Discrete Element Modeling of Instability Mechanisms of Unbound Permeable Aggregate Base Materials in Triaxial Compression
Abstract
:1. Introduction
2. Materials and Methods
2.1. Materials
2.2. Laboratory Testing Procedures
2.3. Particle Shape Acquisition and Quantification
2.4. Laboratory-Measured Shear Strength Properties
3. Description of the DEM Model Developed
3.1. General Principle of the DEM Model
3.2. Modeling Irregular Particle Shape
3.3. Calibration of Micromechanical Parameters of the DEM Model
4. Results and Discussion
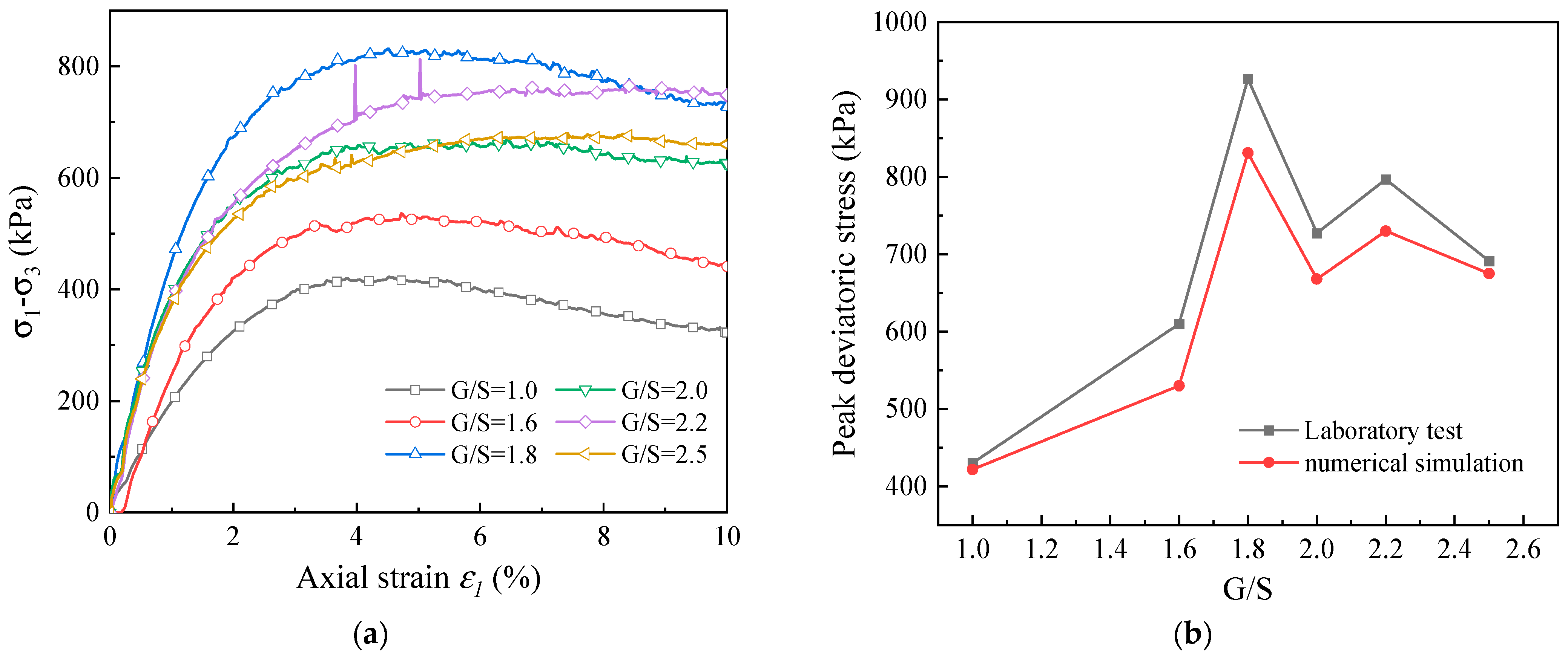
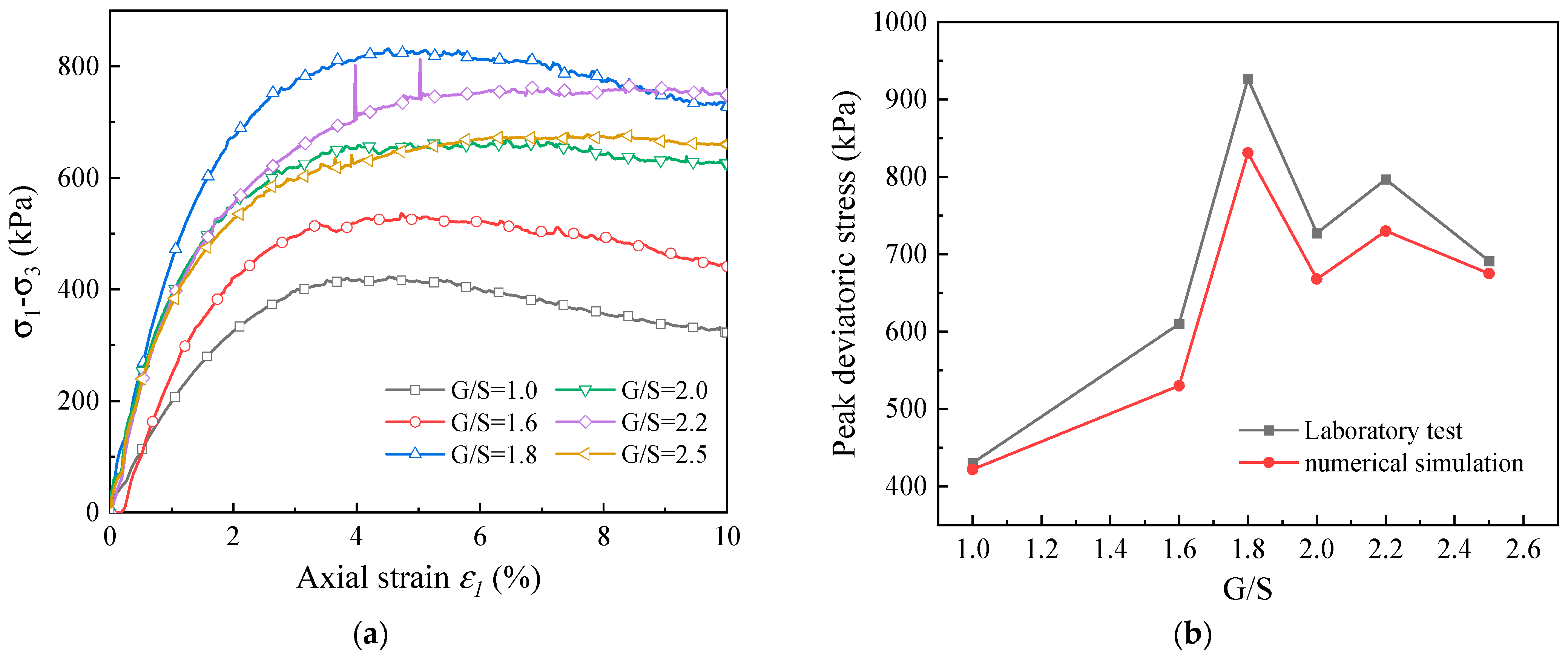
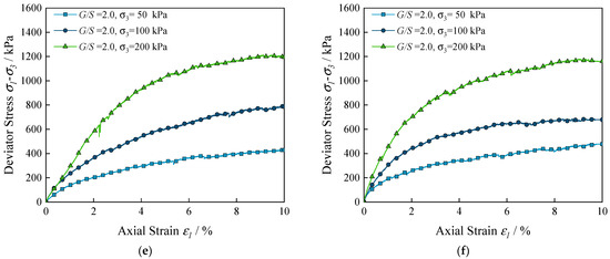
4.1. Analysis of Deviatoric Stress–Axial Strain Characteristics
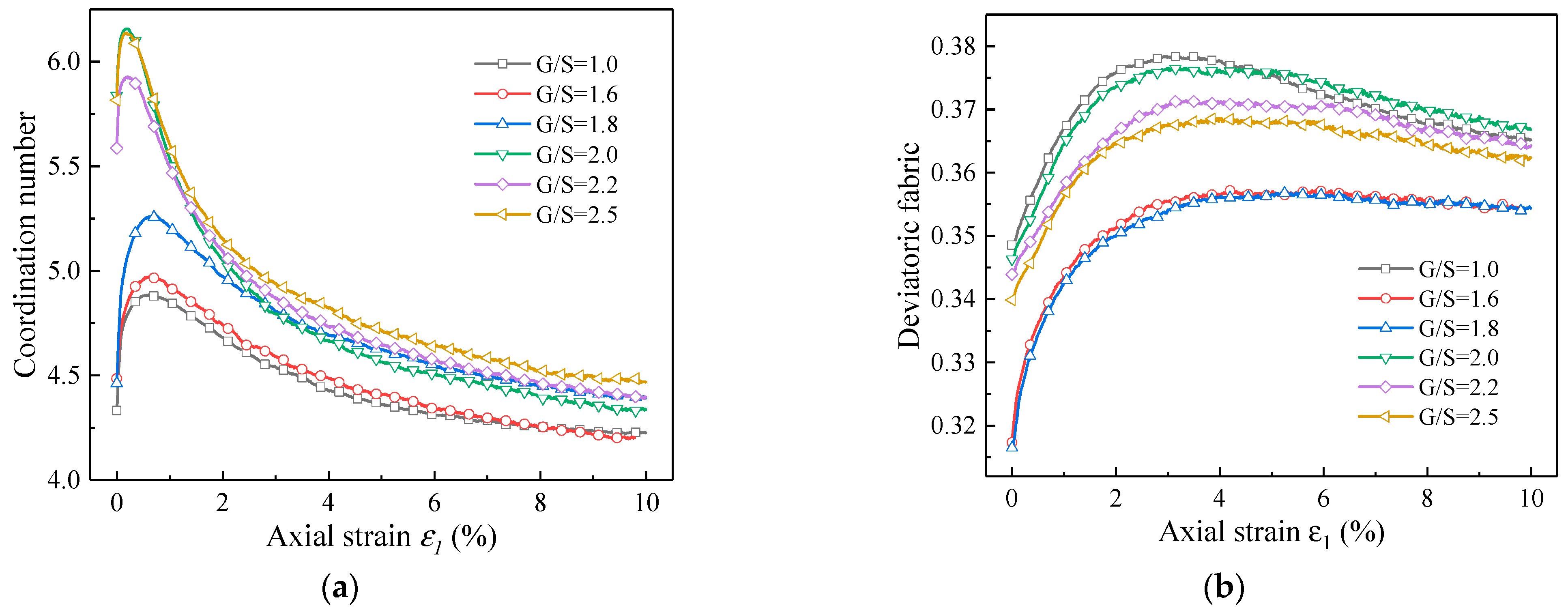
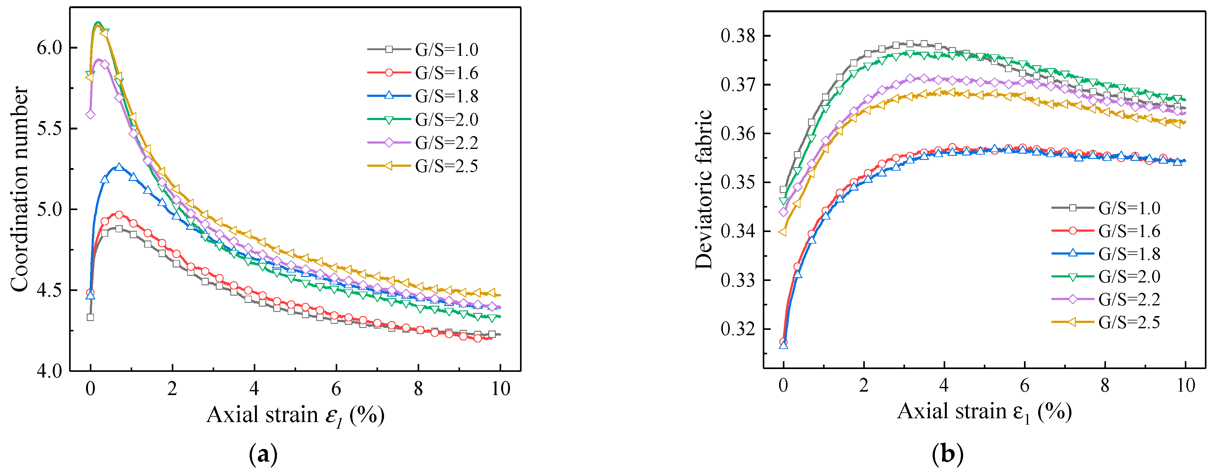
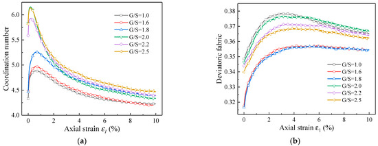
4.2. Coordination Number and Deviator Fabric
4.3. Evolution Characteristics of Particle Contact Fabric
4.4. Rotational Characteristics of Particles
5. Summary and Conclusions
- (1)
- The gradation control parameter G/S has a pronounced control effect on the shear strength of UPAB materials. As the G/S value increases, the shear strength of UPAB specimens first increases and then decreases, and the shear strength of the specimen with G/S = 1.8 is the greatest. The influence of fine fraction on the shear strength is not linear. The movement characteristics of fine particles directly affect macroscopic shear strength of UPAB specimens, i.e., the increase of the sliding ratio among particles has a positive effect on improving the shear strength.
