The Performance Evaluation of Asphalt Mortar and Asphalt Mixture Containing Municipal Solid Waste Incineration Fly Ash
Abstract
:1. Introduction
2. Materials and Methods
2.1. Materials
2.2. Test Methods
2.2.1. Asphalt Mortar Production
2.2.2. Asphalt Mortar Properties
2.2.3. Asphalt Mixture Production
2.2.4. Asphalt Mixture Properties
3. Results and Discussions
3.1. Asphalt Mortar
3.1.1. The Intermediate and High Temperatures Performance
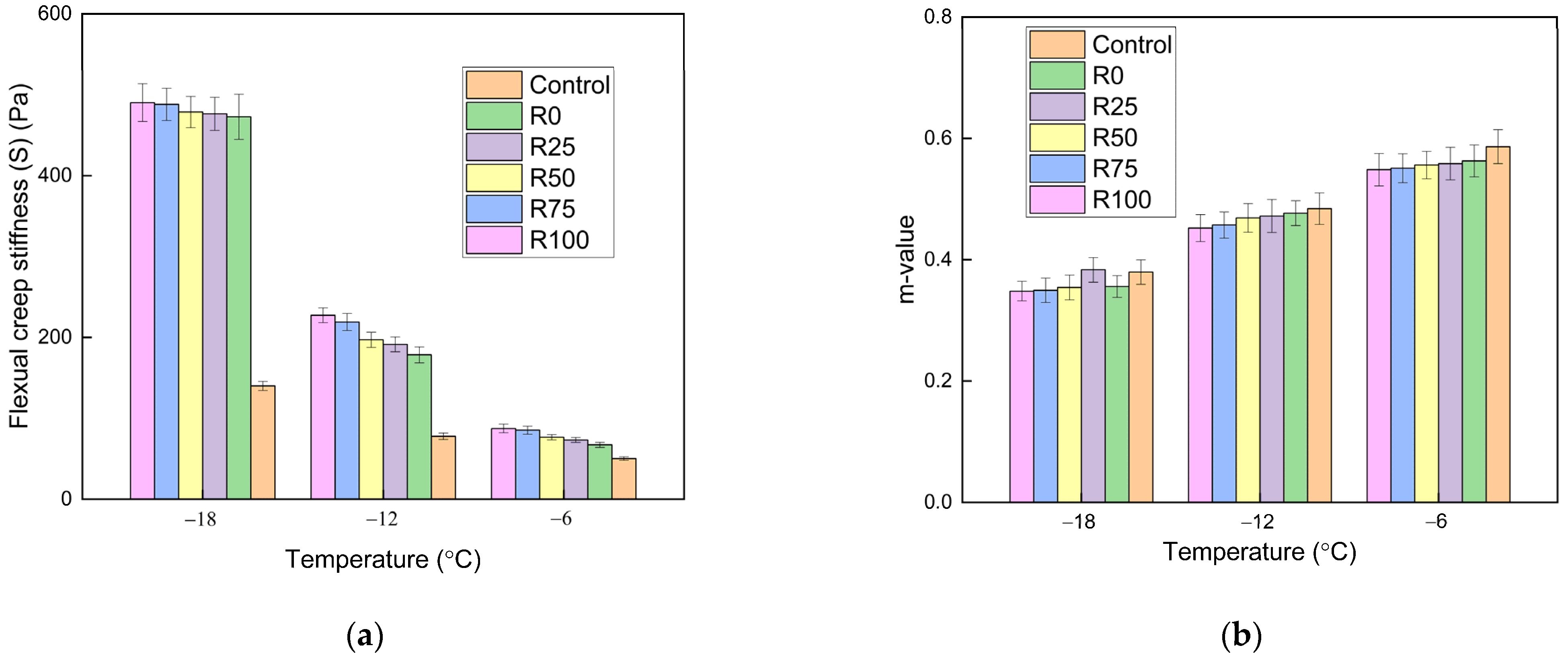
3.1.2. The Low Temperatures Performance
3.2. Asphalt Mixture
