Numerical Study of Concrete Dynamic Splitting Based on 3D Realistic Aggregate Mesoscopic Model
Abstract
1. Introduction
2. Three-Dimensional Mesoscale Model
2.1. Generate Aggregate and Mesoscopic Structure
2.2. Generation of ITZ
- (1)
- Let be the (r ≥ 1) like surface defined on the area in the plane R2 of the parameter , and be the expansion factor on the same area.
- (2)
- Telescopic center: .
- (3)
- Stretch coefficient matrix: , , .
- (4)
- Then the relationship between the curved surface before deformation and the curved surface after deformation is:where E is the identity matrix; k is the fullness index, generally a positive integer, and 5 in the paper.
3. Establishment and Verification of Numerical Model
3.1. Generation of Finite Element Model
- (1)
- The initial material properties of all hexahedral elements are transformed into mortar;
- (2)
- When 8 nodes of the hexahedral element have more than m nodes located inside the aggregate, the material of the element is judged to be aggregate, and the value of m is set to 5;
- (3)
- When there are more than n nodes in the remaining mortar unit belonging to the ITZ layer, it is judged that the unit belongs to the ITZ layer, and the value of n is also set to 5.
3.2. Parameter Selection of Constitutive Model
3.3. Validation of Numerical Models
4. Simulation of Dynamic Splitting
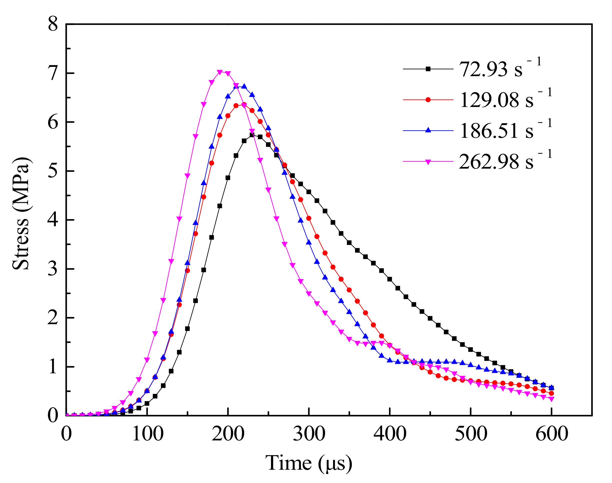
4.1. Stress Variation Characteristic
4.2. Mesoscopic Failure Process of Concrete
4.3. Effect of Material Strength of Each Phase on Mechanical Properties of Concrete
5. Conclusions
- Compared with spherical and convex polygon aggregates, we have obtained the fractal characteristics of realistic aggregates by the image processing algorithm, and based on this approach, generated a 3D mesoscopic geometric model that is more consistent with the realistic aggregate. Furthermore, the grid mapping method is used to generate the numerical model. By comparing the reflection and transmission waveform and failure process of concrete dynamic compression experiment, the validity of the mesoscopic structure model of concrete is verified.
- Based on the 3D mesoscopic model, we simulate the dynamic splitting of concrete and reproduce the rate correlation of its tensile strength, i.e., the larger the amplitude of incident wave is, the larger the amplitude of transmitted wave is. As can be seen from the dynamic failure process obtained by simulation, the failure occurs at the interfacial transition zone, then extends to the mortar, and the aggregates rarely fail. However, the increase of strain rate intensifies this process. When the strain rate increases from 72.93 s−1 to 186.51 s−1, a large number of aggregate elements are deleted due to reaching the failure threshold.
- The variation of tensile strengths of each phase component have the same effect on the dynamic tensile strength and energy of concrete. The dynamic tensile strength and energy of concrete are most affected by the tensile strength of mortar, followed by the ITZ, but the tensile strength of aggregate has almost no effect.
