Combined Electrochemical, Raman Analysis and Machine Learning Assessments of the Inhibitive Properties of an 1,3,4-Oxadiazole-2-Thiol Derivative against Carbon Steel Corrosion in HCl Solution
Abstract
1. Introduction
2. Materials and Methods
2.1. Chemicals and Materials
2.2. Electrochemical Measurements
2.3. SEM-EDX Analysis
2.4. Raman Spectroscopy
2.5. Machine Learning Studies
3. Results and Discussion
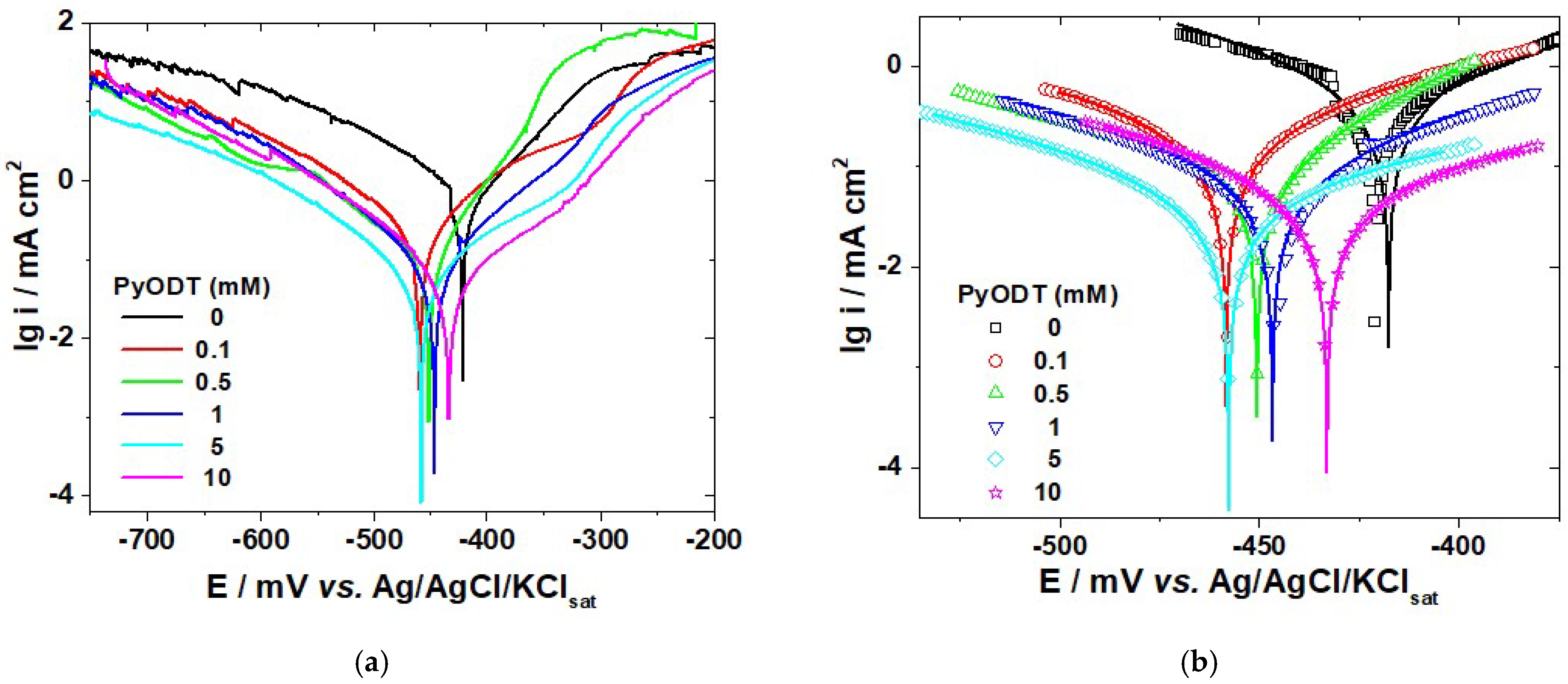
3.1. Potentiodynamic Polarization
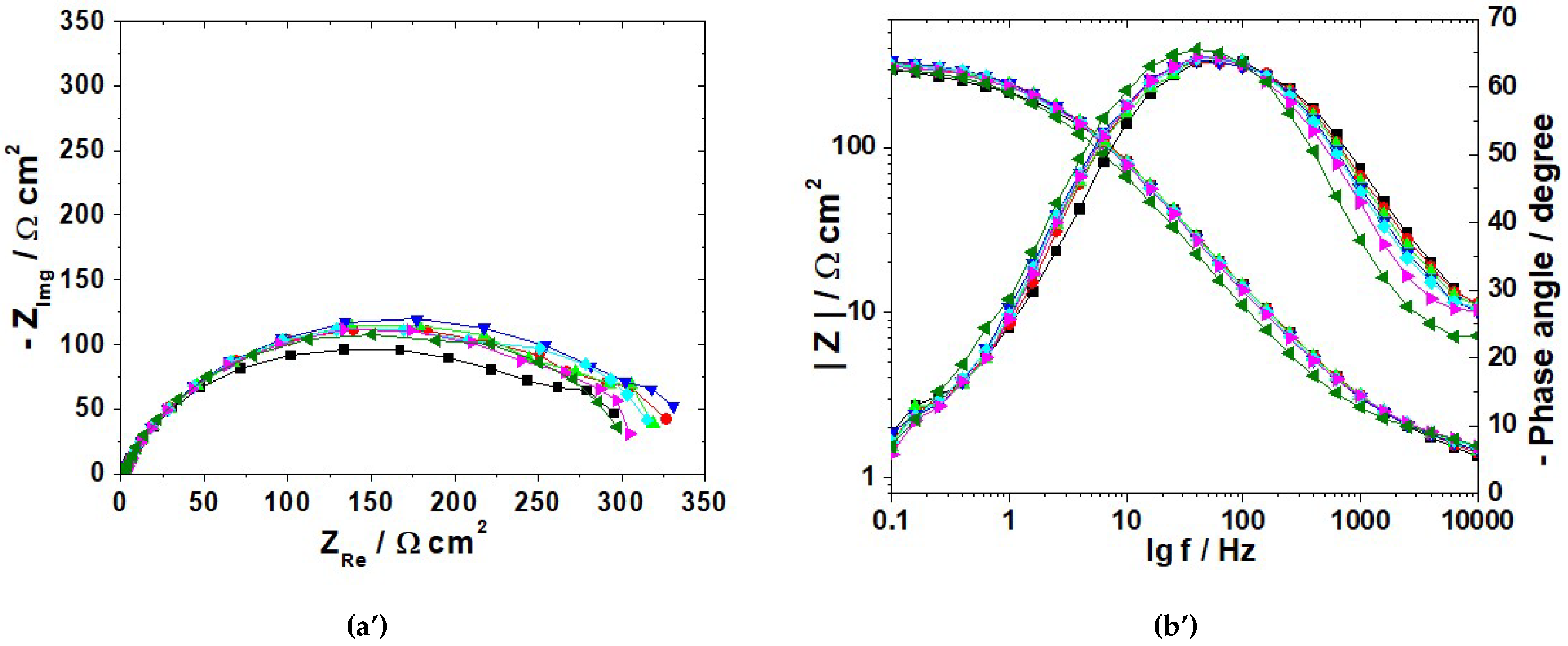
3.2. Electrochemical Impedance Spectroscopy
3.3. Adsorption Isoterms
3.4. Surface Investigations
3.4.1. SEM and EDX Analysis
3.4.2. Raman Spectroscopy and Machine Learning Investigations
Raman Spectroscopic Evaluation of the Electrodes’ Surface
Electrode Surface Evaluation Using Machine Learning Approach
4. Conclusions
Supplementary Materials
Author Contributions
Funding
Institutional Review Board Statement
Informed Consent Statement
Data Availability Statement
Conflicts of Interest
References
- Boughoues, Y.; Benamira, M.; Messaadia, L.; Bouider, N.; Abdelaziz, S. Experimental and theoretical investigations of four amine derivatives as effective corrosion inhibitors for mild steel in HCl medium. RSC Adv. 2020, 10, 24145–24158. [Google Scholar] [CrossRef]
- Zhang, W.; Ma, R.; Liu, H.; Liu, Y.; Li, S.; Niu, L. Electrochemical and surface analysis studies of 2-(quinolin-2-yl)quinazolin-4(3H)-one as corrosion inhibitor for Q235 steel in hydrochloric acid. J. Mol. Liq. 2016, 222, 671–679. [Google Scholar] [CrossRef]
- Lgaz, H.; Masroor, S.; Chafiq, M.; Damej, M.; Brahmia, A.; Salghi, R.; Benmessaoud, M.; Ali, I.H.; Alghamdi, M.M.; Chaouiki, A.; et al. Evaluation of 2-mercaptobenzimidazole derivatives as corrosion inhibitors for mild steel in hydrochloric acid. Metals 2020, 10, 357. [Google Scholar] [CrossRef]
- Obot, I.B.; Meroufel, A.; Onyeachu, I.B.; Alenazi, A.; Sorour, A.A. Corrosion inhibitors for acid cleaning of desalination heat exchangers: Progress, challenges and future perspectives. J. Mol. Liq. 2019, 296, 111760. [Google Scholar] [CrossRef]
- Yang, H.-M. Role of organic and eco-friendly inhibitors on the corrosion mitigation of steel in acidic environments—A state-of-art review. Molecules 2021, 26, 3473. [Google Scholar] [CrossRef]
