Oxidation Damage Evolution in Low-Cycle Fatigue Life of Niobium-Stabilized Austenitic Stainless Steel
Abstract
1. Introduction
2. Fatigue Life Prediction Models
2.1. Fracture Mechanism-Based Lifetime Model
2.2. Oxidation Damage Model
3. Experiments
3.1. Materials and Specimen
3.2. Experiment Procedure
4. Results and Discussions
4.1. Microstructure Analysis
4.2. Oxidation Damage Analysis
4.3. Fatigue Life Prediction
4.4. Sensitivity Analysis of Oxidation Damage Parameters
- Oxidation-induced rate exponent,
- Activation energy for oxidation,
- Activation energy for depletion,
- Diffusion coefficient for oxidation,
- Diffusion coefficient for depletion,
5. Conclusions
- (1)
- As a result of the microstructure observation and composition analysis, the thickness of the oxide layer and penetration length of oxide intrusion were observed through the formation of oxides at 600 °C and higher, regardless of the effect of the strain amplitude. This observation differs from the behavior of typical austenitic stainless steel such as stainless steel 304 or 316, which develops oxides at 400 °C or higher, and it appears to result from the suppression of the formation of Cr23C6 that is associated with the oxidation of the material by niobium addition.
- (2)
- In order to suppress sensitization, niobium is added to the austenitic stainless steel, and because niobium has a stronger affinity with carbon than chromium, NbC appears to precipitate preferentially while suppressing the formation of Cr23C6. As a result, the chromium inside the material effectively served its role of inhibiting oxidation, and accordingly, no oxide was observed at 200~400 °C. However, at 600 °C or higher, the affinity between carbon and chromium becomes stronger, so Cr23C6 was formed during the aging time and oxidation damage associated with deficiency of chromium.
- (3)
- The comparison of the predicted and experimental values of oxidation damage in the low-cycle fatigue test indicated that the average thickness of the oxide layer and the penetration length of oxide intrusion were evaluated with an average error range of 14.7% and 13.0%, respectively. The thickness of the stratified oxide layer in oxide intrusion of austenitic stainless steel decreases as the strain amplitude increases at the constant strain rate. In the Neu-Sehitoglu model, the average oxide layer thickness was the same as the experimental tendency. In addition, the Neu-Sehitoglu oxidation damage model can take into account both average oxide thickness and aging time in calculating the rate of oxide growth, so the penetration length of oxide intrusion seems to have been well predicted. Based on the above results, it is believed that the oxidation characteristics of austenitic stainless steel containing niobium, which forms an oxide at 600 °C and higher, can be adequately predicted in the Neu-Sehitoglu model.
- (4)
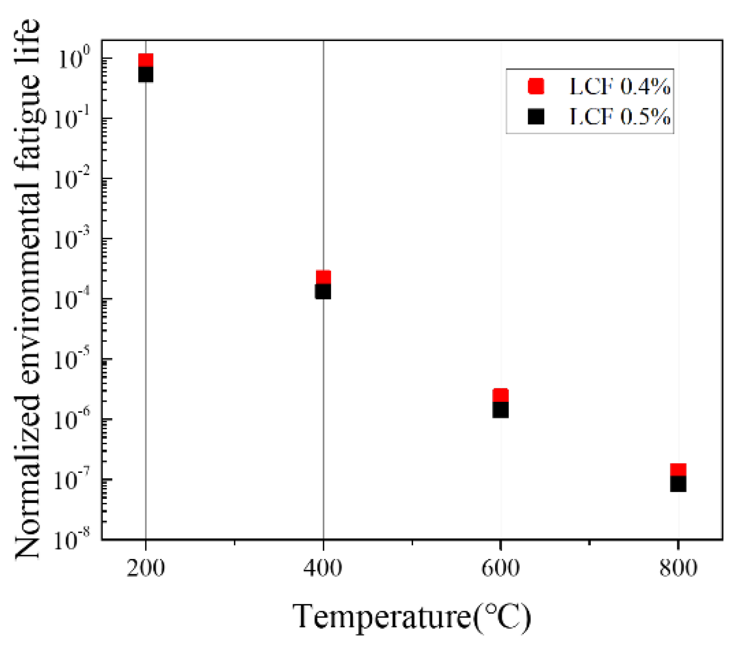
- The predicted low-cycle fatigue lives with and without using the Neu-Sehitoglu oxidation damage model were compared. As a result, it was confirmed that fatigue life could be predicted within a factor of ±2 at all temperatures except for 800 °C, regardless of the strain amplitude. Usually, in a certain temperature region where fatigue life is less affected by oxidation damage, the estimation of a lifetime through the fracture mechanism with crack-tip displacement theory can be employed to predict LCF. However, austenitic stainless steel containing niobium begins to be damaged by oxidation at 600 °C, and higher, a large amount of Cr23C6 is precipitated and the damage caused by oxidation increases rapidly. In order to predict the fatigue life of austenitic stainless steel much more accurately at overall temperatures, thus combining oxidation damage with fracture mechanism-based lifetime was found to be essential, and it was possible by using this unified low-cycle fatigue life prediction model.
