Synthesis and Characterisation of Nanocomposite Mo-Fe-B Thin Films Deposited by Magnetron Sputtering
Abstract
1. Introduction
2. Materials and Methods
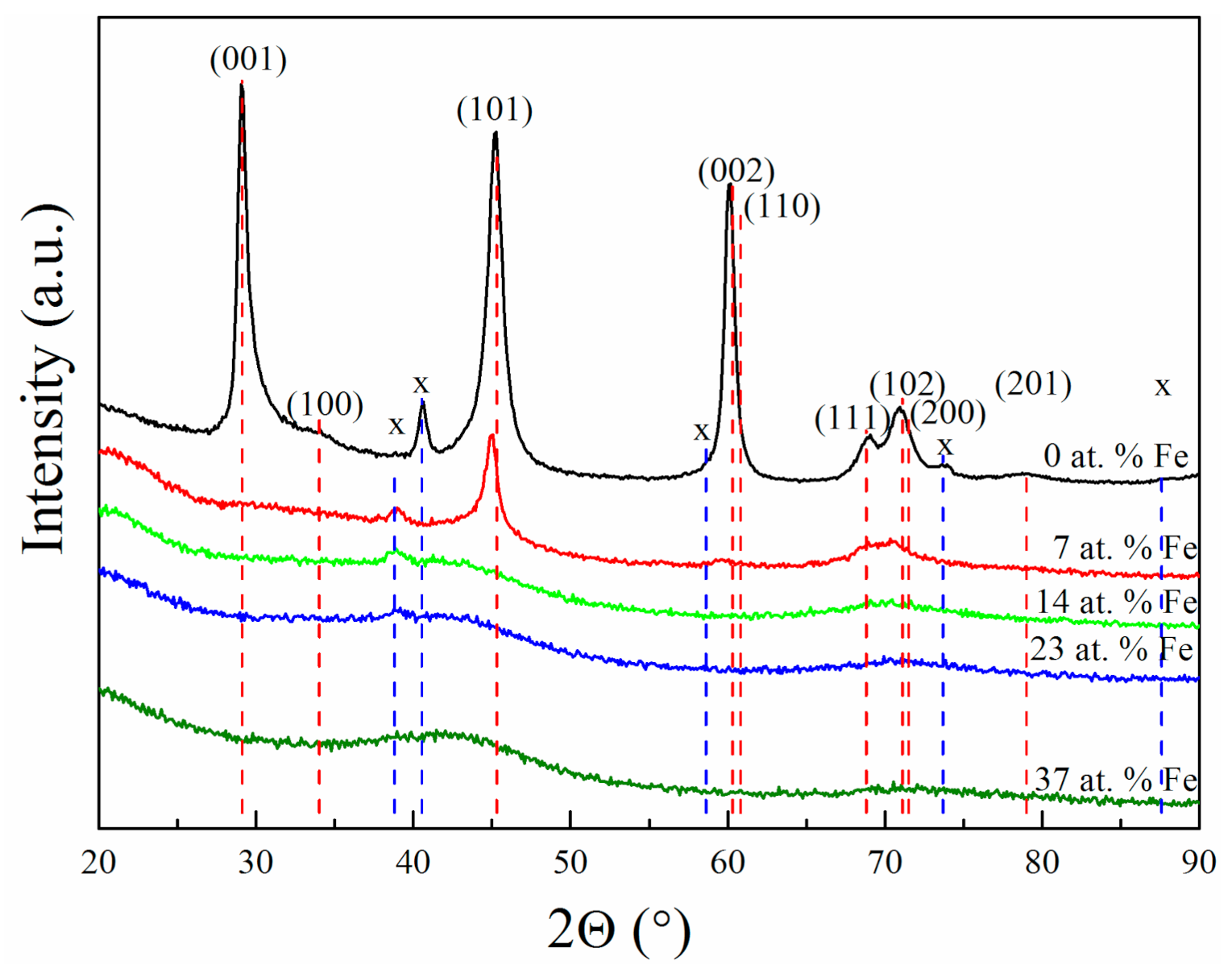
3. Results and Discussion
4. Conclusions
Author Contributions
Funding
Institutional Review Board Statement
Informed Consent Statement
Data Availability Statement
Acknowledgments
Conflicts of Interest
References
- Mayrhofer, P.H.; Mitterer, C.; Wen, J.G.; Greene, J.E.; Petrov, I. Self-organized nanocolumnar structure in superhard TiB2 thin films. Appl. Phys. Lett. 2005, 86, 131909. [Google Scholar] [CrossRef]
- Nedfors, N.; Tengstrand, O.; Lu, J.; Eklund, P.; Persson, P.O.Å.; Hultman, L.; Jansson, U. Surface & coatings technology Superhard NbB2-x thin films deposited by dc magnetron sputtering. Surf. Coat. Technol. 2014, 257, 295–300. [Google Scholar] [CrossRef]
- Mitterer, C. Borides in thin film technology. J. Solid State Chem. 1997, 133, 279–291. [Google Scholar] [CrossRef]
- Fuger, C.; Schwartz, B.; Wojcik, T.; Moraes, V.; Weiss, M.; Limbeck, A.; Macauley, C.A.; Hunold, O.; Polcik, P.; Primetzhofer, D.; et al. Influence of Ta on the oxidation resistance of WB2−z coatings. J. Alloy. Compd. 2020, 864, 158121. [Google Scholar] [CrossRef]
- Ivanovskii, A.L. Mechanical and electronic properties of diborides of transition 3d-5d metals from first principles: Toward search of novel ultra-incompressible and superhard materials. Prog. Mater. Sci. 2012, 57, 184–228. [Google Scholar] [CrossRef]
- Bakhit, B.; Dorri, S.; Kooijman, A.; Wu, Z.; Lu, J.; Rosen, J.; Mol, J.M.C.; Hultman, L.; Petrov, I.; Greene, J.E.; et al. Multifunctional ZrB2-rich Zr1-xCrxBy thin films with enhanced mechanical, oxidation, and corrosion properties. Vacuum 2021, 185, 109990. [Google Scholar] [CrossRef]
- Mayrhofer, P.H.; Mitterer, C.; Hultman, L.; Clemens, H. Microstructural design of hard coatings. Prog. Mater. Sci. 2006, 51, 1032–1114. [Google Scholar] [CrossRef]
- Malinovskis, P.; Palisaitis, J.; Persson, P.O.Å.; Lewin, E.; Jansson, U. Synthesis and characterization of MoB2-x thin films grown by nonreactive DC magnetron sputtering. J. Vac. Sci. Technol. A Vac. Surf. Film. 2016, 34, 031511. [Google Scholar] [CrossRef]
