Cu and As(V) Adsorption and Desorption on/from Different Soils and Bio-Adsorbents
Abstract
:1. Introduction
2. Materials and Methods
2.1. Soils and By-Products
2.2. Adsorption and Desorption Experiments
2.3. Data Analysis and Statistical Treatment
3. Results
3.1. Cu and As(V) Adsorption onto Soils
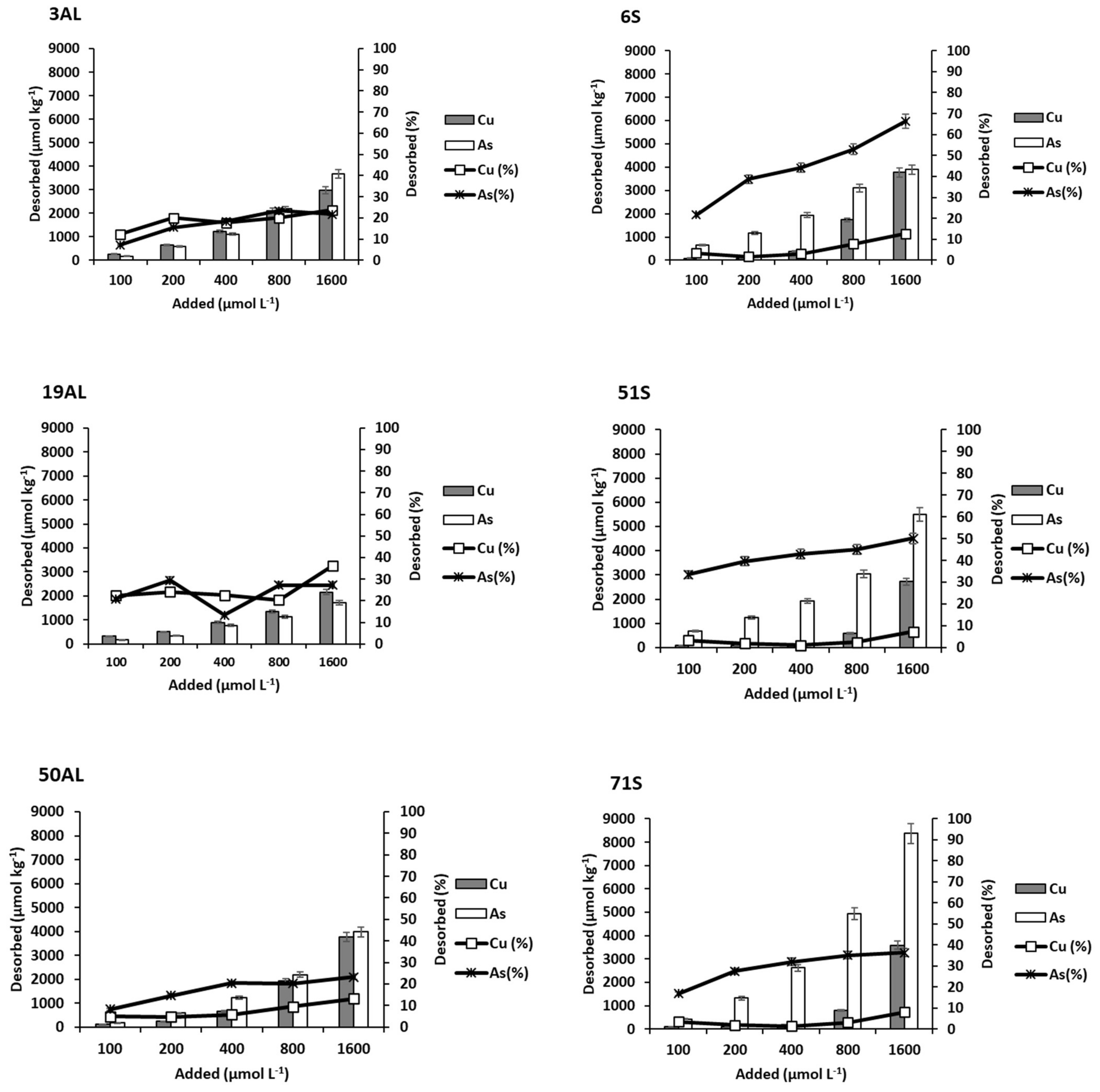
3.2. Cu and As(V) Desorption from Soils
3.3. Cu and As(V) Adsorption onto the Three By-Products
3.4. Cu and As(V) Desorption from the Three By-Products
3.5. Fitting of Cu and As(V) Experimental Data to Different Adsorption Models
4. Discussion
4.1. Cu and As(V) Adsorption onto Soils
4.2. Cu and As(V) Desorption from Soils
4.3. Cu and As(V) Adsorption onto the Three By-Products
4.4. Cu and As(V) Desorption from the Three By-Products
4.5. Fitting of Cu and As(V) Experimental Data to Different Adsorption Models
5. Conclusions
Supplementary Materials
Author Contributions
Funding
Institutional Review Board Statement
Informed Consent Statement
Data Availability Statement
Conflicts of Interest
References
- Coelho, G.F.; GonÇalves, A.C.; Nóvoa-Muñoz, J.C.; Fernández-Calviño, D.; Arias-Estévez, M.; Fernández-Sanjurjo, M.J.; Álvarez-Rodríguez, E.; Núñez-Delgado, A. Competitive and non-competitive cadmium, copper and lead sorption/desorption on wheat straw af-fecting sustainability in vineyards. J. Clean. Prod. 2016, 139, 1496–1503. [Google Scholar] [CrossRef]
- Qin, F.; Shan, X.; Wei, B. Effects of low-molecular-weight organic acids and resi-dence time on desorption of Cu, Cd, and Pb from soils. Chemosphere 2004, 57, 253–263. [Google Scholar] [CrossRef] [PubMed]
- Keshavarzi, A.; Kumar, V. Spatial distribution and potential ecological risk assess-ment of heavy metals in agricultural soils of Northeastern Iran. Geol. Ecol. Landsc. 2019, 4, 87–103. [Google Scholar] [CrossRef] [Green Version]
- Baltas, H.; Sirin, M.; Gokbayrak, E.; Ozcelik, A.E. A case study on pollution and a human health risk assessment of heavy metals in agricultural soils around Sinop province, Turkey. Chemosphere 2020, 241, 125015–125025. [Google Scholar] [CrossRef]
- Komárek, M.; Vaněk, A.; Ettler, V. Chemical stabilization of metals and arsenic in contaminated soils using oxides—A review. Environ. Pollut. 2013, 172, 9–22. [Google Scholar] [CrossRef]
- Delgadillo-López, A.E.; González-Ramírez, C.A.; Prieto-García, F.; Villagómez-Ibarra, J.R.; Acevedo-Sandoval, O. Fitorremediación: Una alternativa para eliminar la contaminación. Trop. Subtrop. Agroecosyst. 2011, 14, 597–612. [Google Scholar]
- Zaynab, M.; Al-Yahyai, R.; Ameen, A.; Sharif, Y.; Ali, L.; Fatina, M.; Khan, K.A.; Li, S. Health and environmental effects of Heavy metals. J. King Saud Univ. Sci. 2022, 34, 101653–101661. [Google Scholar] [CrossRef]
- Doušová, B.; Grygar, T.; Martaus, A.; Fuitová, L.; Koloušek, D.; Machovič, V. Sorption of AsV on aluminosilicates treated with FeII nanoparticles. J. Colloid Interface Sci. 2006, 302, 424–431. [Google Scholar] [CrossRef]
- Podgorski, J.; Berg, M. Global threat of arsenic in groundwater. Science 2020, 368, 845–850. [Google Scholar] [CrossRef]
- Smedley, P.L.; Kinninburgh, D.G. A review of the source, behaviour and distribution of arsenic in natural waters. Appl. Geochem. 2002, 17, 517–568. [Google Scholar] [CrossRef] [Green Version]
- Sharma, A.K.; Tjell, J.C.; Sloth, J.J.; Holm, P.E. Review of arsenic contamination, exposure through water and food and low cost mitigation options for rural areas. Appl. Geochem. 2014, 41, 11–33. [Google Scholar] [CrossRef]
- Martín-Peinado, F.J.; Romero Freire, A.; Arco Lázaro, E.; Sierra Aragón, M.; Ortiz-Bernad, I.; Abbaslou, H. Assessment of arsenic toxicity in spiked soils and water solutions by the use of bioassays. Span. J. Soil Sci. 2012, 2, 45–56. [Google Scholar] [CrossRef]
- Abdul, K.S.M.; Jayasinghe, S.S.; Chandana, E.P.S.; Jayasumana, C.; De Silva, P.M.C.S. Arsenic and human health effects: A review. Environ. Toxicol. Pharmacol. 2015, 40, 828–846. [Google Scholar] [CrossRef]
- Bhowmick, S.; Pramanik, S.; Singh, P.; Mondal, P.; Chatterjee, D.; Nriagu, J. Arsenic in groundwater of West Bengal, India: A review of human health risks and assessment of possible intervention options. Sci. Total Environ. 2018, 612, 148–169. [Google Scholar] [CrossRef]
