Tunable Compact Metamaterial-Based Double-Negative/Near-Zero Index Resonator for 6G Terahertz Wireless Applications
Abstract
:1. Introduction
2. Metamaterial (MTM) Unit Cell Design and Simulation
3. Evolution Steps of the Proposed MTM Unit Cell
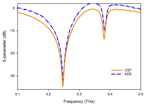
4. Equivalent Circuit Modeling and Simulation

5. Frequency Tuning of Proposed MTM
Effect of Port Relocation on Tunning Property
6. Result, Analysis, and Discussion
6.1. Electric Field, Magnetic Field, and Surface Current Analysis
6.2. Analysis of Effective Parameters
Analysis of Effective Parameters on the Y-Axis
6.3. Analysis of the Array Structure
7. Conclusions
Author Contributions
Funding
Institutional Review Board Statement
Informed Consent Statement
Data Availability Statement
Conflicts of Interest
References
- Mumtaz, S.; Jornet, J.M.; Aulin, J.; Gerstacker, W.H.; Dong, X.; Ai, B. Terahertz communication for vehicular networks. IEEE Trans. Veh. Technol. 2017, 66, 5617–5625. [Google Scholar]
- Bhat, Z.A.; Mushtaq, H.; Mantoo, J.A.; Yadav, V.S.; Shrivastava, A.K.; Swati, S. Beyond 5G: Reinventing Network Architecture With 6G. In Proceedings of the 2021 2nd International Conference on Intelligent Engineering and Management (ICIEM), London, UK, 28–30 April 2021; pp. 316–321. [Google Scholar]
- Letaief, K.B.; Chen, W.; Shi, Y.; Zhang, J.; Zhang, Y.-J.A. The roadmap to 6G: AI empowered wireless networks. IEEE Commun. Mag. 2019, 57, 84–90. [Google Scholar] [CrossRef]
- Alsharif, M.H.; Kelechi, A.H.; Albreem, M.A.; Chaudhry, S.A.; Zia, M.S.; Kim, S. Sixth generation (6G) wireless networks: Vision, research activities, challenges and potential solutions. Symmetry 2020, 12, 676. [Google Scholar] [CrossRef]
- Dong, Y.; Itoh, T. Metamaterial-based antennas. Proc. IEEE 2012, 100, 2271–2285. [Google Scholar] [CrossRef]
- Ojo, R.; Jamlos, M.F.; Soh, P.J.; Jamlos, M.A.; Bahari, N.; Lee, Y.S.; Al-Bawri, S.S.; Abdul Karim, M.S.; Khairi, K.A. A triangular MIMO array antenna with a double negative metamaterial superstrate to enhance bandwidth and gain. Int. J. RF Microw. Comput. Eng. 2020, 30, e22320. [Google Scholar] [CrossRef]
- Cheng, K.; Hu, Z.; Wang, Y.; Ma, J.; Wang, J. High-performance terahertz vortex beam generator based on square-split-ring metasurfaces. Opt. Lett. 2020, 45, 6054–6057. [Google Scholar] [CrossRef]
- Pendry, J.B.; Holden, A.J.; Robbins, D.J.; Stewart, W. Magnetism from conductors and enhanced nonlinear phenomena. IEEE Trans. Microw. Theory Tech. 1999, 47, 2075–2084. [Google Scholar] [CrossRef]
- Abdullah, S.; Xiao, G.; Amaya, R.E. A review on the history and current literature of metamaterials and its applications to antennas & radio frequency identification (RFID) devices. IEEE J. Radio Freq. Identif. 2021, 5, 427–445. [Google Scholar]
- Holloway, C.L.; Kuester, E.F.; Gordon, J.A.; O’Hara, J.; Booth, J.; Smith, D.R. An overview of the theory and applications of metasurfaces: The two-dimensional equivalents of metamaterials. IEEE Antennas Propag. Mag. 2012, 54, 10–35. [Google Scholar] [CrossRef]