- Feng, S.Q.; Guo, F.; Li, J.Y.; Wang, Y.Q.; Zhang, L.M.; Cheng, X.L. Theoretical investigations of physical stability, electronic properties and hardness of transition-metal tungsten borides WB x (x = 2.5, 3). Chem. Phys. Lett. 2015, 635, 205–209. [Google Scholar] [CrossRef]
- Moraes, V.; Riedl, H.; Fuger, C.; Bolvardi, H.; Polcik, P.; Holec, D.; Mayrhofer, P.H. Ab-initio inspired design of ternary boride thin films. Sci. Rep. 2018, 9288. [Google Scholar] [CrossRef]
- Vajeeston, P.; Ravindran, P.; Ravi, C.; Asokamani1, R. Electronic structure, bonding, and ground-state properties of AlB_{2}-type transition-metal diborides. Phys. Rev. B 2001, 63, 1–12. [Google Scholar] [CrossRef]
- Ivanovskii, A.L.; Shein, I.R.; Medvedeva, N.I. Non-stoichiometric s-, p- and d-metal diborides: Synthesis, properties and simulation. Russ. Chem. Rev. 2008, 77, 467–486. [Google Scholar] [CrossRef]
- Moraes, V.; Fuger, C.; Paneta, V.; Primetzhofer, D.; Polcik, P.; Bolvardi, H.; Arndt, M.; Riedl, H.; Mayrhofer, P.H. Substoichiometry and tantalum dependent thermal stability of α-structured W-Ta-B thin films. Scr. Mater. 2018, 155, 5–10. [Google Scholar] [CrossRef]
- Zhang, M.; Wang, H.; Wang, H.; Cui, T.; Ma, Y. Structural modifications and mechanical properties of molybdenum borides from first principles. J. Phys. Chem. C 2010, 114, 6722–6725. [Google Scholar] [CrossRef]
- Euchner, H.; Mayrhofer, P.H. Designing thin film materials—Ternary borides from first principles. Thin Solid Film. 2015, 583, 46–49. [Google Scholar] [CrossRef]
- Alling, B.; Högberg, H.; Armiento, R.; Rosen, J.; Hultman, L. A theoretical investigation of mixing thermodynamics, age-hardening potential, and electronic structure of ternary M11–xM2xB2 alloys with AlB2 type structure. Sci. Rep. 2015, 5, 9888. [Google Scholar] [CrossRef]
- Euchner, H.; Mayrhofer, P.H.; Riedl, H.; Klimashin, F.F.; Limbeck, A.; Polcik, P.; Kolozsvari, S. Solid solution hardening of vacancy stabilized TixW1-xB2. Acta Mater. 2015, 101, 55–61. [Google Scholar] [CrossRef]
- Mayrhofer, P.H.; Kirnbauer, A.; Ertelthaler, P.; Koller, C.M. High-entropy ceramic thin films; A case study on transition metal diborides. Scr. Mater. 2018, 149, 93–97. [Google Scholar] [CrossRef]
- Fuger, C.; Moraes, V.; Hahn, R.; Bolvardi, H.; Polcik, P.; Riedl, H.; Mayrhofer, P.H. Influence of Tantalum on phase stability and mechanical properties of WB 2. MRS Commun. 2019, 9, 375–380. [Google Scholar] [CrossRef]
