials 15, no. 9: 3062. https://doi.org/10.3390/ma15093062
APA StyleYang, Z., Deng, T., Li, J., & Xu, C. (2022). Experimental Study on Self-Centering Performance of the SMA Fiber Reinforced ECC Composite Beam. Materials, 15(9), 3062. https://doi.org/10.3390/ma15093062