- (5)
- Sensitivity analysis was performed on five parameters applied in the Neu-Sehitoglu oxidation damage model, which confirmed that the oxidation-induced rate exponent, , had the greatest effect in predicting the low-cycle fatigue life at a constant strain rate and under the condition with no temperature change. Furthermore, because the activation energy for oxidation of austenitic stainless steel is larger than the value of Mar-M247, the parameter is believed to have an insignificant effect on the prediction of fatigue life.
- (6)
- A unified fatigue life model was proposed to properly reflect the material damage and fatigue failure in a high-temperature, and repeated-load environment. It is expected that this model will allow a more accurate prediction of the fatigue life of austenitic stainless steel components containing niobium, such as automotive engines, internal combustion engines of transportation vehicles, and gas turbines.
Author Contributions
Funding
Institutional Review Board Statement
Informed Consent Statement
Data Availability Statement
Conflicts of Interest
References
- Kovacs, T.A.; Laszlo, T. Heat Treatment Effect for Stainless Steel Corrosion. Eur. J. Mater. Sci. Eng. 2018, 3, 38–42. [Google Scholar]
- He, H.; Tian, W.; Li, J.; Shi, K.; Sun, M.; Li, J. Failure Analysis and Finite Element Simulation on Service Conditions of SUS304 Stainless Steel. J. Mater. Eng. 2021, 30, 5987–5999. [Google Scholar] [CrossRef]
- Nishimura, R.; Musalam, I.; Maeda, Y. The effect of sensitizing temperature on stress corrosion cracking of type 316 austenitic stainless steel in hydrochloric acid solution. Corros. Sci. 2002, 44, 1343–1360. [Google Scholar] [CrossRef]
- Kartaman, A.M.; Nurlaily, E.; Putri, A.S.D.; Sihotang, J.C.; Kundari, N.A. Corrosion Analysis of Post-Heat Treatment and Post-Weld SS316 with Electrokinetic Reactivation and Cyclic Polarization Method. J. Phys. Conf. Ser. 2020, 1436, 012104. [Google Scholar] [CrossRef]
- Wang, J.; Meng, B.; Lu, J.; Zhou, Y.; Yang, D.; Wang, Q.; Chen, M.; Wang, F. Studies on the Oxidation Behavior and Microstructural Evolution of Two Nb-Modified Hr3c Austenitic Steels under Pure Water Vapor at 650 °C. Materials 2020, 13, 5447. [Google Scholar] [CrossRef]
- Li, M.; Lynch, B.; Wiame, F.; Maurice, V.; Marcus, P. Nanoscale early oxidation mechanisms of model FeCrNi austenitic stainless steel surfaces at room temperature. Corros. Sci. 2021, 190, 109653. [Google Scholar]
- Lee, J.M.; Kwun, S.I.; Yoon, J.H.; Lee, B.S.; Kim, M.W. International Nuclear Information System The Effects of Microstructure and Temperature on Fatigue Crack Growth Behavior of Type 347 Stainless Steels. Int. Nucl. Inf. Syst. 2007, 45, 593–601. [Google Scholar]
- Moura, V.; Kina, A.Y.; Tavares, S.S.M.; Lima, L.D.; Mainier, F.B. Influence of stabilization heat treatments on microstructure, hardness and intergranular corrosion resistance of the AISI 321 stainless steel. J. Mater. Sci. 2008, 43, 536–540. [Google Scholar] [CrossRef]