- Dariva, C.G.; Galio, A.F. Corrosion inhibitors–principles, mechanisms and applications. Dev. Corros. Prot. 2014, 16, 365. [Google Scholar]
- Kobzar, Y.L.; Fatyeyeva, K. Ionic liquids as green and sustainable steel corrosion inhibitors: Recent developments. Chem. Eng. J. 2021, 425, 131480. [Google Scholar] [CrossRef]
- Yan, M.; Tan, Q.; Liu, Z.; Li, H.; Zheng, Y.; Zhang, L.; Liu, Z. Synthesis and application of a phosphorous-free and non-nitrogen polymer as an environmentally friendly scale inhibition and dispersion agent in simulated cooling water systems. ACS Omega 2020, 5, 15487–15494. [Google Scholar] [CrossRef] [PubMed]
- Gharbi, O.; Thomas, S.; Smith, C.; Birbilis, N. Chromate replacement: What does the future hold? Mater. Degrad. 2018, 2, 12. [Google Scholar] [CrossRef]
- Fernandes, C.M.; Alvarez, L.X.; Escarpini dos Santos, N.; Maldonado Barrios, A.C.; Ponzio, E.A. Green synthesis of 1-benzyl-4-phenyl-1H-1,2,3-triazole, its application as corrosion inhibitor for mild steel in acidic medium and new approach of classical electrochemical analyses. Corros. Sci. 2019, 149, 185–194. [Google Scholar] [CrossRef]
- Finšgar, M.M.; Jackson, J. Application of corrosion inhibitors for steels in acidic media for the oil and gas industry: A review. Corros. Sci. 2014, 86, 17–41. [Google Scholar] [CrossRef]
- Oyekunle, D.T.; Agboola, O.; Ayeni, A.O. Corrosion inhibitors as building evidence for mild steel: A review. J. Phys. Conf. Ser. 2019, 1378, 032046. [Google Scholar] [CrossRef]
- Vinutha, M.R.; Venkatesha, T.V. Review on mechanistic action of inhibitors on steel corrosion in acidic media. Port. Electrochim. Acta 2016, 34, 157–184. [Google Scholar] [CrossRef]
- Outirite, M.; Lagrenée, M.; Lebrini, M.; Traisnel, M.; Jama, C.; Vezin, H.; Bentiss, F. ac impedance, X-ray photoelectron spectroscopy and density functional theory studies of 3,5-bis(n-pyridyl)-1,2,4-oxadiazoles as efficient corrosion inhibitors for carbon steel surface in hydrochloric acid solution. Electrochim. Acta 2010, 55, 1670–1681. [Google Scholar] [CrossRef]
- Sindhe, M.A.; Bodke, Y.D.; Kenchappa, R.; Telkar, S.; Chandrashekar, A. Synthesis of a series of novel 2,5-disubstituted-1,3,4-oxadiazole derivatives as potential antioxidant and antibacterial agents. J. Chem. Biol. 2016, 9, 79–90. [Google Scholar] [CrossRef] [PubMed]