Author Contributions
Funding
Institutional Review Board Statement
Informed Consent Statement
Data Availability Statement
Conflicts of Interest
References
- YiLmaz, O.; Molinari, J.F. A mesoscale fracture model for concrete. Cem. Concr. Res. 2017, 97, 84–94. [Google Scholar] [CrossRef]
- Yu, T.; Qiu, X.M. Impact Dynamics; Tsinghua Univ. Press: Beijing, China, 2011. (In Chinese) [Google Scholar]
- Brara, A.; Klepaczko, J.R. Experimental characterization of concrete in dynamic tension. Mech. Mater. 2006, 38, 253–267. [Google Scholar] [CrossRef]
- Lv, T.H.; Chen, X.W.; Chen, G. Analysis on the waveform features of the split Hopkinson pressure bar tests of plain concrete specimen. Int. J. Impact Eng. 2017. [Google Scholar] [CrossRef]
- Forquin, B.E. Experiments and mesoscopic modelling of dynamic testing of concrete. Mech. Mater. 2011. [Google Scholar] [CrossRef]
- Chen, X.; Wu, S.; Zhou, J. Experimental and modeling study of dynamic mechanical properties of cement paste, mortar and concrete. Constr. Build. Mater. 2013, 47, 419–430. [Google Scholar] [CrossRef]
- Li, J.; Lu, Z.; Zhang, Q. Study on stochastic damage constitutive law for concrete material subjected to uniaxial compressive stress. J.-Tongji Univ. 2003, 31, 505–509. [Google Scholar]
- Pothnis, J.R.; Ravikumar, G.; Arya, H.; Yerramalli, C.S.; Naik, N.K. Stress Wave Attenuation in Aluminum Alloy and Mild Steel Specimens Under SHPB Tensile Testing. J. Mater. Eng. Perform. 2018. [Google Scholar] [CrossRef]
- Faiyadh, F.I.; Al-Ausi, M.A. Effect of elevated temperature on splitting tensile strength of fibre concrete. Int. J. Cem. Compos. Light. Concr. 1989, 11, 175–178. [Google Scholar] [CrossRef]
- Guo, Y.B.; Gao, G.F.; Jing, L.; Shim, V.P.W. Quasi-static and dynamic splitting of high-strength concretes–tensile stress–strain response and effects of strain rate. Int. J. Impact Eng. 2019, 125, 188–211. [Google Scholar] [CrossRef]
- Li, X.; Zhang, Y.; Shi, C.; Chen, X. Experimental and numerical study on tensile strength and failure pattern of high performance steel fiber reinforced concrete under dynamic splitting tension. Constr. Build. Mater. 2020, 259, 119796. [Google Scholar] [CrossRef]
- Lv, N.; Wang, H.; Zong, Q.; Wang, M.; Cheng, B. Dynamic tensile properties and energy dissipation of high-strength concrete after exposure to elevated temperatures. Materials 2020, 13, 5313. [Google Scholar] [CrossRef] [PubMed]
- Khosravani, M.R.; Silani, M.; Weinberg, K. Fracture studies of ultra-high performance concrete using dynamic Brazilian tests. Theor. Appl. Fract. Mech. 2018, 93, 302–310. [Google Scholar] [CrossRef]
- Paweł, D.; Stefan, B.; Marcin, C.; Beata, N. Finite element modeling of the dynamic properties of composite steel–polymer concrete beams. Materials 2020, 13, 1630. [Google Scholar]
- Valikhani, A.; Jahromi, A.J.; Mantawy, I.M.; Azizinamini, A. Numerical modelling of concrete-to-UHPC bond strength. Materials 2020, 13, 1379. [Google Scholar] [CrossRef]
- Sucharda, O. Identification of fracture mechanic properties of concrete and analysis of shear capacity of reinforced concrete beams without transverse reinforcement. Materials 2020, 13, 2788. [Google Scholar] [CrossRef]
- Jia, B.; Li, Z.L.; Tao, J.L.; Yao, H.C.; Fan, C. Research on numerical simulation of SHPB concrete tests. Chin. J. Solid Mech. 2010, S1, 216–222. [Google Scholar]
- Yu, D.X.; Zong, Z.H.; Li, M.H.; Liu, L.; Yuan, S.J. Numerical simulation of concrete SHPB test based on different material models. J. Southeast Univ. (Nat. Sci. Ed.) 2017, 47, 124–129. [Google Scholar]
- Shi, G.Y.; Wang, Z.L.; Shi, H. Experimental and numerical analysis of dynamic splitting behavior of C75 concrete. J. Harbin. Inst. Technol. 2019, 51, 109–116. [Google Scholar]
- Wittmann, F.H.; Roelfstra, P.E.; Sadouki, H. Simulation and analysis of composite structures. Mater. Sci. Eng. 1985, 68, 239–248. [Google Scholar] [CrossRef]