- (2)
- The UPAB specimen with G/S = 1.8 exhibits the lowest meso-scale anisotropy, the best particle packing structure, and thus the highest macroscopic shear strength, while the UPAB specimen with G/S = 1.0 shows opposite trends. From the results of coordination number and fabric evolution, the plastic yielding of UPAB specimens are manifested by the failure of interparticle force chains at the early stage and are then related to the changes in topological structure of particle packing at the later stage (i.e., the rolling and sliding movement patterns of particles).
- (3)
- The average Euler angles of particles in the UPAB specimen with G/S = 1.8 are the smallest, indicating that the interlocking among particles is better and the rolling ratio among particles decreases due to its optimal particle packing structure. The specimen with G/S = 2.0 has fewer fine particles than that with G/S = 1.8, but the average Euler angles of the former are greater than those of the latter, thus indicating that the particle packing and arrangement structure affects particle motion during the shearing process.
- (4)
- G/S = 1.8 can be used as the threshold boundary separating skeleton dense and skeleton gap type packing structures, whereas the particle size range of 4.75–9.5 mm can be regarded as the threshold boundary separating rolling- and sliding-dominating particle motion. Properly reducing the content of particles smaller than 4.75–9.5 mm could help increase the sliding ratio among particles and thus improve the shear strength stability. The rationality of the G/S concept is verified from the perspective of meso-scale particle movement and fabric evolution, of which both govern macroscopic stability in triaxial compression.
Author Contributions
Funding
Institutional Review Board Statement
Informed Consent Statement
Data Availability Statement
Conflicts of Interest
References
- Jin, G. Triaxial Experimental Study of Graded Aggregates. Master’s Thesis, Dalian University of Technology, Dalian, China, 2007. [Google Scholar]
- Kibert, C.J. Establishing Principles and a Model for Sustainable Construction. In Proceedings of the First International Conference on Sustainable Construction, Tampa, FL, USA, 6–9 November 1994. [Google Scholar]
- Li, F.J. Design Requirements and Design Methods for Flexible Pavement Structures. Foreign Highw. 1994, 14, 30–38. [Google Scholar]
- Kabir, M.S.; King, W., Jr.; Abadie, C.; Icenogle, P.; Copper, S.B., Jr. Louisiana’s Experience with Open-Graded Friction Course Mixtures. Transp. Res. Rec. 2012, 2295, 63–71. [Google Scholar] [CrossRef]
- Weymouth, C.A. Effect of particle interference in mortars and concrete. In Rock Products; Maclean-Hunter Publishing Company: Toronto, ON, Canada, 1933; Volume 36, pp. 26–30. [Google Scholar]
- Sánchez-Leal, F.J. Gradation chart for asphalt mixes: Development. J. Mater. Civ. Eng. 2007, 19, 185–197. [Google Scholar] [CrossRef]
- Tao, M.; Mohammad, L.N.; Nazzal, M.D.; Zhang, Z. Application of Shakedown Theory in Characterizing Traditional and Recycled Pavement Base Materials. J. Transp. Eng. 2010, 136, 214–222. [Google Scholar] [CrossRef]
- Thompson, M.R. State-of-the-Art: Unbound Base Performance. In Asphalt Concrete, Bases and Fines; University of Illinois: Champaign, IL, USA, 1998. [Google Scholar]
- Ling, H.; Hua, F.U.; Han, H.Q. Experimental study on effects of gradation on strength and deformation of coarse-grained soil. Chin. J. Geotech. Eng. 2017, 39, 12–16. [Google Scholar] [CrossRef]
- Bouziane, A.; Benamar, A.; Tahakourt, A. Experimental and Numerical Investigation of Internal Erosion Effect on Shear Strength of Sandy Soils. Indian Geotech. J. 2020, 50, 971–981. [Google Scholar] [CrossRef]
- Xiao, Y.; Tutumluer, E.; Qian, Y.; Siekmeier, J.A. Gradation Effects Influencing Mechanical Properties of Aggregate Base–Granular Subbase Materials in Minnesota. Transp. Res. Rec. J. Transp. Res. Board 2012, 2267, 14–26. [Google Scholar] [CrossRef] [Green Version]
- Tutumluer, E.; Xiao, Y.; Wilde, W.J. Cost-Effective Base Type and Thickness for Long-Life Concrete Pavements; Minnesota Department of Transportation: St. Paul, MN, USA, 2015.