- Palit, R.; Saraswat, N.; Sahoo, J. Review on substituted 1,3,4-oxadiazole and its biological activities. Int. Res. J. Pharm. 2016, 7, 1–7. [Google Scholar] [CrossRef]
- Raj, X.J.; Rajendran, N. Effect of some oxadiazole derivatives on the corrosion inhibition of brass in natural seawater. J. Mater. Eng. Perform. 2012, 21, 1363–1373. [Google Scholar]
- Chadrasekaran, K.; Alwar, B.S.; Ravichandran, R. Inhibition of oxadiazole derivatives for the control of corrosion of copper-nickel alloy in sea water. J. Adv. Electrochem. 2016, 2, 121–125. [Google Scholar]
- Rochdi, A.; Kassou, O.; Dkhireche, N.; Touir, R.; El Bakri, M.; Ebn Touhami, M.; Sfaira, M.; Mernari, B.; Hammouti, B. Inhibitive properties of 2,5-bis(n-methylphenyl)-1,3,4-oxadiazole and biocide on corrosion, biocorrosion and scaling controls of brass in simulated cooling water. Corros. Sci. 2014, 80, 442–452. [Google Scholar] [CrossRef]
- Gapil, S.; Ebadi, M.; Basirun, W.J.; Hasan, A.; Awang, K.; Golsefidi, M.A.; Azmi, M.N.; Sulaiman, M.Y. Synthesis of heterocyclic compounds of 5-substituted-1,3,4-oxadiazole-2-thiols for the prevention of nickel corrosion. Int. J. Electrochem. Sci. 2015, 10, 1543–1554. [Google Scholar]
- Bentiss, F.; Lagrenee, M.; Traisnel, M.; Hornez, J.C. Corrosion inhibition of mild steel in 1 M hydrochloric acid by 2,5-Bis(2-aminophenyl)1,3,4-oxadiazole. Corrosion 1999, 55, 968–976. [Google Scholar] [CrossRef]
- Bentiss, F.; Lagrenée, M.; Traisnel, M. 2,5-Bis(n-Pyridyl)-1,3,4-oxadiazoles as corrosion inhibitors for mild steel in acidic media. Corrosion 2000, 56, 733–742. [Google Scholar] [CrossRef]
- Bentiss, F.; Traisnel, M.; Lagrenee, M. The substituted 1,3,4-oxadiazoles: A new class of corrosion inhibitors of mild steel in acidic media. Corros. Sci. 2000, 42, 127–146. [Google Scholar] [CrossRef]
- Lagrenée, M.; Mernari, B.; Chaibi, N.; Traisnel, M.; Vezin, H.; Bentiss, F. Investigation of the inhibitive effect of substituted oxadiazoles on the corrosion of mild steel in HCl medium. Corros. Sci. 2001, 43, 951–962. [Google Scholar] [CrossRef]