- Majumder, S.; Banik, P. Geographical variation of arsenic distribution in paddy soil, rice and rice-based products: A meta-analytic approach and implications to human health. J. Environ. Manag. 2019, 233, 184–199. [Google Scholar] [CrossRef]
- Fatoki, J.O.; Badmus, J.A. Arsenic as an environmental and human health antagonist: A review of its toxicity and disease initiation. J. Hazard. Mater. Adv. 2022, 5, 100052–100063. [Google Scholar] [CrossRef]
- Gómez-Armesto, A.; Carballeira-Díaz, J.; Pérez-Rodríguez, P.; Fernández-Calviño, D.; Arias-Estévez, M.; Nóvoa-Muñoz, J.C.; Álvarez-Rodriguez, E.; Fernández-Sanjurjo, M.J.; Núñez-Delgado, A. Copper content and distribution in vineyard soils from Betanzos (A Coruña, Spain). Span. J. Soil Sci. 2015, 5, 60–71. [Google Scholar] [CrossRef]
- Okereafor, U.; Makhatha, M.; Mekuto, L.; Uche-Okereafor, N.; Sebola, T.; Mavumengwana, V. Toxic Metal Implications on Agricultural Soils, Plants, Animals, Aquatic life and Human Health. Int. J. Environ. Res. Public Health 2020, 17, 2204. [Google Scholar] [CrossRef] [Green Version]
- Díaz-Raviña, M.; Calvo de Anta, R.; Bååth, E. Tolerance (PICT) of the bacterial communities to copper in vineyard soils from Spain. J. Environ. Qual. 2007, 36, 1760–1764. [Google Scholar] [CrossRef]
- Fernández-Calviño, D.; Soler-Rovira, P.; Polo, A.; Díaz-Raviña, M.; Arias-Estévez, M.; Plaza, C. Enzyme activities in vineyard soils long-term treated with copper based fungicides. Soil Biol. Biochem. 2010, 42, 2119–2127. [Google Scholar] [CrossRef]
- Fernández-Calviño, D.; Martín, A.; Arias-Estévez, M.; Bååth, E.; Díaz-Raviña, M. Microbial community structure of vineyards soils with different pH and copper content. Appl. Soil Ecol. 2010, 46, 276–282. [Google Scholar] [CrossRef]
- Kumar, A.; Tripti; Maleva, M.; Kiseleva, I.; Maiti, S.K.; Morozova, M. Toxic metal(loid)s contamination and potential human health risk assessment in the vicinity of century-old copper smelter, Karabash, Russia. Environ. Geochem. Health 2020, 42, 4113–4124. [Google Scholar] [CrossRef]
- Daoust, C.M.; Bastien, C.; Deschênes, L. Influence of soil properties and aging on the toxicity of copper on compost worm and barley. J. Environ. Qual. 2006, 35, 558–567. [Google Scholar] [CrossRef] [PubMed]
- Stern, B.R. Essentiality and Toxicity in Copper Health Risk Assessment: Overview, Update and Regulatory Considerations. J. Toxicol. Environ. Health—Part A 2010, 73, 114–127. [Google Scholar] [CrossRef] [PubMed]
- Taylor, A.A.; Tsuji, J.S.; Garry, M.R.; McArdle, M.E.; Goodfellow, W.L., Jr.; Adams, W.J.; Menzie, C.A. Critical Review of Exposure and Effects: Implications for Setting Regulatory Health Criteria for Ingested Copper. Environ. Manag. 2020, 65, 131–159. [Google Scholar] [CrossRef] [PubMed] [Green Version]
- Boudebbouz, A.; Boudalia, S.; Bousbia, A.; Habila, S.; Boussadia, M.I.; Gueroui, Y. Heavy metals levels in raw cow milk and health risk assessment across the globe: A systematic review. Sci. Total Environ. 2021, 751, 141830–141845. [Google Scholar] [CrossRef] [PubMed]
- Pereira-Covre, W.; Ramos, S.J.; Pereira, W.V.S.; Souza, E.S.; Martins, G.C.; Teixeira, O.M.M.; Amarante, C.B.; Nunes-Dias, Y.; Rodrigues-Fernandes, A. Impact of copper mining wastes in the Amazon: Properties and risks to environment and human health. J. Hazard. Mater. 2022, 421, 126688–126701. [Google Scholar] [CrossRef] [PubMed]
- Bigalke, M.; Weyer, S.; Wilcke, W. Copper isotope fractionation during complexation with insolubilized humic acid. Environ. Sci. Technol. 2010, 44, 5496–5502. [Google Scholar] [CrossRef]
- Caporale, A.G.; Violante, A. Chemical Processes Affecting the Mobility of Heavy Metals and Metalloids in Soil Environments. Curr. Pollut. Rep. 2016, 2, 15–27. [Google Scholar] [CrossRef] [Green Version]
- Kumar, M.; Seth, A.; Singh, A.K.; Rajput, M.S.; Sikandar, M. Remediation strategies for heavy metals contaminated ecosystem: A review. Environ. Sustain. Indic. 2021, 12, 100155–100168. [Google Scholar] [CrossRef]