- Wilde, W.J.; Tutumluer, E.; Xiao, Y.; Beaudry, T.; Siekmeier, J. Optimizing Stability and Stiffness through Aggregate Base Gradation. Transp. Res. Rec. 2016, 2578, 12–20. [Google Scholar] [CrossRef]
- Qamhia, I.I.A.; Tutumluer, E. Review of Improved Subgrade and Stabilized Subbases to Evaluate Performance of Concrete Pavements; Illinois Center for Transportation: Rantoul, IL, USA, 2021. [Google Scholar]
- Xiao, Y.; Tutumluer, E. Gradation and Packing Characteristics Affecting Stability of Granular Materials: Aggregate Imaging-Based Discrete Element Modeling Approach. Int. J. Geomech. 2017, 17, 04016064. [Google Scholar] [CrossRef]
- Hu, N.; Yu, H.-S.; Yang, D.-S.; Zhuang, P.-Z. Constitutive modelling of granular materials using a contact normal-based fabric tensor. Acta Geotech. 2020, 15, 1125–1151. [Google Scholar] [CrossRef] [Green Version]
- Kabore, B.W.; Peters, B.; Michael, M.; Nicot, F. A discrete element framework for modeling the mechanical behaviour of snow—Part I: Mechanical behaviour and numerical model. Granul. Matter 2021, 23, 42. [Google Scholar] [CrossRef]
- Xiaoming, W.; Yuanjie, X.; Wenbing, S.; Juanjuan, R.; Zhengxing, C.; Hua, L. Research on meso-scale deformation and failure mechanism of fractured rock mass subject to biaxial compression. Arab. J. Geosci. 2021, 14, 1390. [Google Scholar] [CrossRef]
- Ng, T.T. Discrete Element Method Simulations of the Critical State of a Granular Material. Int. J. Geomech. 2009, 9, 209–216. [Google Scholar] [CrossRef]
- Marczewska, A.; Rojek, J.; Kačianauskas, R. Investigation of the effective elastic parameters in the discrete element model of granular material by the triaxial compression test. Arch. Civ. Mech. Eng. 2016, 16, 64–75. [Google Scholar] [CrossRef]
- Tang, H.; Zhang, X.; Ji, S. Discrete Element Analysis for Shear Band Modes of Granular Materials in Triaxial Tests. Part. Sci. Technol. 2016, 35, 277–290. [Google Scholar] [CrossRef]
- Qin, Y.; Liu, C.; Zhang, X.; Wang, X.; Shi, B.; Wang, Y.; Deng, S. A three-dimensional discrete element model of triaxial tests based on a new flexible membrane boundary. Sci. Rep. 2021, 11, 4573. [Google Scholar] [CrossRef]
- Cui, L.; O’Sullivan, C.; O’Neill, S. An analysis of the triaxial apparatus using a mixed boundary three-dimensional discrete element model. Géotechnique 2007, 57, 831–844. [Google Scholar] [CrossRef] [Green Version]
- Hosseininia, E.S. Investigating the micromechanical evolutions within inherently anisotropic granular materials using discrete element method. Granul. Matter 2012, 14, 483–503. [Google Scholar] [CrossRef]
- Sitharam, T.G. Discrete element modelling of cyclic behaviour of granular materials. Geotech. Geol. Eng. 2003, 21, 297–329. [Google Scholar] [CrossRef]
- Xiao, Y.; Tutumluer, E. Performance Checks for Unbound Aggregate Base Permanent Deformation Prediction Models under Dynamic Stress States Induced by Moving Wheel Loading. Procedia Eng. 2016, 143, 979–990. [Google Scholar] [CrossRef] [Green Version]