- Bentiss, F.; Traisnel, M.; Chaibi, N.; Mernari, B.; Vezin, H.; Lagrenee, M. 2,5-Bis(n-methoxyphenyl)-1,3,4-oxadiazoles used as corrosion inhibitors in acidic media: Correlation between inhibition efficiency and chemical structure. Corros. Sci. 2002, 44, 2271–2289. [Google Scholar] [CrossRef]
- Quraishi, M.A.; Sardar, R. Corrosion inhibition of mild steel in acid solutions by some aromatic oxadiazoles. Mater. Chem. Phys. 2002, 78, 425–431. [Google Scholar] [CrossRef]
- Ouici, H.; Tourabi, M.; Benali, O.; Selles, C.; Traisnel, M.; Jama, C.; Bentiss, F.; Salghi, R. Experimental investigation on the corrosion inhibition characteristics of mild steel by 5-(2-hydroxyphenyl)-1,3,4-oxadiazole-2-thiol in hydrochloric acid medium. J. Mater. Environ. Sci. 2016, 7, 2971–2988. [Google Scholar]
- Gurudatt, D.M.; Mohana, K.N. Synthesis of new pyridine based 1,3,4-oxadiazole derivatives and their corrosion inhibition performance on mild steel in 0.5 M hydrochloric acid. Ind. Eng. Chem. Res. 2014, 53, 2092–2105. [Google Scholar] [CrossRef]
- Ammal, P.R.; Prasad, A.R.; Ramira, K.; John, S.; Joseph, A. Protection of mild steel in hydrochloric acid using methyl benzimidazole substituted 1, 3, 4-oxadiazole: Computational, electroanalytical, thermodynamic and kinetic studies. J. Adhes. Sci. Technol. 2019, 33, 2227–2249. [Google Scholar] [CrossRef]
- Dwivedi, D.; Lepkova, K.; Becker, T. Carbon steel corrosion: A review of key surface properties and characterization methods. RSC Adv. 2017, 7, 4580–4610. [Google Scholar] [CrossRef]
- Zhang, X.; Xiao, K.; Dong, C.; Wu, J.; Li, X.; Huang, Y. In situ Raman spectroscopy study of corrosion products on the surface of carbon steel in solution containing Cl− and SO42−. Eng. Fail. Anal. 2011, 18, 1981–1989. [Google Scholar] [CrossRef]
- Criado, M.; Martínez-Ramirez, S.; Bastidas, J.M. A Raman spectroscopy study of steel corrosion products in activated fly ash mortar containing chlorides. Constr. Build. Mat. 2015, 96, 383–390. [Google Scholar] [CrossRef]
- Lussier, F.; Thibault, V.; Charron, B.; Gregory, Q.; Wallace, G.Q.; Masson, J.-F. Deep learning and artificial intelligence methods for Raman and surface-enhanced Raman scattering. Trends Analyt. Chem. 2020, 124, 115796. [Google Scholar] [CrossRef]