- Cutillas-Barreiro, L.; Ansias-Manso, L.; Fernández-Calviño, D.; Arias-Estévez, M.; Nóvoa-Muñoz, J.C.; Fernández-Sanjurjo, M.J.; Álvarez-Rodríguez, E.; Núñez-Delgado, A. Pine Bark as bio-adsorbent for Cd, Cu, Ni, Pb and Zn: Batch-type and stirred flow chamber experiments. J. Environ. Manag. 2014, 114, 258–264. [Google Scholar] [CrossRef]
- Rivas-Pérez, I.M.; Paradelo-Núñez, R.; Nóvoa-Muñoz, J.C.; Arias-Estévez, M.; Fernández-Sanjurjo, M.J.; Álvarez-Rodríguez, E.; Núñez-Delgado, A. As(V) and P Competitive Sorption on Soils, By-Products and Waste Materials. Int. J. Environ. Res. Public Health 2015, 12, 15706–15715. [Google Scholar] [CrossRef] [Green Version]
- Seco-Reigosa, N.; Bermúdez-Couso, A.; Garrido-Rodríguez, B.; Arias-Estévez, M.; Fernández-Sanjurjo, M.J.; Álvarez-Rodríguez, E.; Núñez-Delgado, A. As(V) retention on soils and forest by-products and other waste materials. Environ. Sci. Pollut. Res. 2013, 20, 6574–6583. [Google Scholar] [CrossRef]
- Rajfur, M.; Kłos, A.; Wacławek, M. Sorption of copper(II) ions in the biomass of alga Spirogyra sp. Bioelectrochemistry 2012, 87, 65–70. [Google Scholar] [CrossRef]
- Xu, L.; Cui, H.; Zheng, X.; Liang, J.; Xing, X.; Yao, L.; Chen, Z.; Zhou, J. Adsorption of Cu2+ to biomass ash and its modified product. Water Sci. Technol. 2017, 1, 115–125. [Google Scholar] [CrossRef]
- Conde-Cid, M.; Álvarez-Esmorís, C.; Paradelo-Núñez, R.; Nóvoa-Muñoz, J.C.; Arias-Estévez, M.; Álvarez-Rodríguez, E.; Fernández-Sanjurjo, M.J.; Núñez-Delgado, A. Occurrence of tetracyclines and sulfonamides in manures, agricultural soils and crops from different areas in Galicia (NW Spain). J. Clean. Prod. 2018, 197, 491–500. [Google Scholar] [CrossRef]
- Conde-Cid, M.; Fernández-Calviño, D.; Nóvoa-Muñoz, J.C.; Núñez-Delgado, A.; Fernández-Sanjurjo, M.J.; Arias-Estévez, M.; Álvarez-Rodríguez, E. Experimental data and model prediction of tetracycline adsorption and desorption in agricultural soils. Environ. Res. 2019, 177, 108607–108620. [Google Scholar] [CrossRef]
- Olsen, S.R.; Sommers, L.E. Phosphorus. Methods of soil analysis, Part 2. In Chemical and Microbiological Properties; Page, A.L., Miller, R.H., Keeney, D.R., Eds.; EEUU: Madison, WI, USA, 1982. [Google Scholar]
- Peech, L.; Alexander, L.T.; Dean, L.A. Methods of Soil Analysis for Soil-Fertility Investigations; Cir. Nº 757; USDA: Washington, DC, USA, 1947. [Google Scholar]
- Álvarez-Esmorís, C.; Conde-Cid, M.; Fernández-Sanjurjo, M.J.; Núñez-Delgado, A.; Álvarez-Rodríguez, E.; Arias-Estévez, M. Environmental relevance of adsorption of doxycycline, enrofloxacin, and sulfamethoxypyridazine before and after the removal of organic matter from soils. J. Environ. Manag. 2021, 287, 112354–112364. [Google Scholar] [CrossRef]
- Baty, F.; Ritz, C.; Charles, S.; Brutsche, M.; Flandrois, J.-P.; Delignette-Muller, M.-L. Toolbox for Nonlinear Regression in R: The Package nlstools. J. Stat. Softw. 2015, 66, 1–21. [Google Scholar] [CrossRef] [Green Version]
- Shaheen, S.M.; Shams, M.S.; Khalifa, M.R.; El-Daly, M.A.; Rinklebe, J. Various soil amendments and wastes affect the (im)mobilization and phytoavailability of potentially toxic elements in a sewage effluent irrigated sandy soil. Ecotoxicol. Environ. Saf. 2017, 142, 375–387. [Google Scholar] [CrossRef]
- Tunali, S.; Ahmet, Ç.; Tamer, A. Removal of lead and copper ions from aqueous solutions by bacterial strain isolated from soil. Chem. Eng. J. 2006, 115, 203–211. [Google Scholar] [CrossRef]
- Patra, A.S.; Ghorai, S.; Sarkar, D.; Das, R.; Sarkar, S.; Pal, S. Anionically functionalized guar gum embedded with silica nanoparticles: An efficient nanocomposite adsorbent for rapid adsorptive removal of toxic cationic dyes and metal ions. Bioresour. Technol. 2017, 225, 367–376. [Google Scholar] [CrossRef] [PubMed]
- Agbenin, J.O.; Olojo, L.A. Competitive adsorption of copper and zinc by a Bt horizon of a savanna Alfisol as affected by pH and selective removal of hydrous oxides and organic matter. Geoderma 2004, 119, 85–95. [Google Scholar] [CrossRef]
- Palleiro, L.; Patinha, C.; Rodríguez-Blanco, M.L.; Tableda-Castro, M.M.; Tableda-Castro, M.T. Metal fractionation in topsoils and bed sediments in the Mero River rural basin: Bioavailability and relationship with soil and sediment properties. Catena 2016, 144, 34–44. [Google Scholar] [CrossRef]