3.2.1. The High Temperature Stability
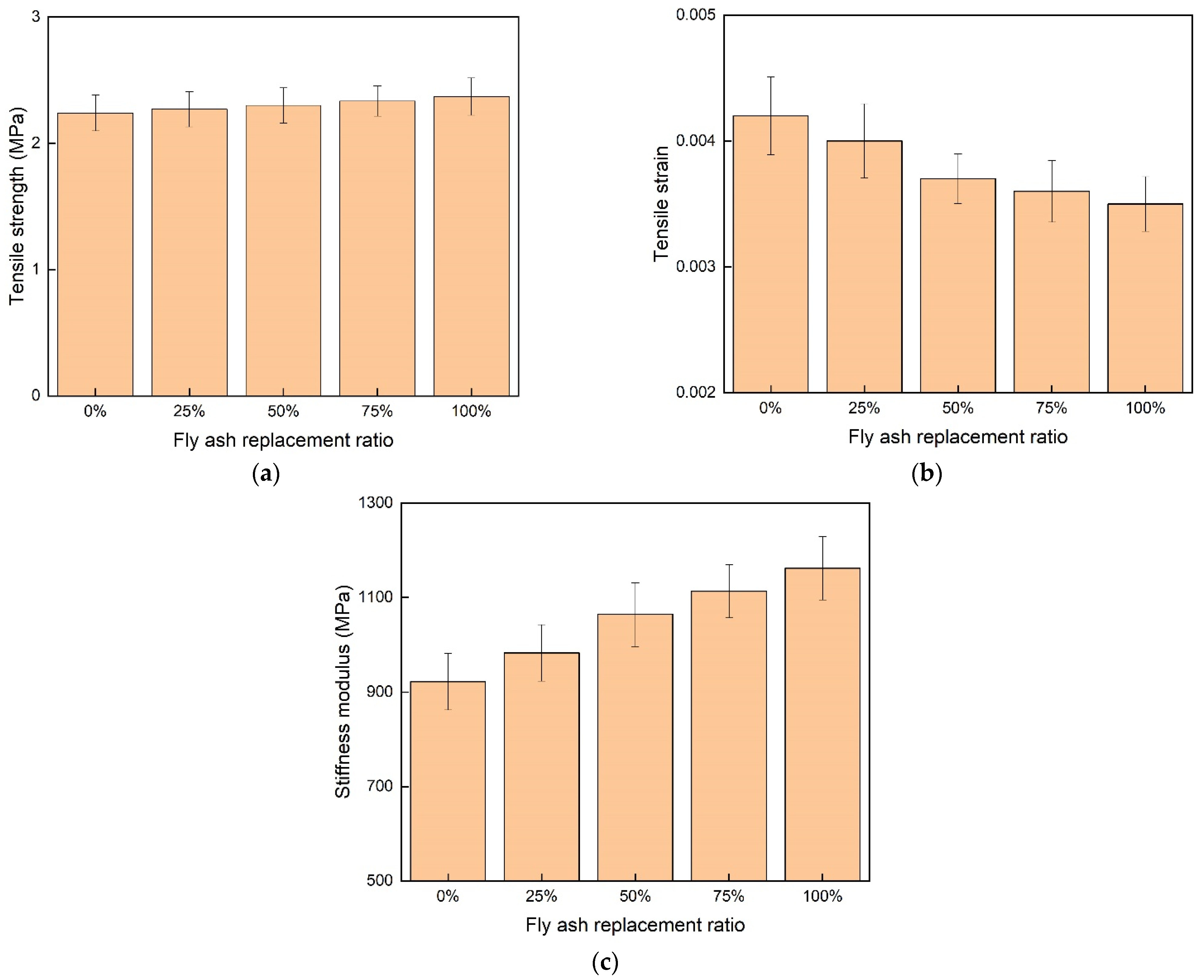
3.2.2. The Low Temperature Cracking Property
3.2.3. The Moisture Susceptibility of the Asphalt Mixture
4. Conclusions
- The addition of fly ash enhanced the ǀG*ǀ and decreased the δ of the asphalt mortar. The high temperature performance of asphalt mortar with fly ash was better than asphalt mortar with mineral filler and base asphalt. The F/A ratio of 0.8 was the optimum value, which guaranteed that the asphalt mortar had sufficient elasticity and shear resistance.