- Al-Bawri, S.S.; Islam, M.T.; Hossain, K.; Sabapathy, T.; Jusoh, M. Left-Handed Characteristics Tunable C-Shaped Varactor Loaded Textile Metamaterial for Microwave Applications. Comput. Mater. Contin. 2022, 71, 611–628. [Google Scholar]
- Moniruzzaman, M.; Islam, M.T.; Samsuzzaman, M.; Sahar, N.M.; Al-Bawri, S.S.; Almalki, S.H.; Alsaif, H.; Islam, M. Gap coupled symmetric split ring resonator based near zero index ENG metamaterial for gain improvement of monopole antenna. Sci. Rep. 2022, 12, 7406. [Google Scholar] [CrossRef]
- Hossain, K.; Sabapathy, T.; Jusoh, M.; Soh, P.J.; Jamaluddin, M.H.; Al-Bawri, S.S.; Osman, M.N.; Ahmad, R.B.; Rahim, H.A.; Mohd Yasin, M.N. Electrically tunable left-handed textile metamaterial for microwave applications. Materials 2021, 14, 1274. [Google Scholar] [CrossRef] [PubMed]
- Chen, Y.; Liu, Z.; Li, Y.; Hu, Z.; Wu, J.; Wang, J. Adjustable converter of bound state in the continuum basing on metal-graphene hybrid metasurfaces. Opt. Express 2022, 30, 23828–23839. [Google Scholar] [CrossRef]
- Sihvola, A. Metamaterials in Electromagnetics. Metamaterials 2007, 1, 2–11. [Google Scholar] [CrossRef]
- Sansa, I.; Nasri, A.; Zairi, H. A miniaturized metamaterial unit cell for 5G applications. In Proceedings of the 2019 IEEE 19th Mediterranean Microwave Symposium (MMS), Hammamet, Tunisia, 31 October–2 November 2019; pp. 1–4. [Google Scholar]
- Hossain, K.; Sabapathy, T.; Jusoh, M.; Abdelghany, M.A.; Soh, P.J.; Osman, M.N.; Yasin, M.N.M.; Rahim, H.A.; Al-Bawri, S.S. A negative index nonagonal CSRR metamaterial-based compact flexible planar monopole antenna for ultrawideband applications using viscose-wool felt. Polymers 2021, 13, 2819. [Google Scholar] [CrossRef]
- Engheta, N.; Ziolkowski, R.W. Metamaterials: Physics and Engineering Explorations; John Wiley & Sons: Hoboken, NJ, USA, 2006. [Google Scholar]
- Hossain, T.M.; Jamlos, M.F.; Jamlos, M.A.; Dzaharudin, F.; Ismail, M.Y.; Al-Bawri, S.S.; Sugumaran, S.; Salimi, M.N.A. Bandwidth enhancement of five-port reflectometer-based ENG DSRR metamaterial for microwave imaging application. Sens. Actuators A Phys. 2020, 303, 111638. [Google Scholar] [CrossRef]
- Li, B.; He, L.; Yin, Y.; Guo, W.; Sun, X. An isotropy dual-band terahertz metamaterial. Microw. Opt. Technol. Lett. 2013, 55, 988–990. [Google Scholar] [CrossRef]
- Luo, Y.; Zeng, Q.; Yan, X.; Jiang, T.; Yang, R.; Wang, J.; Wu, Y.; Lu, Q.; Zhang, X. A graphene-based tunable negative refractive index metamaterial and its application in dynamic beam-tilting terahertz antenna. Microw. Opt. Technol. Lett. 2019, 61, 2766–2772. [Google Scholar] [CrossRef]
- Devapriya, A.T.; Robinson, S. Investigation on metamaterial antenna for terahertz applications. J. Microw. Optoelectron. Electromagn. Appl. 2019, 18, 377–389. [Google Scholar] [CrossRef]
- Hussain, N.; Park, I. Design of a wide-gain-bandwidth metasurface antenna at terahertz frequency. AIP Adv. 2017, 7, 055313. [Google Scholar] [CrossRef]
- Sirmaci, Y.D.; Akin, C.K.; Sabah, C. Fishnet based metamaterial loaded THz patch antenna. Opt. Quantum Electron. 2016, 48, 168. [Google Scholar] [CrossRef]