- He, T.; Jiang, Y.; Zhou, R.; Feng, J. The electronic structure, mechanical and thermodynamic properties of Mo 2 XB 2 and MoX 2 B 4 (X = Fe, Co, Ni) ternary borides. J. Appl. Phys. 2015, 118, 075902. [Google Scholar] [CrossRef]
- Wang, L.; Bangwie, Z.; Ge, Y.; Yifang, O.; Wangyu, H. Structure and crystallization of amorphous Fe-Mo-B alloys obtained by electroless plating. J. Alloys Compd. 1997, 255, 231–235. [Google Scholar] [CrossRef]
- Oliver, W.C.; Pharr, G.M. An improved technique for determining hardness and elastic modulus using load and displacement sensing indentation experiments. J. Mater. Res. 2011, 7, 1564–1583. [Google Scholar] [CrossRef]
- Janssen, G.C.A.M.; Abdalla, M.M.; van Keulen, F.; Pujada, B.R.; van Venrooy, B. Celebrating the 100th anniversary of the Stoney equation for film stress: Developments from polycrystalline steel strips to single crystal silicon wafers. Thin Solid Film. 2009, 517, 1858–1867. [Google Scholar] [CrossRef]
- Okada, S.; Atoda, T.; Higashi, I.; Takahashi, Y. Preparation of single crystals of MoB2 by the aluminium-flux technique and some of their properties. J. Mater. Sci. 1987, 22, 2993–2999. [Google Scholar] [CrossRef]
- Bolvardi, H.; Emmerlich, J.; Mráz, S.; Arndt, M.; Rudigier, H.; Schneider, J.M. Low temperature synthesis of Mo2BC thin films. Thin Solid Film. 2013, 542, 5–7. [Google Scholar] [CrossRef]
- Schnabel, V.; Köhler, M.; Music, D.; Bednarcik, J.; Clegg, W.J.; Raabe, D.; Schneider, J.M. Ultra-stiff metallic glasses through bond energy density design. J. Phys. Condens. Matter 2017, 29. [Google Scholar] [CrossRef]
- Dehlinger, A.S.; Pierson, J.F.; Roman, A.; Bauer, P. Properties of iron boride films prepared by magnetron sputtering. Surf. Coat. Technol. 2003, 174–175, 331–337. [Google Scholar] [CrossRef]
- Kontis, P.; Köhler, M.; Evertz, S.; Chen, Y.T.; Schnabel, V.; Soler, R.; Bednarick, J.; Kirchlechner, C.; Dehm, G.; Raabe, D.; et al. Nano-laminated thin film metallic glass design for outstanding mechanical properties. Scr. Mater. 2018, 155, 73–77. [Google Scholar] [CrossRef]
- Akiyama, S.; Nakagawa, S.; Naoe, M.; Conductive, E.; Of, L.; For, A.; Magnetic, P.; Tape, R. Electrically conductive layer of wear-resistant Fe-Mo-B alloy for protecting magnetic recording tape. IEEE Trans. Magn. 1991, 27, 5094–5096. [Google Scholar] [CrossRef]