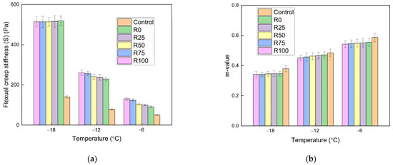
- The asphalt without fly ash and mineral filler had the lowest stiffness and the highest m-value. After the addition of fly ash and mineral filler, the cracking resistance of asphalt at low temperatures was decreased. The filler type had insignificant impact on the characteristics of asphalt mortar at low temperatures.
- The Marshall stability and the wheel tracking tests’ results reached similar findings. The high temperature property of the mixture was enhanced with the increase of fly ash replacement ratio.
- The tensile strength and the stiffness modulus of the asphalt mixture were enhanced as the fly ash replacement ratio increased. The asphalt mixture with higher fly ash replacement ratio was more prone to low temperature cracking. The fly ash replacement ratio should not be too high, to ensure an asphalt mixture with sufficiently low temperature cracking resistance.
- The addition of fly ash weakened the moisture stability of the asphalt mixture, as predicted by the immersed Marshall test and the indirect tensile strength test results. In terms of sufficient moisture stability of the asphalt mixture, the fly ash replacement ratio should be set around 25%. If higher fly ash replacement ratio was demanded, the anti-stripping agent could be adopted, or the fly ash could be pretreated by washing with water to reduce the influence of chemical components of fly ash to the asphalt mixture. Even though the conclusions of the paper were based on limited mixture designs, the results could supply some experience for the mixture design with higher fly ash content and improved low temperature and moisture stability.
Author Contributions
Funding
Institutional Review Board Statement
Data Availability Statement
Acknowledgments
Conflicts of Interest
References
- Wang, J.; Dai, Q.; Si, R. Experimental and Numerical Investigation of Fracture Behaviors of Steel Fiber–Reinforced Rubber Self-Compacting Concrete. J. Mater. Civ. Eng. 2022, 34, 04021379. [Google Scholar] [CrossRef]
- Ali, N.; Chan, J.S.; Simms, S.; Bushman, R.; Bergan, A.T. Mechanistic evaluation of fly ash asphalt concrete mixtures. J. Mater. Civ. Eng. 1996, 8, 19–25. [Google Scholar] [CrossRef]
- Colonna, P.; Berloco, N.; Ranieri, V.; Shuler, S.T. Application of bottom ash for pavement binder course. Procedia-Soc. Behav. Sci. 2012, 53, 961–971. [Google Scholar] [CrossRef] [Green Version]
- Yan, K.; Gao, F.; Sun, H.; Ge, D.; Yang, S. Effects of municipal solid waste incineration fly ash on the characterization of cement-stabilized macadam. Constr. Build. Mater. 2019, 207, 181–189. [Google Scholar] [CrossRef]
- Likitlersuang, S.; Chompoorat, T. Laboratory investigation of the performances of cement and fly ash modified asphalt concrete mixtures. Int. J. Pavement Res. Technol. 2016, 9, 337–344. [Google Scholar] [CrossRef] [Green Version]
- Yan, K.; Li, L.; Ge, D. Research on properties of bitumen mortar containing municipal solid waste incineration fly ash. Constr. Build. Mater. 2019, 218, 657–666. [Google Scholar] [CrossRef]