- Zhu, J.G.; Guo, W.L.; Wen, Y.-F.; Yin, J.-H. New Gradation Equation and Applicability for Particle-Size Distributions of Various Soils. Int. J. Geomech. 2018, 18, 04017155. [Google Scholar] [CrossRef]
- Wanli, G.; Jungao, Z.; Bin, Q. Particle breakage evolution model of coarse-grained soil and its experimental verification. Rock Soil Mech. 2019, 40, 1023–1029. [Google Scholar] [CrossRef]
- Qunding, Y.; Meng, W.; Yuanjie, X.; Wenjun, H.; Xiaoming, W.; Weidong, W.; Xiaobin, C. Experimental study on strength and deformation characteristics of graded crushed stone filler for permeable subgrade bed [J/OL]. J. Rock Mech. Eng. 2022, 41, 614–630. [Google Scholar] [CrossRef]
- Thompson, M.R.; Smith, K. Repeated Triaxial Characterization of Granular Materials. Transp. Res. Rec. J. Transp. Res. Board 1990, 1278, 7–17. [Google Scholar]
- Garg, N.; Thompson, M.R. Triaxial Characterization of Minnesota Road Research Project Granular Materials. Transp. Res. Rec. J. Transp. Res. Board 1997, 1577, 27–36. [Google Scholar] [CrossRef]
- Kim, I.T. Permanent Deformation Behavior of Airport Flexible Pavement Base and Subbase. Ph.D. Thesis, University of Illinois at Urbana-Champaign, Urbana, IL, USA, 2005. [Google Scholar]
- Qunding, Y. Investigating Macro- and Meso-Scale Characteristics of Vibratory Compaction and Deformation Behavior of Unbound Aggregate Materials. Ph.D. Thesis, Central South University, Changsha, China, 2021. [Google Scholar]
- Zhang, S.; Pei, J.; Li, R.; Wen, Y.; Zhang, J. Investigation on Comparison of Morphological Characteristics of Various Coarse Aggregates before and after Abrasion Test. Materials 2020, 13, 492. [Google Scholar] [CrossRef] [Green Version]
- Tutumluer, E.; Pan, T. Aggregate Morphology Affecting Strength and Permanent Deformation Behavior of Unbound Aggregate Materials. J. Mater. Civ. Eng. 2008, 20, 617–627. [Google Scholar] [CrossRef]
- Sneed, E.D.; Folk, R.L. Pebbles in the Lower Colorado River, Texas a Study in Particle Morphogenesis. J. Geol. 1958, 66, 114–150. [Google Scholar] [CrossRef]
- Qingbing, L.; Wei, X.; Budhu, M.; Deshan, C. Quantification of sand particle shape and its influence on mechanical indexes. Geotech. Mech. 2011, 32, 190–197. [Google Scholar] [CrossRef]
- Belheine, N.; Plassiard, J.P.; Donzé, F.-V.; Darve, F.; Seridi, A. Numerical simulation of drained triaxial test using 3D discrete element modeling. Comput. Geotech. 2009, 36, 320–331. [Google Scholar] [CrossRef]
- Qian, Y.; Lee, S.J.; Tutumluer, E.; Hashash, Y.M.A.; Mishra, D.; Ghaboussi, J. Simulating Ballast Shear Strength from Large-Scale Triaxial Tests: Discrete Element Method. Transp. Res. Rec. 2013, 2374, 126–135. [Google Scholar] [CrossRef] [Green Version]
- Shi, C.; Yang, W.K.; Yang, J.X.; Chen, X. Calibration of micro-scaled mechanical parameters of granite based on a bonded-particle model with 2D particle flow code. Granul. Matter 2019, 21, 38. [Google Scholar] [CrossRef]