- Stanić, T.; Daković, A.; Živanović, A.; Tomašević-Čanović, M.; Dondur, V.; Milićević, S. Adsorption of arsenic (V) by iron (III)-modified natural zeolitic tuff. Environ. Chem. Lett. 2009, 7, 161–166. [Google Scholar] [CrossRef]
- Mamindy-Pajany, Y.; Hurel, C.; Marmier, N.; Roméo, M. Arsenic (V) adsorption from aqueous solution onto goethite, hematite, magnetite and zero-valent iron: Effects of pH, concentration and reversibility. Desalination 2011, 281, 93–99. [Google Scholar] [CrossRef]
- Wasay, S.A.; Tokunaga, S.; Park, S. Removal of Hazardous Anions from Aqueous Solutions by La(lll)- and Y(lll)-lmpregnated Alumina. Sep. Sci. Technol. 1996, 31, 1501–1514. [Google Scholar] [CrossRef]
- Dambies, L.; Guibal, E.; Roze, A. Arsenic(V) sorption on molybdate-impregnated chitosan beads. Colloids Surf. A Physicochem. Eng. Asp. 2000, 170, 19–31. [Google Scholar] [CrossRef]
- Yusof, M.S.M.; Othman, M.H.D.; Wahab, R.A.; Jumbri, K.; Razak, F.I.A.; Kurniawan, T.A.; Samh, R.A.; Mustafa, A.; Rahman, M.A.; Jaafar, J.; et al. Arsenic adsorption mechanism on palm oil fuel ash (POFA) powder suspension. J. Hazard. Mater. 2020, 383, 121214–121224. [Google Scholar] [CrossRef]
- Rakhunde, R.; Jasudkar, D.; Deshpande, L.; Juneja, H.D.; Labhasetwar, P. Health effects and significance of arsenic speciation in water. Int. J. Environ. Sci. Res. 2012, 1, 92–96. [Google Scholar]
- Inchaurrondo, N.; Di Luca, C.; Mori, F.; Pintar, A.; Žerjav, G.; Valiente, M.; Palet, C. Synthesis and adsorption behavior of mesoporous alumina and Fe-doped alumina for the removal of dominant arsenic species in contaminated waters. J. Environ. Chem. Eng. 2019, 7, 102901–102915. [Google Scholar] [CrossRef]
- Das, T.K.; Bezbaruah, A.N. Comparative study of arsenic removal by iron-based nanomaterials: Potential candidates for field applications. Sci. Total Environ. 2021, 764, 142914. [Google Scholar] [CrossRef]
- Hiemstra, T.; Van Riemsdijk, W.H. A surface structural approach to ion adsorption: The charge distribution. The charge distribution model. J. Colloid Interface Sci. 1996, 179, 488–508. [Google Scholar] [CrossRef]
- Tabelin, C.B.; Corpuz, R.D.; Igarashi, T.; Villacorte-Tabelin, M.; Alorro, R.D.; Yoo, K.; Raval, S.; Ito, M.; Hiroyoshi, N. Acid mine drainage formation and arsenic mobility under strongly acidic conditions: Importance of soluble phases, iron oxyhydroxides/oxides and nature of oxidation layer on pyrite. J. Hazard. Mater. 2020, 399, 122844–122860. [Google Scholar] [CrossRef]
- Ewbank, J.L.; Kovarik, L.; Kenvin, C.C.; Sievers, C. Effect of preparation methods on the performance of Co/Al2O3 catalysts for dry reforming of methane. Green Chem. 2014, 16, 885–896. [Google Scholar] [CrossRef]
- Yasinta, J.; Victor Emery, D.; Mmereki, D. A Comparative Study on Removal of Hazardous Anions from Water by Adsorption: A Review. Int. J. Chem. Eng. 2018, 2018, 3975948. [Google Scholar] [CrossRef] [Green Version]
- Ören, A.H.; Kaya, A. Factors affecting adsorption characteristics of Zn2+ on two natural zeolites. J. Hazard. Mater. 2006, 131, 59–65. [Google Scholar] [CrossRef]
- Korchagin, J.; Moterle, D.F.; Escosteguy, P.A.V.; Bortoluzzi, E.C. Distribution of copper and zinc fractions in a Regosol profile under centenary vineyard. Environ. Earth Sci. 2020, 79, 439. [Google Scholar] [CrossRef]
- Liang, M.; Renkou, X.; Jun, J. Adsorption and desorption of Cu(II) and Pb(II) in paddy soils cultivated for various years in the subtropical China. J. Environ. Sci. 2010, 22, 689–695. [Google Scholar] [CrossRef]
- Zhang, J.; Liu, Y.; Sun, Y.; Wang, H.; Cao, X.; Li, X. Effect of soil type on heavy metals removal in bioelectrochemical system. Bioelectrochemistry 2020, 136, 107596–107605. [Google Scholar] [CrossRef]
- Rahman, M.S.; Clark, M.W.; Yee, L.H.; Comarmond, M.J.; Payne, T.E.; Burton, E.D. Effects of pH, competing ions and aging on arsenic(V) sorption and isotopic exchange in contaminated soils. Appl. Geochem. 2019, 105, 114–124. [Google Scholar] [CrossRef]