- Zhang, F.; Levine, L.E.; Allen, A.J.; Stoudt, M.R.; Lindwall, G.; Lass, E.A.; Williams, M.E.; Idell, Y.; Campbell, C.E. Effect of heat treatment on the microstructural evolution of a nickel-based superalloy additive-manufactured by laser powder bed fusion. Acta Mater. 2018, 152, 200–214. [Google Scholar] [CrossRef]
- Barjesteh, M.M.; Madar, K.Z.; Abbasi, S.M.; Shirvani, K. Influence of Prior Cyclic Oxidation on High Temperature Low Cycle Fatigue Life of Bare and Pt-Al Coated Superalloy Rene®80. J. Cent. South Univ. 2022, 29, 43–59. [Google Scholar] [CrossRef]
- Jabbari, A.H.; Sedighi, M.; Jahed, H.; Sommitsch, C. Low cycle fatigue behavior of AZ31B extrusion at elevated temperatures. Int. J. Fatigue. 2020, 139, 105803. [Google Scholar] [CrossRef]
- Abarkan, I.; Khamlichi, A.; Shamass, S. A Numerical Analysis on the Cyclic Behavior of 316 FR Stainless Steel and Fatigue Life Prediction. Eng. Proc. 2021, 11, 28. [Google Scholar]
- Dutta, A.; Dhar, S.; Acharyya, S.K. Material characterization of SS 316 in low-cycle fatigue loading. J. Mater. Sci. 2010, 45, 1782–1789. [Google Scholar] [CrossRef]
- Neu, R.W.; Sehitoglu, H. Thermomechanical Fatigue, Oxidation, and Creep: Part, I. Damage Mechanisms. Metall. Trans. A 1989, 20, 1755–1767. [Google Scholar] [CrossRef]
- Neu, R.W.; Sehitoglu, H. Thermomechanical Fatigue, Oxidation, and Creep: Part II. Life Prediction. Metall. Trans. A 1989, 20A, 1769–1783. [Google Scholar] [CrossRef]
- Sehitoglu, H. Thermo-Mechanical Fatigue of Mar-M247 Part 2—Life Prediction. J. Eng. Mater. Technol. 1990, 112, 80–89. [Google Scholar] [CrossRef]
- Karl, J. Thermomechanical Fatigue Life Prediction of Notched 304 Stainless. Ph.D. Thesis, University of Central Florida, Orlando, FL, USA, 2013; pp. 3–281. [Google Scholar]
- Wang, M.; Pang, J.C.; Zhang, M.X.; Liu, H.Q.; Li, S.X.; Zhang, Z.F. Thermo-mechanical fatigue behavior and life prediction of the Al-Si piston alloy. Mater. Sci. Eng. A 2018, 715, 62–72. [Google Scholar] [CrossRef]
- Ebi, G.; Riedel, H.; Neumann, P. Fatigue life prediction based on microcrack growth. In Proceedings of the 6th European Conference on Fracture, Amsterdam, The Netherlands, 6–9 October 1986. [Google Scholar]
- Chauvot, C. Rissbildung und Risswachstum in Rohrleitungsstahl X6CrNiNb18-10 unter Plastischer Wechselverformung. Ph.D. Thesis, Universität Karlsruhe, Karlsruhe, Germany, 2001. [Google Scholar]
- Hoffmeyer, J.; Döring, R.; Seeger, T.; Vormwald, M. Deformation behaviour, short crack growth and fatigue lives under multiaxial nonproportional loading. Int. J. Fatigue 2006, 28, 508–520. [Google Scholar] [CrossRef]