- Gay-Balmaz, P.; Martin, O.J. Electromagnetic resonances in individual and coupled split-ring resonators. J. Appl. Phys. 2002, 92, 2929–2936. [Google Scholar] [CrossRef]
- Yves, S.; Berthelot, T.; Fink, M.; Lerosey, G.; Lemoult, F. Left-handed band in an electromagnetic metamaterial induced by sub-wavelength multiple scattering. Appl. Phys. Lett. 2019, 114, 111101. [Google Scholar] [CrossRef]
- Moniruzzaman, M.; Islam, M.T.; Islam, M.R.; Misran, N.; Samsuzzaman, M. Coupled ring split ring resonator (CR-SRR) based epsilon negative metamaterial for multiband wireless communications with high effective medium ratio. Results Phys. 2020, 18, 103248. [Google Scholar] [CrossRef]
- Chen, X.; Grzegorczyk, T.M.; Wu, B.-I.; Pacheco, J., Jr.; Kong, J.A. Robust method to retrieve the constitutive effective parameters of metamaterials. Phys. Rev. E 2004, 70, 016608. [Google Scholar] [CrossRef]
- Rahman, M.M.; Islam, M.S.; Islam, M.T.; Al-Bawri, S.S.; Yong, W.H. Metamaterial-Based Compact Antenna with Defected Ground Structure for 5G and Beyond. Comput. Mater. Contin. 2022, 72, 2383–2399. [Google Scholar]
- Tan, T.C.; Plum, E.; Singh, R. Lattice-enhanced fano resonances from bound states in the continuum metasurfaces. Adv. Opt. Mater. 2020, 8, 1901572. [Google Scholar] [CrossRef]
- Liu, N.; Giessen, H. Coupling effects in optical metamaterials. Angew. Chem. Int. Ed. 2010, 49, 9838–9852. [Google Scholar] [CrossRef]
- Shelby, R.A.; Smith, D.R.; Schultz, S. Experimental verification of a negative index of refraction. Science 2001, 292, 77–79. [Google Scholar] [CrossRef]
- Xiong, X.; Wang, Z.-W.; Fu, S.-J.; Wang, M.; Peng, R.-W.; Hao, X.-P.; Sun, C. Realization of negative refractive index with double-layered H-shaped resonator array. Appl. Phys. Lett. 2011, 99, 181905. [Google Scholar] [CrossRef]
- Zhang, S.; Park, Y.-S.; Li, J.; Lu, X.; Zhang, W.; Zhang, X. Negative refractive index in chiral metamaterials. Phys. Rev. Lett. 2009, 102, 023901. [Google Scholar] [CrossRef] [PubMed]
- Efazat, S.S.; Basiri, R.; Jam, S. Optimization based design of a wideband near zero refractive index metasurface for gain improvement of planar antennas in the terahertz band. Opt. Quantum Electron. 2020, 52, 520. [Google Scholar] [CrossRef]
- Labidi, M.; Choubani, F. Performances enhancement of metamaterial loop antenna for terahertz applications. Opt. Mater. 2018, 82, 116–122. [Google Scholar] [CrossRef]


















| Parameter | Dimensions (μm) | Parameter | Dimensions (μm) |
|---|---|---|---|
| L | 160 | W1 | 4 |
| L1 | 150 | W2 | 10 |
| L2 | 140 | R1 | 57 |
| L3 | 96 | R2 | 50 |
| L4 | 56 | Ts | 50 |
| Ls | 52 | TM | 0.4 |
| Substructure | Resonance Frequency (THz) | Bandwidth (THz) | Resonance Peak (dB) |
|---|---|---|---|
| Design 1 | 0.157 | 0.144–0.168 | −29.33 |
| Design 2 | 0.194, 0.373 | 0.169–0.214, 0.367–0.379 | −34.12, −17.54 |
| Design 3 | 0.203, 0.375 | 0.176–0.223, 0.368–0.382 | −34.31, −18.23 |
| Proposed unit cell | 0.248, 0.383 | 0.207–0.277, 0.380–0.385 | −35.72, −12.77 |
| Ls (µm) | Frequency (THz) | Bandwidth (THz) | Ls (µm) | Frequency (THz) | Bandwidth (THz) |