- Zhou, X.Q.; Hao, H. Mesoscale modelling of concrete tensile failure mechanism at high strain rates. Comput. Struct. 2008, 86, 2013–2026. [Google Scholar] [CrossRef]
- Zhou, X.Q.; Hao, H. Modelling of compressive behaviour of concrete-like materials at high strain rate. Int. J. Solids Struct. 2008, 45, 4648–4661. [Google Scholar] [CrossRef]
- Wang, X.F.; Yang, Z.J.; Yates, J.R.; Jivkov, A.P.; Zhang, C. Monte Carlo simulations of mesoscale fracture modelling of concrete with random aggregates and pores. Constr. Build. Mater. 2015, 75, 35–45. [Google Scholar] [CrossRef]
- Sun, H.; Gao, Y.; Zheng, X.; Chen, Y.; Jiang, Z.; Zhang, Z. Meso-Scale Simulation of Concrete Uniaxial Behavior Based on Numerical Modeling of CT Images. Materials 2019, 12, 3403. [Google Scholar] [CrossRef]
- Naderi, S.; Zhang, M. Meso-scale modelling of static and dynamic tensile fracture of concrete accounting for real-shape aggregates. Cem. Concr. Compos. 2021, 116, 103889. [Google Scholar] [CrossRef]
- Zhang, Y.; Wang, Z.; Zhang, J.; Zhou, F.; Wang, Z.; Li, Z. Validation and investigation on the mechanical behavior of concrete using a novel 3D mesoscale method. Materials 2019, 12, 2647. [Google Scholar] [CrossRef]
- Guo, R.; Ren, H.; Zhang, L.; Long, Z.; Jiang, X.; Wu, X.; Wang, H. Direct dynamic tensile study of concrete materials based on mesoscale model. Int. J. Impact Eng. 2020, 143, 103598. [Google Scholar] [CrossRef]
- Shahbeyk, S.; Hosseini, M.; Yaghoobi, M. Mesoscale finite element prediction of concrete failure. Comput. Mater. Sci. 2011, 50, 1973–1990. [Google Scholar] [CrossRef]
- Jin, L.; Hao, H.; Zhang, R.; Du, X. Determination of the effect of elevated temperatures on dynamic compressive properties of heterogeneous concrete: A meso-scale numerical study. Constr. Build. Mater. 2018, 188, 685–694. [Google Scholar] [CrossRef]
- Lv, T.H.; Chen, X.W.; Chen, G. The 3D meso-scale model and numerical tests of split Hopkinson pressure bar of concrete specimen. Constr. Build. Mater. 2018, 160, 744–764. [Google Scholar] [CrossRef]
- Liu, L.; Yang, N.; Lan, J.; Li, J. Image segmentation based on gray stretch and threshold algorithm. Optik (Stuttg) 2015, 126, 626–629. [Google Scholar] [CrossRef]
- Binder, B. Fractal Brownian motion and local “fraction” metric obtained by proper coordinate transformation of ordinary Brownian motion. Phys. Lett. A 1994, 196, 213–216. [Google Scholar] [CrossRef]
- Van Kreveld, M.; Löffler, M.; Silveira, R.I. Optimization for first order Delaunay triangulations. Comput. Geom. 2010, 43, 377–394. [Google Scholar] [CrossRef]
- Guinea, G.V.; El-Sayed, K.; Rocco, C.G.; Elices, M.; Planas, J. The effect of the bond between the matrix and the aggregates on the cracking mechanism and fracture parameters of concrete. Cem. Concr. Res. 2002, 32, 1961–1970. [Google Scholar] [CrossRef]
- Song, L.; Peng, G.; Hen, Y. Extension factor of free-form deformation for parametric surfaces on convex polygon region and experiment. Jisuanji Gongcheng Yu Yingyong (Computer Eng. Appl.) 2011, 47, 192–195. [Google Scholar]
- Xiao, J.; Li, W.; Corr, D.J.; Shah, S.P. Effects of interfacial transition zones on the stress–strain behavior of modeled recycled aggregate concrete. Cem. Concr. Res. 2013, 52, 82–99. [Google Scholar] [CrossRef]
- Chen, G.; Hao, Y.; Hao, H. 3D meso-scale modelling of concrete material in spall tests. Mater. Struct. 2015, 48, 1887–1899. [Google Scholar] [CrossRef]
- Kim, S.M.; Al-Rub, R.K.A. Meso-scale computational modeling of the plasticdamage response of cementitious composites. Cem. Concr. Res. 2011, 41, 339–358. [Google Scholar] [CrossRef]
- Pedersen, R.R.; Simone, A.; Sluys, L.J. Mesoscopic modeling and simulation of the dynamic tensile behavior of concrete. Cem. Concr. Res. 2013, 50, 74–87. [Google Scholar] [CrossRef]
- LSTC, LS-DYNA keyword user’s manual. Livermore Softw. Technol. Corp. 2007, 970, 299–800.