- Schmitt, A.W.; Mohrmann, R.; Riedel, H.; Dietsche, A.; Fischersworring-Bunk, A. Modeling of the Fatigue Life of Automobile Exhaust Components. In Fatigue; Blom, A.F., Ed.; Engineering Materials Advisory Services Ltd., Cradley Heath: Warley, UK, 2002; pp. 781–788. [Google Scholar]
- Seifert, T.; Maier, G.; Uihlein, A.; Lang, K.H.; Riedel, H. Mechanism-Based Thermomechanical Fatigue Life Prediction of Cast Iron. Part II: Comparison of Model Predictions with Experiments. Int. J. Fatigue 2010, 32, 1368–1377. [Google Scholar] [CrossRef]
- Maier, G.; Riedel, H.; Somsen, C. Cyclic Deformation and Lifetime of Alloy 617B during Isothermal Low Cycle Fatigue. Int. J. Fatigue 2013, 55, 126–135. [Google Scholar] [CrossRef]
- Nagesha, A.; Valsan, M.; Kannan, R.; Rao, K.B.S.; Bauer, V.; Christ, H.J.; Singh, V. Thermomechanical fatigue evaluation and life prediction of 316(N) stainless steel. Int. J. Fatigue 2009, 31, 636–643. [Google Scholar] [CrossRef]
- Zhang, Z.; Li, A.; Wang, Y.; Lin, Q.; Chen, X. Low-cycle fatigue behavior and life prediction of fine-grained 316N austenitic stainless steel. J. Mater. Res. 2020, 35, 3180–3191. [Google Scholar] [CrossRef]
- Murthy, A.R.; Vishnuvardhan, S.; Anjusha, K.V.; Gandhi, P.; Singh, P.K. Prediction of fatigue crack initiation life in SA312 Type 304LN austenitic stainless steel straight pipes with notch. Nucl. Eng. Technol. 2022, 54, 1588–1596. [Google Scholar] [CrossRef]
- Fang, K.; Luo, K.; Wang, L.; Li, C.; Wang, L.; Qiao, Y. Environmental Fatigue Behavior of a Z3CN20.09M Stainless Steel in High Temperature Water. Coatings 2022, 12, 317. [Google Scholar] [CrossRef]
- Wu, H.C.; Yang, B.; Wang, S.L.; Zhang, M.X. Effect of oxidation behavior on the corrosion fatigue crack initiation and propagation of 316LN austenitic stainless steel in high temperature water. Mater. Sci. Eng. A 2015, 633, 176–183. [Google Scholar] [CrossRef]
- Wu, X.; Quan, G.; Sloss, C. Mechanism-Based Modeling for Low Cycle Fatigue of Cast Austenitic Steel. Metall. Mater. Trans. A Phys. Metall. Mater. Sci. 2017, 48, 4058–4071. [Google Scholar] [CrossRef]
- Alain, R.; Violan, P.; Mendez, J. Low Cycle Fatigue Behavior in Vacuum of a 316L Type Austenitic Stainless Steel between 20 and 600 °C Part I: Fatigue Resistance and Cyclic Behavior. Mater. Sci. Eng. A 1997, 229, 87–94. [Google Scholar] [CrossRef]
- Reddy, G.V.P.; Mariappan, K.; Kannan, R.; Sandhya, R.; Sankaran, S.; Rao, K.B.S. Effect of strain rate on low cycle fatigue of 316LN stainless steel with varying nitrogen content: Part-II fatigue life and fracture. Int. J. Fatigue 2015, 81, 309–317. [Google Scholar] [CrossRef]
- Sangid, M. The physics of fatigue crack initiation. Int. J. Fatigue 2013, 57, 58–72. [Google Scholar] [CrossRef]
- Liu, D.; Pons, D.J. Crack Propagation Mechanisms for Creep Fatigue: A Consolidated Explanation of Fundamental Behaviours from Initiation to Failure. Metals 2018, 8, 623. [Google Scholar] [CrossRef]
