Effect of Casting Position on Mechanical Performance of Ultra-High Performance Concrete
Abstract
:1. Introduction
2. Materials and Methods
2.1. Raw Materials and Mix Proportion
2.2. Specimen Preparation and Curing
2.3. Test Methods
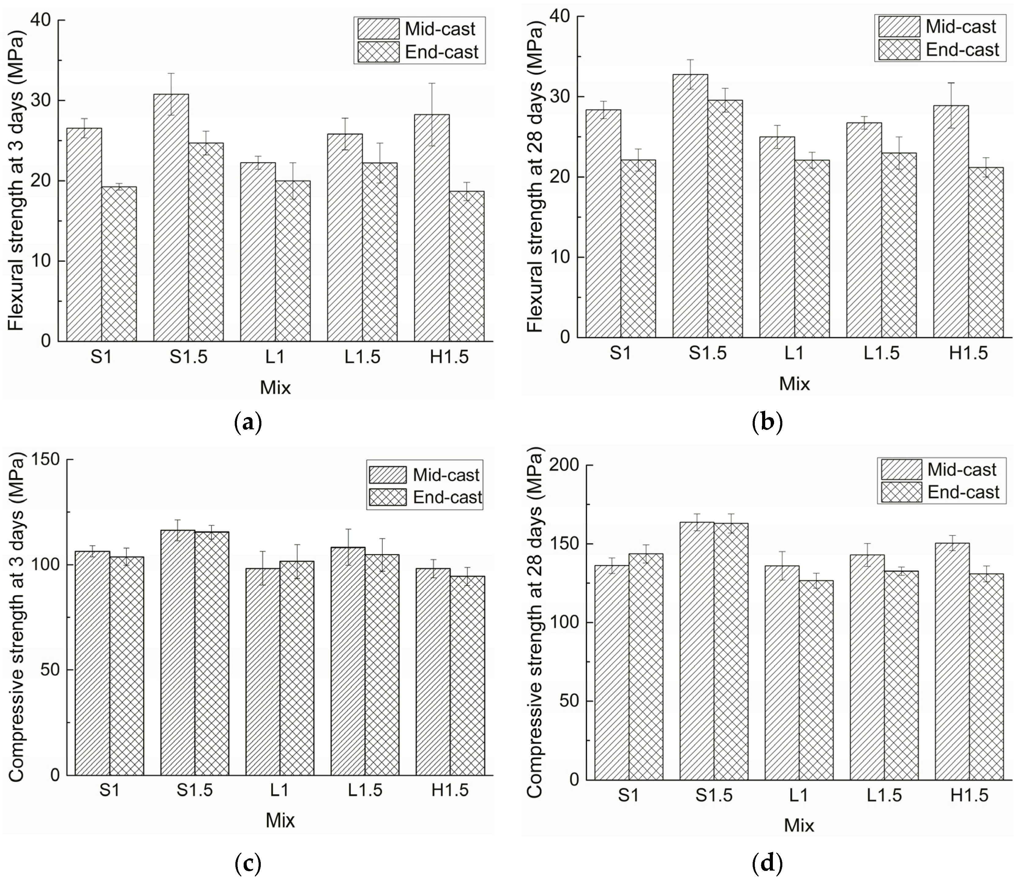
3. Results and Discussion
3.1. Flexural Strength
3.2. Compressive Strength
3.3. Fracture Properties
4. Conclusions
Author Contributions
Funding
Data Availability Statement
Acknowledgments
Conflicts of Interest
References
- Richard, P.; Cheyrezy, M. Composition of reactive powder concretes. Cem. Concr. Res. 1995, 25, 1501–1511. [Google Scholar] [CrossRef]
- Wang, D.; Shi, C.; Wu, Z.; Xiao, J.; Huang, Z.; Fang, Z. A review on ultra high performance concrete: Part II. Hydration, microstructure and properties. Constr. Build. Mater. 2015, 96, 368–377. [Google Scholar] [CrossRef]
- Guerrini, G.L. Applications of High-Performance Fiber-Reinforced Cement-Based Composites. Appl. Compos. Mater. 2000, 7, 195–207. [Google Scholar] [CrossRef]
- Yoo, D.-Y.; Yoon, Y.-S. A Review on Structural Behavior, Design, and Application of Ultra-High-Performance Fiber-Reinforced Concrete. Int. J. Concr. Struct. Mater. 2016, 10, 125–142. [Google Scholar] [CrossRef] [Green Version]
- Wang, J.; Liu, J.; Wang, Z.; Liu, T.; Liu, J.; Zhang, J. Cost-Effective UHPC for accelerated bridge construction: Material properties, structural elements, and structural applications. J. Bridge Eng. 2021, 26, 04020117. [Google Scholar] [CrossRef]
- Semendary, A.A.; Hamid, W.K.; Steinberg, E.P.; Khoury, I. Shear friction performance between high strength concrete (HSC) and ultra high performance concrete (UHPC) for bridge connection applications. Eng. Struct. 2020, 205, 110122. [Google Scholar] [CrossRef]
- Li, J.; Wang, X.; Chen, D.; Wu, D.; Han, Z.; Hou, D.; Zhen, Z.; Peng, C.; Ding, Q.; Yin, B. Design and application of UHPC with high abrasion resistance. Constr. Build. Mater. 2021, 309, 125141. [Google Scholar] [CrossRef]
- Brandt, A.M. Fibre reinforced cement-based (FRC) composites after over 40 years of development in building and civil engineering. Compos. Struct. 2008, 86, 3–9. [Google Scholar] [CrossRef]
- Zhao, S.; Jiang, L.; Chu, H. A preliminary investigation of energy consumption in fracture of ultra-high performance concrete. Constr. Build. Mater. 2020, 237, 117634. [Google Scholar] [CrossRef]