- Boim, A.G.; Rodrigues, S.M.; dos Santos-Araújo, S.N.; Pereira, E.; Alleoni, L.R. Pedotransfer functions of potentially toxic elements in tropical soils cultivated with vegetable crops. Environ. Sci. Pollut. Res. 2018, 25, 12702–12712. [Google Scholar] [CrossRef]
- Fernández-Calviño, D.; Cutillas-Barreiro, L.; Núñez-Delgado, A.; Fernández-Sanjurjo, M.J.; Álvarez-Rodríguez, E.; Nóvoa-Muñoz, J.C.; Arias-Estévez, M. Cu Immobilization and Lolium perenne Development in an Acid Vineyard Soil Amended with Crushed Mussel Shell. Land Degrad. Dev. 2017, 28, 762–772. [Google Scholar] [CrossRef]
- Farouq, R.; Yousef, N.S. Equilibrium and kinetics studies of adsorption of copper (II) ions on natural biosorbent. Int. J. Chem. Eng. Appl. 2015, 6, 319–324. [Google Scholar] [CrossRef] [Green Version]
- Kosmulski, M. pH-dependent surface charging and points of zero charge. IV. Update and new approach. J. Colloid Interface Sci. 2009, 337, 439–448. [Google Scholar] [CrossRef]
- Šoštarić, T.D.; Petrović, M.S.; Pastor, F.T.; Lončarević, D.R.; Petrović, J.T.; Milojković, J.V.; Milojković, J.V.; Stojanović, M.D. Study of heavy metals biosorption on native and alkali-treated apricot shells and its application in wastewater treatment. J. Mol. Liq. 2018, 259, 340–349. [Google Scholar] [CrossRef] [Green Version]
- Vítková, M.; Komárek, M.; Tejnecký, V.; Šillerová, H. Interactions of nano-oxides with low-molecular-weight organic acids in a contaminated soil. J. Hazard. Mater. 2015, 293, 7–14. [Google Scholar] [CrossRef]
- Boddu, V.M.; Abburi, K.; Talbott, J.L.; Smith, E.D. Removal of hexavalentchromium from waste water using a new composite chitosan biosorbent. Environ. Sci. Technol. 2003, 37, 4449–4456. [Google Scholar] [CrossRef]
- Conde-Cid, M.; Fernández-Sanjurjo, M.J.; Ferreira-Coelho, G.; Fernández-Calviño, D.; Arias-Estevez, M.; Núñez-Delgado, A.; Álvarez-Rodríguez, E. Competitive adsorption and desorption of three tetracycline antibiotics on bio-sorbent materials in binary systems. Environ. Res. 2020, 190, 110003. [Google Scholar] [CrossRef]
- Tsang, D.C.W.; Yip, A.C.K.; Olds, W.E.; Weber, P.A. Arsenic and copper stabilisation in a contaminated soil by coal fly ash and green waste compost. Environ. Sci. Pollut. Res. 2014, 21, 10194–10204. [Google Scholar] [CrossRef]
- Mitchell, K.; Moreno-Jimenez, E.; Jones, R.; Zheng, L.; Trakal, L.; Hough, R.; Beesley, L. Mobility of arsenic, chromium and copper arising from soil application of stabilised aggregates made from contaminated wood ash. J. Hazard. Mater. 2020, 393, 122479. [Google Scholar] [CrossRef] [PubMed]
- Park, J.H.; Eom, J.H.; Lee, S.L.; Hwang, S.W.; Kim, S.H.; Kang, S.W.; Yun, J.J.; Cho, J.S.; Lee, Y.H.; Seo, D.C. Exploration of the potential capacity of fly ash and bottom ash derived from wood pellet-based thermal power plant for heavy metal removal. Sci. Total Environ. 2020, 740, 140205. [Google Scholar] [CrossRef] [PubMed]
- Lucchini, P.; Quilliam, R.; DeLuca, T.; Vamerali, T.; Jones, D.L. Increased bioavailability of metals in two contrasting agricultural soils treated with waste wood-derived biochar and ash. Environ. Sci. Pollut. Res. 2014, 21, 3230–3240. [Google Scholar] [CrossRef] [PubMed]
- Seco-Reigosa, N.; Cutillas-Barreiro, L.; Nóvoa-Muñoz, J.C.; Arias-Estévez, M.; Fernández-Sanjurjo, M.J.; Álvarez-Rodríguez, E.; Núñez-Delgado, A. Mixtures including wastes from the mussel shell processing industry: Retention of arsenic, chromium and mercury. J. Clean. Prod. 2014, 84, 680–690. [Google Scholar] [CrossRef]
- Ramírez-Pérez, A.M.; Paradelo, M.; Nóvoa-Muñoz, J.C.; Arias-Estévez, M.; Fernández-Sanjurjo, M.J.; Álvarez-Rodríguez, E.; Núñez-Delgado, A. Heavy metal retention in copper mine soil treated with mussel shells: Batch and column experiments. J. Hazard. Mat. 2013, 248–249, 122–130. [Google Scholar] [CrossRef] [PubMed]
- Osorio-López, C.; Seco-Reigosa, N.; Garrido-Rodríguez, B.; Cutillas-Barreiro, L.; Arias-Estévez, M.; Fernández-Sanjurjo, M.J.; Álvarez-Rodríguez, E.; Núñez-Delgado, A. As(V) adsorption on forest and vineyard soils and pyritic material with or without mussel shell: Kinetics and fractionation. J. Taiwan Inst. Chem. Eng. 2014, 45, 1007–1014. [Google Scholar] [CrossRef]