- Hao, Y.; Hao, H.; Zhang, X. Numerical analysis of concrete material properties at high strain rate under direct tension. Int. J. Impact Eng. 2012, 39, 51–62. [Google Scholar] [CrossRef]
- Gomez, J.T.; Shukla, A.; Sharma, A. Static and dynamic behavior of concrete and granite in tension with damage. Theor. Appl. Fract. Mech. 2001, 36, 37–49. [Google Scholar] [CrossRef]
- Li, X.B. Rock Dynamics Fundamentals and Applications; Science Press: Beijing, China, 2014. [Google Scholar]
- Ren, J. Study on the Change Law of the Dynamic Strength of Concrete Based on Energy and Microscopic Stress Analysis. Ph.D. Thesis, Xi’an University of Technology, Xi’an, China, 2012. [Google Scholar]
- Xia, K.; Yao, W.; Wu, B. Dynamic rock tensile strengths of Laurentian granite: Experimental observation and micromechanical model. J. Rock Mech. Geotech. Eng. 2017, 9, 116–124. [Google Scholar] [CrossRef]
- Xia, K.; Yao, W. Dynamic rock tests using split Hopkinson (Kolsky) bar system—A review. J. Rock Mech. Geotech. Eng. 2015, 7, 27–59. [Google Scholar] [CrossRef]












| Parameter | Value | Parameter | Value |
|---|---|---|---|
| Density ρ (kg/m3) | 2200 | Compressive damage scaling parameter | 1.6 |
| Poisson ratio | 0.19 | Unit conversion factor for stress | 145 |
| Compressive strength (MPa) | 50 | Tensile damage scaling exponent | 1.35 |
| Uniaxial tensile strength (MPa) | 4.0 | Residual failure surface coefficient | 236.6 |
| Maximum shear failure surface parameter A0 | 1.47 × 10−4 | Initial yield surface coefficient | 515.0 |
| Maximum shear failure surface parameter A1 | 0.446 | Maximum shear failure surface parameter A2 | 161.6 |
| Parameter | Value | Parameter | Value |
|---|---|---|---|
| Density ρ (kg/m3) | 1800 | Compressive damage scaling parameter | 1.6 |
| Poisson ratio | 0.19 | Unit conversion factor for stress | 145 |
| Compressive strength (MPa) | 35 | Tensile damage scaling exponent | 1.35 |
| Uniaxial tensile strength (MPa) | 3.2 | Residual failure surface coefficient | 338.0 |
| Maximum shear failure surface parameter A0 | 1.03 × 10−4 | Initial yield surface coefficient | 735.7 |
| Maximum shear failure surface parameter A1 | 0.446 | Maximum shear failure surface parameter A2 | 230.9 |
| Parameter | Value | Parameter | Value |
|---|---|---|---|
| Density ρ (kg/m3) | 2660 | Normalized maximum strength SFMAX | 4 |
| Shear modulus G (GPa) | 21.5 | Crushing pressure Pcrush (MPa) | 53 |
| Normalized cohesive strength A | 0.9 | Crushing volumetric strain μcrush | 0.0012 |
| Normalize pressure hardening B | 2 | Locking pressure Plock (MPa) | 800 |
| Pressure hardening exponent N | 0.65 | Locking volumetric strain μlock | 0.01 |
| Strain rate coefficient C | 0.1 | Damage constant D1 | 0.08 |
| uniaxial compressive strength fc (MPa) | 160 | Damage constant D2 | 1.0 |
| Maximum tensile pressure ft (MPa) | 10 | Pressure contant K1 (MPa) | 1.4 × 104 |
| Amount of plastic strain before fracture EFMIN | 0.01 | Pressure contant K2 (MPa) | −20 × 105 |
| Maximum principal strain at failure MXEPS | 0.1 | Pressure contant K3 (MPa) | 25 × 105 |
Publisher’s Note: MDPI stays neutral with regard to jurisdictional claims in published maps and institutional affiliations. |
© 2021 by the authors. Licensee MDPI, Basel, Switzerland. This article is an open access article distributed under the terms and conditions of the Creative Commons Attribution (CC BY) license (https://creativecommons.org/licenses/by/4.0/).
Share and Cite
Yu, Q.; Chen, Z.; Yang, J.; Rong, K. Numerical Study of Concrete Dynamic Splitting Based on 3D Realistic Aggregate Mesoscopic Model. Materials 2021, 14, 1948. https://doi.org/10.3390/ma14081948
Yu Q, Chen Z, Yang J, Rong K. Numerical Study of Concrete Dynamic Splitting Based on 3D Realistic Aggregate Mesoscopic Model. Materials. 2021; 14(8):1948. https://doi.org/10.3390/ma14081948
Chicago/Turabian StyleYu, Qi, Zhanyang Chen, Jun Yang, and Kai Rong. 2021. "Numerical Study of Concrete Dynamic Splitting Based on 3D Realistic Aggregate Mesoscopic Model" Materials 14, no. 8: 1948. https://doi.org/10.3390/ma14081948
APA StyleYu, Q., Chen, Z., Yang, J., & Rong, K. (2021). Numerical Study of Concrete Dynamic Splitting Based on 3D Realistic Aggregate Mesoscopic Model. Materials, 14(8), 1948. https://doi.org/10.3390/ma14081948