- Varvara, S.; Berghian-Grosan, C.; Bostan, R.; Ciceo, R.L.; Salarvand, Z.; Talebian, M.; Raeissi, K.; Izquierdo, J.; Souto, R.M. Experimental characterization, machine learning analysis and computational modelling of the high effective inhibition of copper corrosion by 5-(4-pyridyl)-1,3,4-oxadiazole-2-thiol in saline environment. Electrochim. Acta 2021, 398, 139282. [Google Scholar] [CrossRef]
- Stern, M.; Geary, A.L. Electrochemical polarization: I. A theoretical analysis of the shape of polarization curves. J. Electrochem. Soc. 1957, 104, 56–63. [Google Scholar] [CrossRef]
- Dkhireche, N.; Dahami, A.; Rochdi, A.; Hmimou, J.; Touir, R.; Ebn Touhami, M.; El Bakri, M.; El Hallaoui, A.; Anouar, A.; Takenouti, H. Corrosion and scale inhibition of low carbon steel in cooling water system by 2-propargyl-5-o-hydroxyphenyltetrazole. J. Ind. Eng. Chem. 2013, 19, 1996–2003. [Google Scholar] [CrossRef][Green Version]
- Varvara, S.; Dorneanu, S.-A.; Okos, A.; Muresan, L.M.; Bostan, R.; Popa, M.; Marconi, D.; Ilea, P. Dissolution of Metals in Different Bromide-Based Systems: Electrochemical Measurements and Spectroscopic Investigations. Materials 2020, 13, 3630. [Google Scholar] [CrossRef] [PubMed]
- Gong, W.; Yin, X.; Liu, Y.; Chen, Y.; Yang, W. 2-Amino-4-(4-methoxyphenyl)-thiazole as a novel corrosion inhibitor for mild steel in acidic medium. Prog. Org. Coat. 2019, 126, 150–161. [Google Scholar] [CrossRef]
- Onyeachu, I.B.; Solomon, M.M. Benzotriazole derivative as an effective corrosion inhibitor for low carbon steel in 1 M HCl and 1 M HCl + 3.5 wt% NaCl solutions. J. Mol. Liq. 2020, 313, 113536. [Google Scholar] [CrossRef]
- Erami, R.S.; Amirnasr, M.; Meghdadi, S.; Talebian, M.; Farrokhpour, H.; Raeissi, K. Carboxamide derivatives as new corrosion inhibitors for mild steel protection in hydrochloric acid solution. Corros. Sci. 2019, 151, 190–197. [Google Scholar] [CrossRef]
- Macdonald, J.R. Impedance Spectroscopy-Emphasizing Solid Materials and Synthesis. In Theory; Macdonald, J.R., Ed.; John Wiley and Sons Inc.: New York, NY, USA, 1987; pp. 13–77. [Google Scholar]
- Jorcin, J.-B.; Orazem, M.E.; Pébère, N.; Tribollet, B. CPE analysis by local electrochemical impedance spectroscopy. Electrochim. Acta 2006, 51, 1473–1479. [Google Scholar] [CrossRef]