- Yoo, D.Y.; Banthia, N. Mechanical properties of ultra-high-performance fiber-reinforced concrete: A review. Cem. Concr. Compos. 2016, 73, 267–280. [Google Scholar] [CrossRef]
- Mudadu, A.; Tiberti, G.; Germano, F.; Plizzari, G.A.; Morbi, A. The effect of fiber orientation on the post-cracking behavior of steel fiber reinforced concrete under bending and uniaxial tensile tests. Cem. Concr. Compos. 2018, 93, 274–288. [Google Scholar] [CrossRef]
- Abrishambaf, A.; Pimentel, M.; Nunes, S. Influence of fibre orientation on the tensile behaviour of ultra-high performance fibre reinforced cementitious composites. Cem. Concr. Res. 2017, 97, 28–40. [Google Scholar] [CrossRef]
- Kang, S.-T.; Kim, J.-K. Numerical simulation of the variation of fiber orientation distribution during flow molding of ultra high performance cementitious composites (UHPCC). Cem. Concr. Compos. 2012, 34, 208–217. [Google Scholar] [CrossRef]
- Zhou, B.; Uchida, Y. Influence of flowability, casting time and formwork geometry on fiber orientation and mechanical properties of UHPFRC. Cem. Concr. Res. 2017, 95, 164–177. [Google Scholar] [CrossRef]
- Barnett, S.J.; Lataste, J.-F.; Parry, T.; Millard, S.G.; Soutsos, M.N. Assessment of fibre orientation in ultra high performance fibre reinforced concrete and its effect on flexural strength. Mater. Struct. 2010, 43, 1009–1023. [Google Scholar] [CrossRef]
- Zhou, B.; Uchida, Y. Relationship between fiber orientation/distribution and post-cracking flexural strength in ultra-high-performance fiber-reinforced concrete (UHPFRC). Cem. Concr. Compos. 2017, 83, 66–75. [Google Scholar] [CrossRef]
- Choi, M.S.; Kang, S.-T.; Lee, B.Y.; Koh, K.-T.; Ryu, G.-S. Improvement in predicting the post-cracking tensile behavior of ultra-high performance cementitious composites based on fiber orientation distribution. Materials 2016, 9, 829. [Google Scholar] [CrossRef] [Green Version]
- Huang, H.; Gao, X.; Li, L.; Wang, H. Improvement effect of steel fiber orientation control on mechanical performance of UHPC. Constr. Build. Mater. 2018, 188, 709–721. [Google Scholar] [CrossRef]
- Huang, H.; Su, A.; Gao, X.; Yang, Y. Influence of formwork wall effect on fiber orientation of UHPC with two casting methods. Constr. Build. Mater. 2019, 215, 310–320. [Google Scholar] [CrossRef]
- GB 175-2020; Common Portland Cement. Chinese National Standards: Beijing, China, 2020. (In Chinese)
- ISO 679-2009; Cement—Test Methods—Determination of Strength. International Organization for Standardization: London, UK, 2009.