- Saride, S.; Avirneni, D.; Javvadi, S.C.P.; Puppala, A.J.; Hoyos, L.R. Evaluation of fly ash treated reclaimed asphalt pavement for base/subbase applications. Indian Geotech. J. 2015, 45, 401–411. [Google Scholar] [CrossRef]
- Yilmaz, A.; Degirmenci, N. Possibility of using waste tire rubber and fly ash with Portland cement as construction materials. Waste Manag. 2009, 29, 1541–1546. [Google Scholar] [CrossRef]
- Milad, A.; Ali, A.S.B.; Babalghaith, A.M.; Memon, Z.A.; Mashaan, N.S.; Arafa, S. Utilisation of Waste-Based Geopolymer in Asphalt Pavement Modification and Construction—A Review. Sustainability 2021, 13, 3330. [Google Scholar] [CrossRef]
- Chaunsali, P.; Ardeshirilajimi, A.; Mondal, P. On the interaction of Class C fly ash with Portland cement-calcium sulfoaluminate cement binder. Mater. Struct. 2018, 51, 131. [Google Scholar] [CrossRef]
- Wang, J.; Dai, Q.; Si, R.; Ma, Y.; Guo, S. Fresh and mechanical performance and freeze-thaw durability of steel fiber-reinforced rubber self-compacting concrete (SRSCC). J. Clean. Prod. 2020, 277, 123180. [Google Scholar] [CrossRef]
- Mohammadinia, A.; Arulrajah, A.; Horpibulsuk, S.; Chinkulkijniwat, A. Effect of fly ash on properties of crushed brick and reclaimed asphalt in pavement base/subbase applications. J. Hazard. Mater. 2017, 321, 547–556. [Google Scholar] [CrossRef] [PubMed]
- Antunes, V.; Freire, A.C.; Quaresma, L.; Micaelo, R. Evaluation of waste materials as alternative sources of filler in asphalt mixtures. Mater. Struct. 2017, 50, 254. [Google Scholar] [CrossRef]
- Jin, D.; Ge, D.; Chen, S.; Che, T.; Liu, H.; Malburg, L.; You, Z. Cold In-Place Recycling Asphalt Mixtures: Laboratory Performance and Preliminary M-E Design Analysis. Materials 2021, 14, 2036. [Google Scholar] [CrossRef]
- Faheem, A.F.; Bahia, H.U. Modelling of asphalt mastic in terms of filler-bitumen interaction. Road Mater. Pavement Des. 2010, 11, 281–303. [Google Scholar] [CrossRef]
- Ge, D.; You, Z.; Chen, S.; Liu, C.; Gao, J.; Lv, S. The performance of asphalt binder with trichloroethylene: Improving the efficiency of using reclaimed asphalt pavement. J. Clean. Prod. 2019, 232, 205–212. [Google Scholar] [CrossRef]
- Sobolev, K.; Vivian, I.F.; Saha, R.; Wasiuddin, N.M.; Saltibus, N.E. The effect of fly ash on the rheological properties of bituminous materials. Fuel 2014, 116, 471–477. [Google Scholar] [CrossRef]
- Cho, B.H.; Nam, B.H.; An, J.; Youn, H. Municipal Solid Waste Incineration (MSWI) Ashes as Construction Materials—A Review. Materials 2020, 13, 3143. [Google Scholar] [CrossRef]
- Çelik, Ö. Influence of fly ash on the properties of asphalt. Pet. Sci. Technol. 2008, 26, 1571–1582. [Google Scholar] [CrossRef]
- Tapkın, S. Mechanical evaluation of asphalt–aggregate mixtures prepared with fly ash as a filler replacement. Can. J. Civ. Eng. 2008, 35, 27–40. [Google Scholar] [CrossRef]