- Solmaz, R. Investigation of the inhibition effect of 5-(I-4-phenylbuta-1,3-dienylideneamino)-1,3,4-thiadiazole-2-thiol Schiff base on mild steel corrosion in hydrochloric acid. Corros. Sci. 2010, 52, 3321–3330. [Google Scholar] [CrossRef]
- Solmaz, R.; Kardaş, G.; Çulha, M.; Yazıcı, B.; Erbil, M. Investigation of adsorption and inhibitive effect of 2-mercaptothiazoline on corrosion of mild steel in hydrochloric acid media. Electrochim. Acta 2008, 53, 5941–5952. [Google Scholar] [CrossRef]
- El-Taib Heakal, F.; Fouda, A.S.; Radwan, M.S. Inhibitive effect of some thiadiazole derivatives on C-steel corrosion in neutral sodium chloride solution. Mater. Chem. Phys. 2011, 125, 26–36. [Google Scholar] [CrossRef]
- Alamri, A.H.; Obot, I.B. Highly efficient corrosion inhibitor for C1020 carbon steel during acid cleaning in multistage flash (MSF) desalination plant. Desalination 2019, 470, 114100. [Google Scholar] [CrossRef]
- Vereda, F. Introduction to Standard Spectroscopic Methods: XRD, IR/Raman, and Mössbauer. In Iron Oxides: From Nature to Applications, 1st ed.; Faivre, D., Ed.; Wiley-VCH Verlag GmbH & Co. KGaA: Weinheim, Germany, 2016; pp. 302–311. [Google Scholar]
- De Faria, D.L.A.; Venâncio Silva, S.; de Oliveira, M.T. Raman microspectroscopy of some iron oxides and oxyhydroxides. J. Raman Spectrosc. 1997, 28, 873–878. [Google Scholar] [CrossRef]
- ElMetwally, A.E.; Eshaq, G.; Yehia, F.Z.; Al-Sabagh, A.M.; Kegnæs, S. Iron oxychloride as an efficient catalyst for selective hydroxylation of benzene to phenol. ACS Catal. 2018, 8, 10668–10675. [Google Scholar] [CrossRef]
- Lanarde, L.; Campaignolle, X.; Joiret, S.; Karcher, S.; Meyer, M. Characterisation of corrosion products on pipeline steel under cathodic protection. In Long Term Prediction and Modelling of Corrosion, Proceedings of the Annual Conference, European Federation of Corrosion, EUROCORR, Nice, France, 12–16 September 2004; Cefracor Publisher: Paris, France. [Google Scholar]
- Loto, R.T.; Joseph, O.O.; Akanji, O. Electrochemical corrosion behaviour of austenitic stainless steel (type 304) in dilute hydrochloric acid solution. J. Mater. Environ. Sci. 2015, 6, 2409–2417. [Google Scholar]