- Widuliński, Ł.; Kozicki, J.; Tejchman, J. Numerical simulations of triaxial test with sand using DEM. Arch. Hydroengineering Environ. Mech. 2009, 56, 149–172. [Google Scholar]
- Chang, Y.L.; Chen, T.H.; Weng, M.C. Modeling Particle Rolling Behavior by the Modified Eccentric Circle Model of DEM. Rock Mech. Rock Eng. 2012, 45, 851–862. [Google Scholar] [CrossRef] [Green Version]
- Binesh, S.M.; Eslami-Feizabad, E.; Rahmani, R. Discrete Element Modeling of Drained Triaxial Test: Flexible and Rigid Lateral Boundaries. Int. J. Civ. Eng. 2018, 16, 1463–1474. [Google Scholar] [CrossRef]
- Harthong, B.; Jérier, J.-F.; Dorémus, P.; Imbault, D.; Donzé, F.-V. Modeling of high-density compaction of granular materials by the Discrete Element Method. Int. J. Solids Struct. 2009, 46, 3357–3364. [Google Scholar] [CrossRef] [Green Version]
- Indraratna, B.; Qi, Y.; Ngo, T.N.; Rujikiatkamjorn, C.; Neville, T.; Ferreira, F.B.; Shahkolahi, A. Use of Geogrids and Recycled Rubber in Railroad Infrastructure for Enhanced Performance. Geosciences 2019, 9, 30. [Google Scholar] [CrossRef] [Green Version]
- Mašín, D.; Tamagnini, C.; Viggiani, G.; Costanzo, D. Directional response of a reconstituted fine-grained soil—Part II: Performance of different constitutive models. Int. J. Numer. Anal. Methods Geomech. 2006, 30, 1303–1336. [Google Scholar] [CrossRef] [Green Version]
- Zhao, Z.J. Evaluation Method of Coarse Aggregate Angularity and its Influence on Mix Performance. Master’s Thesis, Chang’an University, Xi’an, China, 2018. [Google Scholar]
- Wang, F.; Xiao, Y.; Cui, P.; Mo, L. Measuring aggregate morphologies based on three-dimensional curvature analysis. Comput.-Aided Civ. Infrastruct. Eng. 2021. [Google Scholar] [CrossRef]
- Wang, X.; Xiao, Y.; Shi, W.; Ren, J.; Liang, F.; Lu, J.; Li, H.; Yu, X. Forensic analysis and numerical simulation of a catastrophic landslide of dissolved and fractured rock slope subject to underground mining. Landslides 2022, 1–23. [Google Scholar] [CrossRef]
- Shi, D.; Xue, J.; Zhao, Z.-Y.; Shi, J.-Y. A DEM investigation on simple shear behavior of dense granular assemblies. J. Cent. South Univ. 2015, 22, 4844–4855. [Google Scholar] [CrossRef]
- Ken-Ichi, K. Distribution of directional data and fabric tensors. Int. J. Eng. Sci. 1984, 22, 149–164. [Google Scholar] [CrossRef]
- Satake, M. Fabric tensor in granular materials. In Deformation and Failure of Granular Materials; Vermeer, P.A., Luger, H.J., Eds.; Balkema Publishers: Rotterdam, The Netherlands, 1982; pp. 63–68. [Google Scholar]
- Casagrande, A.; Carillo, N. Shear failure of anisotropic materials. roc. Boston Soc. Civ. Eng. 1944, 31, 74–87. [Google Scholar]
- Zhang, D.D.; Liu, C.M.; Wan, Y.C.; Jiang, S.N.; Zeng, G. Microstructure and anisotropy of mechanical properties in ring rolled AZ80-Ag alloy. J. Cent. South Univ. 2021, 28, 1316–1323. [Google Scholar] [CrossRef]























| G/S | Dmax/mm | Porosity (n) | Coefficient of Uniformity (Cu) | Coefficient of Curvature (Cc) |
|---|---|---|---|---|
| 1.0 | 26.5 | 0.32 | 270.22 | 3.55 |