- Tvergaard, V. Mesh sensitivity effects on fatigue crack growth by crack-tip blunting and re-sharpening. Int. J. Solids Struct. 2007, 44, 1891–1899. [Google Scholar] [CrossRef]
- Laird, C.; Smith, G.C. Crack Propagation in High Stress Fatigue. Philos. Mag. 1962, 7, 847–857. [Google Scholar] [CrossRef]
- Pelloux, R.M.N. Crack Extension by Alternating Shear. Eng. Fract. Mech. 1970, 1, 697–700. [Google Scholar] [CrossRef]
- Schweizer, C.; Seifert, T.; Nieweg, B.; Von Hartrott, P.; Riedel, H. Mechanisms and Modelling of Fatigue Crack Growth under Combined Low and High Cycle Fatigue Loading. Int. J. Fatigue 2011, 33, 194–202. [Google Scholar] [CrossRef]
- Shih, C.F. Relationship between the J-Integral and the crack opening displacement for Stationary and Extending Cracks. J. Mech. Phys. Solids 1981, 29, 305–326. [Google Scholar] [CrossRef]
- Heitmann, H.H.; Vehoff, H.; Neumann, P. Life Prediction for Random Load Fatigue Based on the Growth Behavior of Microcracks. In Proceedings of the 6th International Conference on Fracture, New Delhi, India, 4–10 December 1984; pp. 3599–3606. [Google Scholar]
- Newman, J. A crack opening stress equation for fatigue crack growth. Int. J. Fract. 1984, 24, 131–135. [Google Scholar] [CrossRef]
- Oh, E.J.; Lee, J.H.; Cho, S.W.; Yi, W.G.; Nam, K.W. Effect of Carbon Content on Intergranular Corrosion of Welding Heat Affected Zone in 304 Stainless Steel. J. Weld. Join. 2019, 37, 322–332. [Google Scholar] [CrossRef]
- ASTM E606/606M-21; Standard Test Method for Strain-Controlled Fatigue Testing. ASTM International: West Conshohocken, PA, USA, 2021.
- Yates, P.M.; Mallinson, C.F.; Mallinson, P.M.; Whiting, M.J.; Yeomans, J.A. An Investigation into the Nature of the Oxide Layer Formed on Kovar (Fe–29Ni–17Co) Wires Following Oxidation in Air at 700 and 800 °C. Oxid. Met. 2017, 88, 733–747. [Google Scholar] [CrossRef]
- Sahri, M.I.; Othman, N.K.; Samsu, Z.; Daud, A.R. Investigation of high temperature corrosion behavior on 304L austenite stainless steel in corrosive environments. J. Vac. Sci. Technol. 2015, 1614, 152–157. [Google Scholar]
- Lima, A.S.; Nascimento, A.M.; Abreu, H.F.G.; Lima-Neto, P. Sensitization evaluation of the austenitic stainless steel AISI 304L, 316L, 321 and 347. J. Mater. Sci. 2005, 40, 139–144. [Google Scholar] [CrossRef]
- Amaro, R.L.; Antolovich, S.D.; Neu, R.W.; Staroselsky, A. On Thermo-Mechanical Fatigue in Single Crystal Ni-Base Superalloys. Procedia Eng. 2010, 2, 815–824. [Google Scholar] [CrossRef][Green Version]
- Abu, A.O.; Eshati, S.; Laskaridis, P.; Singh, R. Aero-Engine Turbine Blade Life Assessment Using the Neu/Sehitoglu Damage Model. Int. J. Fatigue 2014, 61, 160–169. [Google Scholar] [CrossRef]
- Smith, A.F. The Diffusion of Chromium in Type 316 Stainless Steel. Met. Sci. 1975, 9, 375–378. [Google Scholar] [CrossRef]












| Parameter | Value | |
|---|---|---|