- Rai, B.K.; Durbin, S.M.; Prohofsky, E.W.; Timothy Sage, J.; Ellison, M.K.; Robert Scheidt, W.; Sturhahn, W.; Ercan Alp, E. Iron normal mode dynamics in a porphyrin-imidazole model for deoxyheme proteins. Phys. Rev. E 2002, 66, 051904. [Google Scholar] [CrossRef] [PubMed]
- Czernuszewicz, R.S.; LeGall, J.; Moura, I.; Spiro, T.G. Resonance Raman spectra of rubredoxin: New assignments and vibrational coupling mechanism from iron-54/iron-56 isotope shifts and variable-wavelength excitation. Inorg. Chem. 1986, 25, 696–700. [Google Scholar] [CrossRef]















| PyODT (mM) | Ecorr (mV vs. Ag/AgCl/KClsat) | jcorr (μA cm−2) | ba (V−1) | -bc (V−1) | IE (%) |
|---|---|---|---|---|---|
| 0 | −417.1 ± 0.18 | 856.6 ± 0.27 | 25.58 ± 0.62 | 21.39 ± 0.50 | - |
| 0.1 | −458.5 ± 0.01 | 300.3 ± 1.56 | 22.05 ± 0.08 | 19.24 ± 0.10 | 64.9 |
| 0.5 | −450.3 ± 0.03 | 137.7 ± 0.07 | 39.84 ± 0.09 | 15.53± 0.12 | 83.9 |
| 1.0 | −446.5 ± 0.01 | 111.4 ± 4.00 | 26.22 ± 0.66 | 20.87 ± 0.70 | 86.6 |
| 5 | −458.1 ± 0.34 | 75.8 ± 0.79 | 19.80 ± 0.14 | 19.50 ± 0.17 | 91.2 |
| 10 | −432.8 ± 0.02 | 83.9 ± 0.04 | 15.36± 0.08 | 22.03 ± 0.06 | 90.2 |
| PyODT (mM) | Rp (Ω cm2) | Qdl (μF sn−1 cm−2) | ndl | Cdl (μFcm−2) | IE (%) |
|---|---|---|---|---|---|
| 0 | 23.2 | 1090.0 | 0.832 | 519.0 | - |
| 0.1 | 100.8 | 387.4 | 0.828 | 197.7 | 76.9 |
| 0.5 | 192.5 | 107.8 | 0.860 | 57.4 | 87.9 |
| 1.0 | 235.4 | 92.1 | 0.851 | 47.1 | 90.1 |
| 5 | 337.5 | 138.2 | 0.709 | 39.3 | 93.1 |
| 10 | 273.8 | 600.0 | 0.775 | 354.4 | 91.5 |
| Corrosive Solution | Element (wt.%) | |||||||
|---|---|---|---|---|---|---|---|---|
| Fe | O | Cl | Mn | Si | N | S | Al 1 | |
| 1 h immersion | ||||||||
| 1.0 M HCl | 92.7 | 1.2 | 5.1 | 0.5 | 0.2 | - | - | 0.2 |
| 1.0 M HCl + 5 mM PyDOT | 97.9 | - | 0.7 | 0.6 | 0.3 | 0.3 | 0.1 | 0.2 |
| 12 h immersion | ||||||||
| 1.0 M HCl | 67.3 | 24.9 | 7.4 | 0.3 | 0.1 | - | - | - |
| 1.0 M HCl + 5 mM PyDOT | 88.5 | 9.7 | 0.7 | 0.3 | 0.5 | - | 0.1 | 0.1 |
| Class | C-steel (CS) | CS-HCl-1h | CS-HCl-6h | CS-PyODT-1h | CS-PyODT-12h | PyODT |
|---|---|---|---|---|---|---|
| Number of variables | 12/9/3 | 15/9/6 | 15/9/6 | 15/9/6 | 15/9/6 | 2/2/- |
| Predicted Class | True Class | Predicted Class | True Class |
|---|---|---|---|
| CS | CS | CS-HCl-6h | CS-HCl-6h |
| CS | CS | CS-PyODT-1h | CS-PyODT-1h |
| CS | CS | CS-PyODT-12h | CS-PyODT-1h |