| 1.6 | 26.5 | 0.51 | 29.09 | 1.97 |
| 1.8 | 26.5 | 0.56 | 23.64 | 2.08 |
| 2.0 | 26.5 | 0.61 | 18.09 | 1.90 |
| 2.2 | 26.5 | 0.65 | 14.46 | 1.74 |
| 2.5 | 26.5 | 0.71 | 11.63 | 1.63 |
| G/S | Maximum Dry Density MDD (g/cm3) | Optimum Moisture Content OMC (%) |
|---|---|---|
| 1.0 | 2.338 | 4.710 |
| 1.6 | 2.340 | 4.760 |
| 1.8 | 2.351 | 4.762 |
| 2.0 | 2.271 | 4.400 |
| 2.2 | 2.269 | 4.660 |
| 2.5 | 2.270 | 4.850 |
| Particle Size/mm | Shape Index | |||||
|---|---|---|---|---|---|---|
| 26.5–19.0 (19 pcs *) | 0.780 | 0.721 | 0.746 | 0.889 | 0.863 | 0.838 |
| 19.0–16.0 (21 pcs) | 0.711 | 0.790 | 0.744 | 0.883 | 0.867 | 0.837 |
| 16.0–13.2 (21 pcs) | 0.692 | 0.783 | 0.730 | 0.874 | 0.875 | 0.836 |
| 13.2–9.50 (30 pcs) | 0.719 | 0.708 | 0.707 | 0.877 | 0.870 | 0.835 |
| 9.50–4.75 (27 pcs) | 0.667 | 0.770 | 0.709 | 0.871 | 0.880 | 0.837 |
| 4.75–2.36 (9 pcs) | 0.657 | 0.744 | 0.696 | 0.881 | 0.826 | 0.809 |
| Average | 0.704 | 0.753 | 0.722 | 0.879 | 0.864 | 0.832 |
| Median | 0.724 | 0.765 | 0.726 | 0.881 | 0.875 | 0.840 |
| Maximum | 0.962 | 0.992 | 0.895 | 0.940 | 0.927 | 0.902 |
| Minimum | 0.352 | 0.448 | 0.530 | 0.730 | 0.581 | 0.565 |
| Symbol | Parameter Definition | Value (Particle–Particle/Particle–Wall) |
|---|---|---|
| Kn | Normal stiffness (N/m) | 5 × 107/1 × 108 |
| Ks | Tangential stiffness (N/m) | 5× 107/1 × 108 |
| Rr_fric | Rolling friction coefficient | 0.1/0.0 |
| Fric | Friction | 0.35/0.1 |
Publisher’s Note: MDPI stays neutral with regard to jurisdictional claims in published maps and institutional affiliations. |
© 2022 by the authors. Licensee MDPI, Basel, Switzerland. This article is an open access article distributed under the terms and conditions of the Creative Commons Attribution (CC BY) license (https://creativecommons.org/licenses/by/4.0/).
Share and Cite
Xiao, Y.; Wang, X.; Yu, Q.; Ren, J.; Hua, W.; Mustafina, R.; Zhang, F.; Feng, H.; Zhang, T. Discrete Element Modeling of Instability Mechanisms of Unbound Permeable Aggregate Base Materials in Triaxial Compression. Materials 2022, 15, 2716. https://doi.org/10.3390/ma15082716
Xiao Y, Wang X, Yu Q, Ren J, Hua W, Mustafina R, Zhang F, Feng H, Zhang T. Discrete Element Modeling of Instability Mechanisms of Unbound Permeable Aggregate Base Materials in Triaxial Compression. Materials. 2022; 15(8):2716. https://doi.org/10.3390/ma15082716
Chicago/Turabian StyleXiao, Yuanjie, Xiaoming Wang, Qunding Yu, Juanjuan Ren, Wenjun Hua, Ralina Mustafina, Fuguang Zhang, Huaiping Feng, and Tongwen Zhang. 2022. "Discrete Element Modeling of Instability Mechanisms of Unbound Permeable Aggregate Base Materials in Triaxial Compression" Materials 15, no. 8: 2716. https://doi.org/10.3390/ma15082716
APA StyleXiao, Y., Wang, X., Yu, Q., Ren, J., Hua, W., Mustafina, R., Zhang, F., Feng, H., & Zhang, T. (2022). Discrete Element Modeling of Instability Mechanisms of Unbound Permeable Aggregate Base Materials in Triaxial Compression. Materials, 15(8), 2716. https://doi.org/10.3390/ma15082716