- Amery, F.; Degryse, F.; Van Moorleghem, C.; Duyck, M.; Smolders, E. The dissociation kinetics of Cu-dissolved organic matter complexes from soil and soil amendments. Anal. Chim. Acta 2010, 670, 24–32. [Google Scholar] [CrossRef]
- Febrianto, J.; Kosasih, A.N.; Sunarso, J.; Ju, Y.; Indraswati, N.; Ismadji, S. Equilibrium and kinetic studies in adsorption of heavy metals using biosorbent: A summary of recent studies. J. Hazard. Mater. 2009, 162, 616–645. [Google Scholar] [CrossRef]
- Khezami, L.; Capart, R. Removal of chromium(VI) from aqueous solution by activated carbons: Kinetic and equilibrium studies. J. Hazard. Mater. 2005, 123, 223–231. [Google Scholar] [CrossRef]
- Bhaumik, R.; Mondal, N.K.; Das, B.; Roy, P.; Pal, K.C.; Das, C.; Banerjee, A.; Datta, K. Eggshell Powder as an Adsorbent for Removal of Fluoride from Aqueous Solution: Equilibrium, Kinetic and Thermodynamic Studies. E-J. Chem. 2012, 9, 1457–1480. [Google Scholar] [CrossRef] [Green Version]
- Sukul, P.; Lamshöft, M.; Zühlke, S.; Spiteller, M. Sorption and desorption of sulfadiazine in soil and soil-manure systems. Chemosphere 2008, 73, 1344–1350. [Google Scholar] [CrossRef]
- Vijayalakshmi, K.; Devi, B.M.; Latha, S.; Gomathi, T.; Sudha, P.N.; Venkatesan, J.; Anil, S. Batch adsorption and desorption studies on the removal of lead (II) from aqueous solution using nanochitosan/sodium alginate/microcrystalline cellulose beads. Int. J. Biol. Macromol. 2017, 104, 1483–1494. [Google Scholar] [CrossRef]
- Eftekhari, M.; Gheibi, M.; Azizi-Toupkanloo, H.; Hossein-Abadi, Z.; Khraisheh, M.; Fathollahi-Fard, A.M.; Tian, G. Statistical optimization, soft computing prediction, mechanistic and empirical evaluation for fundamental appraisal of copper, lead and malachite green adsorption. J. Ind. Inf. Integr. 2021, 23, 100219–100240. [Google Scholar] [CrossRef]
- Uchechukwu, O.F.; Azubuike, O.S.; Okan, E.N. Biosorption of Cd2+, Ni2+ and Pb2+ by the shell of pentaclethra macrophylla: Equilibrium isotherm studies. J. Sci. Technol. Environ. Inform. 2015, 13, 26–35. [Google Scholar] [CrossRef]









| Parameter | Units | Soil | |||||
|---|---|---|---|---|---|---|---|
| 3AL | 19AL | 50AL | 6S | 51S | 71S | ||
| pHH2O | 4.74 | 4.80 | 4.49 | 6.33 | 7.06 | 6.24 | |
| pHKCl | 4.30 | 4.25 | 4.00 | 5.86 | 6.39 | 5.44 | |
| Cae | cmolc kg−1 | 2.24 | 1.53 | 5.94 | 12.86 | 9.89 | 12.79 |
| Mge | cmolc kg−1 | 0.64 | 0.41 | 1.48 | 1.13 | 0.97 | 2.88 |
| Nae | cmolc kg−1 | 0.35 | 0.25 | 0.42 | 0.36 | 0.28 | 0.41 |
| Ke | cmolc kg−1 | 1.00 | 1.27 | 1.14 | 0.61 | 1.40 | 1.20 |
| Ale | cmolc kg−1 | 1.68 | 0.61 | 2.66 | 0.00 | 0.01 | 0.11 |
| eCEC | cmolc kg−1 | 5.92 | 4.08 | 11.64 | 14.96 | 12.54 | 17.38 |
| Al saturation | % | 28.43 | 15.00 | 22.83 | 0.00 | 0.05 | 0.06 |
| P | mg kg−1 | 117.90 | 225.43 | 135.90 | 71.42 | 120.03 | 96.77 |
| N | % | 0.31 | 0.09 | 0.84 | 0.23 | 0.19 | 0.48 |
| C | % | 3.39 | 1.07 | 10.92 | 1.98 | 1.75 | 6.88 |
| OM | % | 5.84 | 1.84 | 18.83 | 3.41 | 3.02 | 11.86 |
| C/N | 10.94 | 11.89 | 13.00 | 8.44 | 9.05 | 14.21 | |
| Sand | % | 54.72 | 64.72 | 58.72 | 29.28 | 27.28 | 61.28 |
| Silt | % | 26.00 | 14.00 | 16.00 | 49.28 | 51.28 | 23.28 |
| Clay | % | 19.28 | 21.28 | 25.28 | 21.44 | 21.44 | 15.44 |
| Alo | mg kg−1 | 5040.0 | 855.0 | 2995.0 | 18,377.5 | 15,755.7 | 50,593.5 |
| Feo | mg kg−1 | 2585.0 | 1150.0 | 1430.0 | 56,423.8 | 42377.4 | 73,095.9 |
| Parameter | Unit | Oak Ash | Pine Bark | Mussel Shell |
|---|---|---|---|---|
| C | % | 13.23 | 48.70 | 11.43 |
| N | % | 0.22 | 0.08 | 0.21 |
| C/N | 60.13 | 608.75 | 55.65 | |
| pHH2O | 11.31 | 3.99 | 9.39 | |
| pHKCl | 13.48 | 3.42 | 9.04 | |
| Cae | cmolc kg−1 | 95.00 | 5.38 | 24.75 |
| Mge | cmolc kg−1 | 3.26 | 2.70 | 0.72 |
| Nae | cmolc kg−1 | 12.17 | 0.46 | 4.37 |
| Ke | cmolc kg−1 | 250.65 | 4.60 | 0.38 |
| Ale | cmolc kg−1 | 0.07 | 1.78 | 0.03 |
| Al saturation | % | 0.02 | 11.91 | 0.11 |
| eCEC | cmolc kg−1 | 361.17 | 14.92 | 30.25 |
| P-Olsen | mg kg−1 | 462.83 | 70.45 | 54.17 |
| Alo | mg kg−1 | 8323.00 | 315.00 | 178.33 |
| Feo | mg kg−1 | 4233.00 | 74.00 | 171.00 |
| Cu | As(V) | ||||||
|---|---|---|---|---|---|---|---|
| Soil | C0 µmol L−1 | Q µmol kg−1 | pH | DOC mg L−1 | Q µmol kg−1 | pH | DOC mg L−1 |