| CS-HCl-6h | CS-HCl-1h | CS-PyODT-12h | CS-PyODT-1h |
| CS-HCl-6h | CS-HCl-1h | CS | CS-PyODT-1h |
| CS-HCl-1h | CS-HCl-1h | CS-HCl-1h | CS-PyODT-1h |
| CS-HCl-1h | CS-HCl-1h | CS-HCl-1h | CS-PyODT-1h |
| CS-HCl-1h | CS-HCl-1h | CS-PyODT-12h | CS-PyODT-12h |
| CS | CS-HCl-1h | CS-PyODT-12h | CS-PyODT-12h |
| CS-HCl-1h | CS-HCl-6h | CS-HCl-1h | CS-PyODT-12h |
| CS-HCl-6h | CS-HCl-6h | CS-HCl-6h | CS-PyODT-12h |
| CS-HCl-6h | CS-HCl-6h | CS-PyODT-12h | CS-PyODT-12h |
| CS-HCl-6h | CS-HCl-6h | CS-PyODT-12h | CS-PyODT-12h |
| CS-HCl-6h | CS-HCl-6h |
Publisher’s Note: MDPI stays neutral with regard to jurisdictional claims in published maps and institutional affiliations. |
© 2022 by the authors. Licensee MDPI, Basel, Switzerland. This article is an open access article distributed under the terms and conditions of the Creative Commons Attribution (CC BY) license (https://creativecommons.org/licenses/by/4.0/).
Share and Cite
Varvara, S.; Berghian-Grosan, C.; Damian, G.; Popa, M.; Popa, F. Combined Electrochemical, Raman Analysis and Machine Learning Assessments of the Inhibitive Properties of an 1,3,4-Oxadiazole-2-Thiol Derivative against Carbon Steel Corrosion in HCl Solution. Materials 2022, 15, 2224. https://doi.org/10.3390/ma15062224
Varvara S, Berghian-Grosan C, Damian G, Popa M, Popa F. Combined Electrochemical, Raman Analysis and Machine Learning Assessments of the Inhibitive Properties of an 1,3,4-Oxadiazole-2-Thiol Derivative against Carbon Steel Corrosion in HCl Solution. Materials. 2022; 15(6):2224. https://doi.org/10.3390/ma15062224
Chicago/Turabian StyleVarvara, Simona, Camelia Berghian-Grosan, Gianina Damian, Maria Popa, and Florin Popa. 2022. "Combined Electrochemical, Raman Analysis and Machine Learning Assessments of the Inhibitive Properties of an 1,3,4-Oxadiazole-2-Thiol Derivative against Carbon Steel Corrosion in HCl Solution" Materials 15, no. 6: 2224. https://doi.org/10.3390/ma15062224
APA StyleVarvara, S., Berghian-Grosan, C., Damian, G., Popa, M., & Popa, F. (2022). Combined Electrochemical, Raman Analysis and Machine Learning Assessments of the Inhibitive Properties of an 1,3,4-Oxadiazole-2-Thiol Derivative against Carbon Steel Corrosion in HCl Solution. Materials, 15(6), 2224. https://doi.org/10.3390/ma15062224