| Time to reach critical oxide layer thickness | 6.93 × 10−3 (s−0.5) | |
| Measurement of oxide ductility | 1.12 × 10−10 (μm·s−0.75) | |
| Strain rate sensitivity | 0.75 | |
| Oxidation-induced rate exponent | 1.5 | |
| Critical total oxide growth | 461.4 (μm) | |
| Shape factor as a measure of the relative amount of damage with the different phase | 0.44 | |
| Diffusion coefficient for oxidation | 1.54 × 104 (μm2/s) | |
| Diffusion coefficient for depletion | 8.57 × 103 (μm2/s) | |
| Activation energy for oxidation | 175.9 (kJ/mol) | |
| Activation energy for deplation | 163.3 (kJ/mol) | |
| Composition [wt.%] | C | Si | Mn | P | S | Cr | Ni | Mo | Nb | Fe | 
| 0.3 | 2.5 | 2.0 | 0.04 | 0.04 | 18–23 | 8.8 | 0.16 | 1.4–1.5 | Bal. | 
| Strain Amplitude | Temp (°C) | Experiment (μm) | Prediction (μm) | Error (%) | 
|---|---|---|---|---|
| 200 | 0 | 0 | 0 | |
| 400 | 0 | 0 | 0 | |
| 600 | 0.11 | 0.14 | 27.3 | |
| 800 | 0.62 | 0.83 | 33.9 | |
| 200 | 0 | 0 | 0 | |
| 400 | 0 | 0 | 0 | |
| 600 | 0.07 | 0.09 | 28.6 | |
| 800 | 0.54 | 0.69 | 27.8 | |
| Average error(%) | 14.7 | |||
| Strain Amplitude | Temp (°C) | Experiment (μm) | Prediction (μm) | Error (%) | 
|---|---|---|---|---|
| 200 | 0 | 0 | 0 | |
| 400 | 0 | 0 | 0 | |
| 600 | 2.01 | 1.45 | 27.9 | |
| 800 | 50.8 | 35.6 | 29.9 | |
| 200 | 0 | 0 | 0 | |
| 400 | 0 | 0 | 0 | |
| 600 | 0.85 | 0.70 | 17.6 | |
| 800 | 44.1 | 31.6 | 28.3 | |
| Average error(%) | 13.0 | |||
| Publisher’s Note: MDPI stays neutral with regard to jurisdictional claims in published maps and institutional affiliations. | 
© 2022 by the authors. Licensee MDPI, Basel, Switzerland. This article is an open access article distributed under the terms and conditions of the Creative Commons Attribution (CC BY) license (https://creativecommons.org/licenses/by/4.0/).
Share and Cite
Choi, W.-K.; Ha, S.; Kim, J.-C.; Park, J.-C.; Gong, A.; Kim, T.-W. Oxidation Damage Evolution in Low-Cycle Fatigue Life of Niobium-Stabilized Austenitic Stainless Steel. Materials 2022, 15, 4073. https://doi.org/10.3390/ma15124073
Choi W-K, Ha S, Kim J-C, Park J-C, Gong A, Kim T-W. Oxidation Damage Evolution in Low-Cycle Fatigue Life of Niobium-Stabilized Austenitic Stainless Steel. Materials. 2022; 15(12):4073. https://doi.org/10.3390/ma15124073
Chicago/Turabian StyleChoi, Wan-Kyu, Sangyul Ha, Jong-Cheon Kim, Jong-Cheon Park, Aokai Gong, and Tae-Won Kim. 2022. "Oxidation Damage Evolution in Low-Cycle Fatigue Life of Niobium-Stabilized Austenitic Stainless Steel" Materials 15, no. 12: 4073. https://doi.org/10.3390/ma15124073
APA StyleChoi, W.-K., Ha, S., Kim, J.-C., Park, J.-C., Gong, A., & Kim, T.-W. (2022). Oxidation Damage Evolution in Low-Cycle Fatigue Life of Niobium-Stabilized Austenitic Stainless Steel. Materials, 15(12), 4073. https://doi.org/10.3390/ma15124073
 
         
                                                

 
       