| 3AL | 0.00 | 0.00 | 4.75 | 0.08 | 0.00 | 4.76 | 0.19 |
| 100 | 2127.04 | 4.64 | 0.20 | 2394.39 | 4.78 | 0.19 | |
| 200 | 3225.97 | 4.46 | 0.13 | 3764.03 | 4.97 | 0.23 | |
| 400 | 6951.04 | 4.43 | 0.13 | 6037.21 | 5.17 | 0.16 | |
| 800 | 10,467.99 | 4.25 | 0.12 | 9344.48 | 5.37 | 0.17 | |
| 1600 | 12,523.80 | 4.10 | 0.10 | 16,882.19 | 5.92 | 0.16 | |
| 19AL | 0.00 | 0.00 | 4.71 | 0.20 | 0.00 | 5.00 | 0.08 |
| 100 | 1433.70 | 4.57 | 0.13 | 888.39 | 5.19 | 0.14 | |
| 200 | 2088.81 | 4.45 | 0.19 | 1153.99 | 5.33 | 0.21 | |
| 400 | 3969.43 | 4.34 | 0.29 | 5778.18 | 5.74 | 0.09 | |
| 800 | 6659.33 | 4.27 | 0.17 | 4126.55 | 6.11 | 0.12 | |
| 1600 | 5963.30 | 4.07 | 0.28 | 6290.39 | 6.60 | 0.09 | |
| 50AL | 0.00 | 0.00 | 4.27 | 0.26 | 0.00 | 4.50 | 0.13 |
| 100 | 2524.26 | 4.24 | 0.19 | 2272.59 | 4.37 | 0.18 | |
| 200 | 5106.61 | 4.13 | 0.26 | 3939.78 | 4.38 | 0.20 | |
| 400 | 11,086.25 | 4.03 | 0.28 | 6058.32 | 4.45 | 0.28 | |
| 800 | 20,244.49 | 3.79 | 0.34 | 10,856.87 | 4.66 | 0.23 | |
| 1600 | 28,481.45 | 3.69 | 0.23 | 17,075.78 | 4.89 | 0.22 | |
| 6S | 0.00 | 0.00 | 5.61 | 0.20 | 0.00 | 5.88 | 0.19 |
| 100 | 2558.33 | 5.66 | 0.19 | 3048.25 | 5.87 | 0.12 | |
| 200 | 5253.62 | 6.26 | 0.13 | 3015.26 | 6.33 | 0.08 | |
| 400 | 12,030.50 | 5.57 | 0.15 | 4393.79 | 6.44 | 0.09 | |
| 800 | 22,000.77 | 5.07 | 0.13 | 5849.58 | 6.73 | 0.09 | |
| 1600 | 29,540.60 | 4.75 | 0.17 | 5866.52 | 6.88 | 0.06 | |
| 51S | 0.00 | 0.00 | 6.04 | 0.16 | 0.00 | 6.61 | 0.15 |
| 100 | 2615.99 | 6.09 | 0.18 | 2016.28 | 6.80 | 0.14 | |
| 200 | 5202.90 | 6.06 | 0.19 | 3091.30 | 6.83 | 0.12 | |
| 400 | 12,205.87 | 5.93 | 0.14 | 4485.69 | 6.85 | 0.09 | |
| 800 | 24,061.91 | 5.55 | 0.13 | 6775.33 | 6.96 | 0.12 | |
| 1600 | 37,687.91 | 5.09 | 0.11 | 10,962.17 | 7.18 | 0.08 | |
| 71S | 0.00 | 0.00 | 5.49 | 0.29 | 0.00 | 6.00 | 0.11 |
| 100 | 2618.82 | 5.53 | 0.20 | 2516.39 | 5.85 | 0.09 | |
| 200 | 5282.88 | 5.49 | 0.19 | 4786.28 | 5.84 | 0.13 | |
| 400 | 11,962.35 | 5.36 | 0.16 | 8174.64 | 5.84 | 0.14 | |
| 800 | 25,655.79 | 5.13 | 0.18 | 14,047.81 | 5.92 | 0.13 | |
| 1600 | 44,019.57 | 4.69 | 0.15 | 22,979.85 | 6.07 | 0.13 | |
| Soil/Bio-Adsorbent | Langmuir Parameter | |||||
|---|---|---|---|---|---|---|
| qm (µmol kg−1) | Error-1 | KL (L µmol−1) | Error-2 | R2 | ||
| 3AL | Cu | 13,400.09 | 3292.03 | 0.0075 | 0.003 | 0.935 |
| As(V) | 27,759.87 | 9142.35 | 0.0014 | 0.0009 | 0.967 | |
| 19AL | Cu | 7020.96 | 1227.60 | 0.0065 | 0.003 | 0.958 |
| As(V) | 9102.93 | 6017.42 | 0.0015 | 0.006 | 0.837 | |
| 50AL | Cu | 27,463.77 | 2525.40 | 0.021 | 0.003 | 0.992 |
| As(V) | 25,379.96 | 4566.65 | 0.002 | 0.001 | 0.985 | |
| 6S | Cu | 28,242.77 | 6241.05 | 0.041 | 0.015 | 0.945 |
| As(V) | 6457.63 | 295.59 | 0.010 | 0.002 | 0.992 | |
| 51S | Cu | 44,100.55 | 11,594.77 | 0.028 | 0.010 | 0.950 |
| As(V) | 14,417.56 | 3161.04 | 0.002 | 0.001 | 0.962 | |
| 71S | Cu | 49,174.35 | 2524.46 | 0.033 | 0.005 | 0.996 |
| As(V) | 32,341.86 | 6030.63 | 0.003 | 0.001 | 0.982 | |
| Oak ash | Cu | - | - | - | - | - |
| As(V) | 83,740.12 | 13,748.45 | 0.008 | 0.003 | 0.987 | |
| Pine bark | Cu | 65,560.70 | 3016.86 | 0.0035 | 0.0003 | 0.999 |
| As(V) | 7298.80 | 2723.54 | 0.0010 | 0.0007 | 0.958 | |
| Mussel shell | Cu | 50,467.87 | 6290.40 | 0.1021 | 0.0364 | 0.959 |
| As(V) | 6925.85 | 2393.08 | - | - | 0.784 | |
| Soil/Bio-Adsorbent | Freundlich Parameter | |||||
|---|---|---|---|---|---|---|
| KF (Ln µmol1−n kg−1) | Error-1 | n | Error-2 | R2 | ||
| 3AL | Cu | 605.97 | 161.97 | 0.453 | 0.051 | 0.970 |
| As(V) | 317.97 | 123.29 | 0.571 | 0.059 | 0.991 | |
| 19AL | Cu | - | - | 0.354 | 0.114 | 0.902 |
| As(V) | - | - | - | - | - | |
| 50AL | Cu | 1420.25 | 290.32 | 0.492 | 0.047 | 0.969 |
| As(V) | 396.35 | 71.49 | 0.546 | 0.028 | 0.997 | |
| 6S | Cu | 4334.21 | 1250.35 | 0.308 | 0.051 | 0.975 |
| As(V) | 1302.36 | 548.87 | 0.219 | 0.066 | 0.938 | |
| 51S | Cu | 2042.58 | 750.21 | 0.527 | 0.103 | 0.845 |
| As(V) | 332.74 | 77.00 | 0.491 | 0.035 | 0.996 | |
| 71S | Cu | 4695.40 | 1535.83 | 0.413 | 0.065 | 0.977 |
| As(V) | 679.50 | 74.58 | 0.522 | 0.017 | 0.999 | |
| Oak ash | Cu | - | - | - | - | - |