- Ge, D.; Jin, D.; Liu, C.; Gao, J.; Yu, M.; Malburg, L.; You, Z. Laboratory Performance and Field Case Study of Asphalt Mixture with Sasobit Treated Aramid Fiber as Modifier. Transp. Res. Rec. 2021, 03611981211047833. [Google Scholar] [CrossRef]
- Al-Hdabi, A.; Al Nageim, H.; Ruddock, F.; Seton, L. Development of sustainable cold rolled surface course asphalt mixtures using waste fly ash and silica fume. J. Mater. Civ. Eng. 2013, 26, 536–543. [Google Scholar] [CrossRef]
- Al-Abdul Wahhab, H.I.; Hussein, I.A.; Parvez, M.A.; Shawabkeh, R.A. Use of modified oil fly ash to enhance asphalt concrete performance. Mater. Struct. 2015, 48, 3231–3240. [Google Scholar] [CrossRef]
- Hoy, M.; Rachan, R.; Horpibulsuk, S.; Arulrajah, A.; Mirzababaei, M. Effect of wetting–drying cycles on compressive strength and microstructure of recycled asphalt pavement–Fly ash geopolymer. Constr. Build. Mater. 2017, 144, 624–634. [Google Scholar] [CrossRef]
- Sharma, V.; Chandra, S.; Choudhary, R. Characterization of fly ash bituminous concrete mixes. J. Mater. Civ. Eng. 2010, 22, 1209–1216. [Google Scholar] [CrossRef]
- Xie, J.; Wu, S.; Pang, L.; Lin, J.; Zhu, Z. Influence of surface treated fly ash with coupling agent on asphalt mixture moisture damage. Constr. Build. Mater. 2012, 30, 340–346. [Google Scholar] [CrossRef]
- Huang, B.; Shu, X.; Dong, Q.; Shen, J. Laboratory evaluation of moisture susceptibility of hot-mix asphalt containing cementitious fillers. J. Mater. Civ. Eng. 2010, 22, 667–673. [Google Scholar] [CrossRef]
- Xue, Y.; Hou, H.; Zhu, S.; Zha, J. Utilization of municipal solid waste incineration ash in stone mastic asphalt mixture: Pavement performance and environmental impact. Constr. Build. Mater. 2009, 23, 989–996. [Google Scholar] [CrossRef]
- ASTM International. Standard Test Method for Determining the Rheological Properties of Asphalt Binder Using a Dynamic Shear Rheometer; ASTM International: West Conshohocken, PA, USA, 2015. [Google Scholar]
- ASTM International. ASTM D6927-15 Standard Test Method for Marshall Stability and Flow of Asphalt Mixtures; ASTM International: West Conshohocken, PA, USA, 2015. [Google Scholar]
- Hao, P.; Hachiya, Y. Evaluation indicator of asphalt mixture rutting susceptibility. J. Test. Eval. 2004, 32, 194–201. [Google Scholar] [CrossRef]
- Ge, D.; Chen, S.; You, Z.; Yang, X.; Yao, H.; Ye, M.; Yap, Y.K. Correlation of DSR results and FTIR’s carbonyl and sulfoxide indexes: Effect of aging temperature on asphalt rheology. J. Mater. Civ. Eng. 2019, 31, 04019115. [Google Scholar] [CrossRef]
- Airey, G.D.; Collop, A.C.; Zoorob, S.E.; Elliott, R.C. The influence of aggregate, filler and bitumen on asphalt mixture moisture damage. Constr. Build. Mater. 2008, 22, 2015–2024. [Google Scholar] [CrossRef]
- Wang, S.; Yan, K.; Ge, D.; Hong, Z. Laboratory research on the performance of stress-absorption interlayer (SAI) of waste tire rubber and amorphous ploy alpha olefin modified asphalt. Constr. Build. Mater. 2019, 223, 830–840. [Google Scholar] [CrossRef]
- Liu, W.; Yan, K.; Ge, D.; Chen, M. Effect of APAO on the aging properties of waste tire rubber modified asphalt binder. Constr. Build. Mater. 2018, 175, 333–341. [Google Scholar] [CrossRef]