- Rilem TC162-TDF. Test and design methods for steel fibre reinforced concrete: Bending test. Mater. Struct. 2000, 33, 3–5. [Google Scholar] [CrossRef]
- Banthia, N.; Sappakittipakorn, M. Toughness enhancement in steel fiber reinforced concrete through fiber hybridization. Cem. Concr. Res. 2007, 37, 1366–1372. [Google Scholar] [CrossRef]
- Wille, K.; Kim, D.J.; Naaman, A.E. Strain-hardening UHP FRC with low fiber contents. Mater. Struct. 2011, 44, 583–598. [Google Scholar] [CrossRef]
- Wille, K.; El-Tawil, S.; Naaman, A. Properties of strain hardening ultra high performance fiber reinforced concrete (UHP-FRC) under direct tensile loading. Cem. Concr. Compos. 2014, 48, 53–66. [Google Scholar] [CrossRef]








| Property | Cement | Silica Fume |
|---|---|---|
| Specific surface area, m2/kg | 362 | 22,200 |
| Specific gravity | 3.1 | 2.26 |
| SiO2, % | 21.35 | 91.2 |
| Al2O3, % | 4.67 | 2.22 |
| Fe2O3, % | 3.31 | 0.88 |
| CaO, % | 62.6 | 1.2 |
| MgO, % | 3.08 | 1.25 |
| SO3, % | 2.25 | 0.64 |
| Na2O, % | 0.54 | - |
| K2O, % | 0.21 | - |
| LOI, % | 1.45 | 2.14 |
| Type | Diameter (mm) | Length (mm) | Aspect Ratio |
|---|---|---|---|
| Short straight | 0.1 | 8 | 80 |
| Long straight | 0.2 | 13 | 65 |
| Hooked-end | 0.34 | 21 | - |
| Components of Binder (%) | Aggregate-to-Binder Ratio | w/b | Superplasticizer (% Solid by Weight of Binder) | Fiber (% by Volume) | |
|---|---|---|---|---|---|
| Cement | Silica Fume | ||||
| 88 | 12 | 1 | 0.2 | 0.9 | 1, 1.5 |
Publisher’s Note: MDPI stays neutral with regard to jurisdictional claims in published maps and institutional affiliations. |
© 2022 by the authors. Licensee MDPI, Basel, Switzerland. This article is an open access article distributed under the terms and conditions of the Creative Commons Attribution (CC BY) license (https://creativecommons.org/licenses/by/4.0/).
Share and Cite
Zhao, S.; Bo, Y. Effect of Casting Position on Mechanical Performance of Ultra-High Performance Concrete. Materials 2022, 15, 404. https://doi.org/10.3390/ma15020404
Zhao S, Bo Y. Effect of Casting Position on Mechanical Performance of Ultra-High Performance Concrete. Materials. 2022; 15(2):404. https://doi.org/10.3390/ma15020404
Chicago/Turabian StyleZhao, Sujing, and Yiheng Bo. 2022. "Effect of Casting Position on Mechanical Performance of Ultra-High Performance Concrete" Materials 15, no. 2: 404. https://doi.org/10.3390/ma15020404
APA StyleZhao, S., & Bo, Y. (2022). Effect of Casting Position on Mechanical Performance of Ultra-High Performance Concrete. Materials, 15(2), 404. https://doi.org/10.3390/ma15020404