|---|---|---|---|---|---|
| 138 | 0.298 | 0.260–0.327 | 52 | 0.248, 0.383 | (0.207–0.277), (0.382–0.390) |
| 110 | 0.319, 0.145 | (0.281–0.344), (0.138–0.150) | 30 | 0.192, 0.362 | (0.170–0.207), (0.348–0.373) |
| 88 | 0.239, 0.360 | (0.203–0.262), (0.352–0.370) | 25.5 | 0.201, 0.374 | (0.175–0.220), (0.365–0.380) |
| Ls (µm) | Frequency (THz) | Resonance Peak (dB) | Bandwidth (THz) |
|---|---|---|---|
| 138 | 0.309 | −23.70 | (0.263–0.317) |
| 110 | 0.119, 0.324 | −27.107, −21.252 | (0.109–0.126), (0.265–0.329) |
| 88 | 0.222, 0.331 | −31.11, −16.42 | (0.172–0.240), (0.315–0.334) |
| 52 | 0.240 | −32.64 | (0.176–0.262) |
| 30 | 0.172, 0.334 | −32.38, −13.62 | (0.141–0.190), (0.237–0.337) |
| 25.5 | 0.182, 0.336 | −33.91, −11.23 | (0.145–0.205), (0.333–0.338) |
| Ref. | Size (µm2) | Fre. (THz) | BW (THz) | Substrate | Metallic Layer | No. of Axes | ENG (THz) | Near-Zero Mu | DNG (THz) | Tunable |
|---|---|---|---|---|---|---|---|---|---|---|
| [20] | 90 × 90 | 0.330, 0.650 | (0.298–0.388) (0.652–0.780) | GaAs | Titanium, platinum and gold | 1 | 0.298–0.388 and 0.652–0.780 | - | no | no |
| [23] | 200 × 200 | 0.37 | 0.340–0.400 | GaAs | - | 1 | no | - | no | no |
| [24] | 180 × 212 | 1.08 | (1.053–1.140) | Quartz | Silver | 1 | - | - | 1.04–1.09 | no |
| [35] | 55 × 55 | 0.90 | (0.800–1.800) | SiO2 | - | 1 | no | - | no | no |
| [36] | 64 × 64 | 0.6, 1.1 | - | RT5880 | Gold | 1 | - | - | yes | no |
| This work | 160 × 160 | 0.25, 0.386 | (0.210–0.28), (0.382–0.390) | Polyimide | Copper | 2 | 0.25–0.33 and 0.39–0.41 | 0.1–0.5 | 0.25–0.32 and 0.391–0.396 | yes |
Publisher’s Note: MDPI stays neutral with regard to jurisdictional claims in published maps and institutional affiliations. |
© 2022 by the authors. Licensee MDPI, Basel, Switzerland. This article is an open access article distributed under the terms and conditions of the Creative Commons Attribution (CC BY) license (https://creativecommons.org/licenses/by/4.0/).
Share and Cite
Musaed, A.A.; Al-Bawri, S.S.; Islam, M.T.; Al-Gburi, A.J.A.; Singh, M.J. Tunable Compact Metamaterial-Based Double-Negative/Near-Zero Index Resonator for 6G Terahertz Wireless Applications. Materials 2022, 15, 5608. https://doi.org/10.3390/ma15165608
Musaed AA, Al-Bawri SS, Islam MT, Al-Gburi AJA, Singh MJ. Tunable Compact Metamaterial-Based Double-Negative/Near-Zero Index Resonator for 6G Terahertz Wireless Applications. Materials. 2022; 15(16):5608. https://doi.org/10.3390/ma15165608
Chicago/Turabian StyleMusaed, Alya Ali, Samir Salem Al-Bawri, Mohammad Tariqul Islam, Ahmed Jamal Abdullah Al-Gburi, and Mandeep Jit Singh. 2022. "Tunable Compact Metamaterial-Based Double-Negative/Near-Zero Index Resonator for 6G Terahertz Wireless Applications" Materials 15, no. 16: 5608. https://doi.org/10.3390/ma15165608
APA StyleMusaed, A. A., Al-Bawri, S. S., Islam, M. T., Al-Gburi, A. J. A., & Singh, M. J. (2022). Tunable Compact Metamaterial-Based Double-Negative/Near-Zero Index Resonator for 6G Terahertz Wireless Applications. Materials, 15(16), 5608. https://doi.org/10.3390/ma15165608