- Rodriguez-Alloza, A.M.; Gallego, J. Mechanical performance of asphalt rubber mixtures with warm mix asphalt additives. Mater. Struct. 2017, 50, 147. [Google Scholar] [CrossRef]















| Performance | Results |
|---|---|
| Softening point (°C) | 47.1 |
| Penetration (25 °C, 100 g, 5 s)/0.1 mm | 71.7 |
| Ductility (15 °C, 5 cm/min)/cm | >150 |
| Flashing point (°C) | 262 |
| Viscosity (135 °C)/Pa∙s | 0.435 |
| Performance | Results |
|---|---|
| Crushing value (%) | 20.7 |
| Soundness (%) | 4.0 |
| Moisture content (%) | 0.4 |
| Water absorption (%) | 0.5 |
| Apparent specific gravity | 2.736 |
| LA abrasion loss (%) | 16.7 |
| Properties | Test Results | ||
|---|---|---|---|
| Limestone Mineral Filler | MSWI Fly Ash | ||
| Apparent specific gravity | 2.719 | 2.284 | |
| Moisture content (%) | 0.4 | 0 | |
| Water absorption (%) | 0.79 | 0.65 | |
| Specific surface area (m2/g) | 1.39 | 6.48 | |
| Percentage passing | 0.6 mm (#30) | 100 | 100 |
| 0.15 mm (#100) | 97.8 | 95.7 | |
| 0.075 mm (#200) | 78.3 | 77.5 | |
| Component | O | Na | Mg | Al | Si | P | S | Cl | K | Ca | Ti | Cr |
| Percentage (%) | 26.254 | 2.029 | 0.569 | 0.56 | 1.752 | 0.163 | 2.569 | 22.265 | 3.397 | 37.888 | 0.168 | 0.022 |
| Component | Mn | Fe | Ni | Cu | Zn | Br | Sr | Cd | Sn | Ba | Pb | |
| Percentage (%) | 0.022 | 0.725 | 0.021 | 0.076 | 1.052 | 0.092 | 0.063 | 0.026 | 0.036 | 0.04 | 0.212 |
| Symbols | F/A Ratios | Fly Ash | Mineral Filler |
|---|---|---|---|
| R0 | 0.6, 0.8, and 1.0 | 0 | 100% |
| R25 | 25% | 75% | |
| R50 | 50% | 50% | |
| R75 | 75% | 25% | |
| R100 | 100% | 0% |
Publisher’s Note: MDPI stays neutral with regard to jurisdictional claims in published maps and institutional affiliations. |
© 2022 by the authors. Licensee MDPI, Basel, Switzerland. This article is an open access article distributed under the terms and conditions of the Creative Commons Attribution (CC BY) license (https://creativecommons.org/licenses/by/4.0/).
Share and Cite
Zhao, X.; Ge, D.; Wang, J.; Wu, D.; Liu, J. The Performance Evaluation of Asphalt Mortar and Asphalt Mixture Containing Municipal Solid Waste Incineration Fly Ash. Materials 2022, 15, 1387. https://doi.org/10.3390/ma15041387
Zhao X, Ge D, Wang J, Wu D, Liu J. The Performance Evaluation of Asphalt Mortar and Asphalt Mixture Containing Municipal Solid Waste Incineration Fly Ash. Materials. 2022; 15(4):1387. https://doi.org/10.3390/ma15041387
Chicago/Turabian StyleZhao, Xiaowen, Dongdong Ge, Jiaqing Wang, Dianwen Wu, and Jun Liu. 2022. "The Performance Evaluation of Asphalt Mortar and Asphalt Mixture Containing Municipal Solid Waste Incineration Fly Ash" Materials 15, no. 4: 1387. https://doi.org/10.3390/ma15041387
APA StyleZhao, X., Ge, D., Wang, J., Wu, D., & Liu, J. (2022). The Performance Evaluation of Asphalt Mortar and Asphalt Mixture Containing Municipal Solid Waste Incineration Fly Ash. Materials, 15(4), 1387. https://doi.org/10.3390/ma15041387