| As(V) | 2481.83 | 963.55 | 0.568 | 0.076 | 0.986 | |
| Pine bark | Cu | 1013.92 | 204.18 | 0.601 | 0.0342 | 0.997 |
| As(V) | - | - | 0.649 | 0.1843 | 0.933 | |
| Mussel shell | Cu | 9586.92 | 4114.71 | 0.282 | 0.084 | 0.899 |
| As(V) | - | - | - | - | - | |
| Soil/Bio-Adsorbent | Temkin Parameters | |||||
|---|---|---|---|---|---|---|
| bt | Error-1 | Kt (L/g) | Error-2 | R2 | ||
| 3AL | Cu | 1249.03 | 329.44 | 0.16 | 0.08 | 0.915 |
| As(V) | - | - | - | - | - | |
| 19AL | Cu | 1667.41 | 318.40 | 0.07 | 0.05 | 0.947 |
| As(V) | 1574.12 | 721.31 | - | - | 0.764 | |
| 50AL | Cu | - | - | 0.38 | 0.058 | 0.979 |
| As(V) | - | - | 0.06 | 0.034 | 0.941 | |
| 6S | Cu | - | - | 0.63 | 0.12 | 0.946 |
| As(V) | 1163.51 | 187.13 | 0.17 | 0.10 | 0.975 | |
| 51S | Cu | - | - | 0.49 | 0.028 | 0.988 |
| As(V) | 1111.30 | 457.70 | 0.06 | 0.034 | 0.942 | |
| 71S | Cu | 272.31 | 174.11 | 0.50 | 0.03 | 0.999 |
| As(V) | - | - | 0.10 | 0.06 | 0.944 | |
| Oak ash | Cu | - | - | - | - | - |
| As(V) | - | - | - | - | - | |
| Pine bark | Cu | - | - | 0.08 | 0.02 | 0.970 |
| As(V) | 1690.37 | 258.54 | 0.01 | 0.00 | 0.956 | |
| Mussel shell | Cu | - | - | - | - | - |
| As(V) | 1565.52 | 849.08 | - | - | 0.732 | |
| Cu | As(V) | ||||||
|---|---|---|---|---|---|---|---|
| Sorbent | C0 | Q | pH | DOC | Q | pH | DOC |
| Oak ash | 0.00 | 0.00 | 12.21 | 0.37 | 0.00 | 11.99 | 0.40 |
| 100 | 3953.65 | 12.19 | 0.42 | 3945.07 | 12.00 | 0.40 | |
| 200 | 7619.05 | 12.22 | 0.45 | 7639.94 | 12.05 | 0.41 | |
| 400 | 15,455.80 | 12.18 | 0.36 | 14,451.22 | 12.09 | 0.82 | |
| 800 | 31,008.12 | 12.16 | 0.36 | 28,892.20 | 12.05 | 0.49 | |
| 1600 | 63,284.57 | 12.09 | 0.33 | 54,610.45 | 11.96 | 0.50 | |
| Pine bark | 0.00 | 0.00 | 4.58 | 0.526 | 0.00 | 5.94 | 0.28 |
| 100 | 3300.95 | 3.91 | 0.46 | 442.89 | 5.69 | 0.31 | |
| 200 | 6564.22 | 3.9 | 0.52 | 556.30 | 5.63 | 0.33 | |
| 400 | 13,112.66 | 3.82 | 0.43 | 1725.85 | 5.45 | 0.34 | |
| 800 | 24,405.27 | 3.77 | 0.44 | 3669.51 | 5.47 | 0.37 | |
| 1600 | 42,152.96 | 3.61 | 0.39 | 4036.64 | 5.17 | 0.30 | |
| Mussel shell | 0.00 | 0.00 | 7.44 | 0.12 | 0.00 | 7.05 | 0.08 |
| 100 | 3903.02 | 7.50 | 0.16 | 1003.36 | 7.63 | 0.24 | |
| 200 | 7797.85 | 7.53 | 0.18 | 2025.12 | 7.90 | 0.16 | |
| 400 | 15,088.63 | 7.50 | 0.18 | 4889.31 | 8.13 | 0.19 | |
| 800 | 29,335.28 | 7.42 | 0.19 | 7427.29 | 8.20 | 0.16 | |
| 1600 | 48,033.56 | 6.18 | 0.15 | 4515.32 | 8.33 | 0.11 | |
Publisher’s Note: MDPI stays neutral with regard to jurisdictional claims in published maps and institutional affiliations. |
© 2022 by the authors. Licensee MDPI, Basel, Switzerland. This article is an open access article distributed under the terms and conditions of the Creative Commons Attribution (CC BY) license (https://creativecommons.org/licenses/by/4.0/).
Share and Cite
Cela-Dablanca, R.; Barreiro, A.; Ferreira-Coelho, G.; Campillo-Cora, C.; Pérez-Rodríguez, P.; Arias-Estévez, M.; Núñez-Delgado, A.; Álvarez-Rodríguez, E.; Fernández-Sanjurjo, M.J. Cu and As(V) Adsorption and Desorption on/from Different Soils and Bio-Adsorbents. Materials 2022, 15, 5023. https://doi.org/10.3390/ma15145023
Cela-Dablanca R, Barreiro A, Ferreira-Coelho G, Campillo-Cora C, Pérez-Rodríguez P, Arias-Estévez M, Núñez-Delgado A, Álvarez-Rodríguez E, Fernández-Sanjurjo MJ. Cu and As(V) Adsorption and Desorption on/from Different Soils and Bio-Adsorbents. Materials. 2022; 15(14):5023. https://doi.org/10.3390/ma15145023
Chicago/Turabian StyleCela-Dablanca, Raquel, Ana Barreiro, Gustavo Ferreira-Coelho, Claudia Campillo-Cora, Paula Pérez-Rodríguez, Manuel Arias-Estévez, Avelino Núñez-Delgado, Esperanza Álvarez-Rodríguez, and María J. Fernández-Sanjurjo. 2022. "Cu and As(V) Adsorption and Desorption on/from Different Soils and Bio-Adsorbents" Materials 15, no. 14: 5023. https://doi.org/10.3390/ma15145023
APA StyleCela-Dablanca, R., Barreiro, A., Ferreira-Coelho, G., Campillo-Cora, C., Pérez-Rodríguez, P., Arias-Estévez, M., Núñez-Delgado, A., Álvarez-Rodríguez, E., & Fernández-Sanjurjo, M. J. (2022). Cu and As(V) Adsorption and Desorption on/from Different Soils and Bio-Adsorbents. Materials, 15(14), 5023. https://doi.org/10.3390/ma15145023