- Dahlqvist, M.; Jansson, U.; Rosen, J. Influence of boron vacancies on phase stability, bonding and structure of MB 2 (M = Ti, Zr, Hf, V, Nb, Ta, Cr, Mo, W) with AlB2 type structure. J. Phys. Condens. Matter 2015, 27, 435702. [Google Scholar] [CrossRef]
- Yao, J.H.; Hostert, C.; Music, D.; Frisk, A.; Björck, M.; Schneider, J.M. Synthesis and mechanical properties of Fe-Nb-B thin-film metallic glasses. Scr. Mater. 2012, 67, 181–184. [Google Scholar] [CrossRef]
- Musil, J.; Kunc, F.; Zeman, H.; Poláková, H. Relationships between hardness, Young’s modulus and elastic recovery in hard nanocomposite coatings. Surf. Coat. Technol. 2002, 154, 304–313. [Google Scholar] [CrossRef]




| Fe Target Current (mA) | Composition (at.%) | B/Mo Ratio | H (GPa) | E (GPa) | |||
|---|---|---|---|---|---|---|---|
| Mo | B | Fe | O | ||||
| 0 | 37 | 62 | - | ≤2 | 1.65 | 29.1 ± 1.9 | 526 ± 26 |
| 12 | 34 | 58 | 7 | ≤1 | 1.68 | 22.2 ± 0.8 | 422 ± 10 |
| 25 | 30 | 55 | 14 | ≤1 | 1.68 | 21.2 ± 1.0 | 395 ± 19 |
| 40 | 27 | 49 | 23 | ≤1 | 1.62 | 20. 8± 1.0 | 377 ± 15 |
| 75 | 23 | 39 | 37 | ≤1 | 1.58 | 18.7 ± 0.6 | 353 ± 11 |
Publisher’s Note: MDPI stays neutral with regard to jurisdictional claims in published maps and institutional affiliations. |
© 2021 by the authors. Licensee MDPI, Basel, Switzerland. This article is an open access article distributed under the terms and conditions of the Creative Commons Attribution (CC BY) license (https://creativecommons.org/licenses/by/4.0/).
Share and Cite
Malinovskis, P.; Fritze, S.; Palisaitis, J.; Lewin, E.; Patscheider, J.; Persson, P.O.Å.; Jansson, U. Synthesis and Characterisation of Nanocomposite Mo-Fe-B Thin Films Deposited by Magnetron Sputtering. Materials 2021, 14, 1739. https://doi.org/10.3390/ma14071739
Malinovskis P, Fritze S, Palisaitis J, Lewin E, Patscheider J, Persson POÅ, Jansson U. Synthesis and Characterisation of Nanocomposite Mo-Fe-B Thin Films Deposited by Magnetron Sputtering. Materials. 2021; 14(7):1739. https://doi.org/10.3390/ma14071739
Chicago/Turabian StyleMalinovskis, Paulius, Stefan Fritze, Justinas Palisaitis, Erik Lewin, Jörg Patscheider, Per O. Å. Persson, and Ulf Jansson. 2021. "Synthesis and Characterisation of Nanocomposite Mo-Fe-B Thin Films Deposited by Magnetron Sputtering" Materials 14, no. 7: 1739. https://doi.org/10.3390/ma14071739
APA StyleMalinovskis, P., Fritze, S., Palisaitis, J., Lewin, E., Patscheider, J., Persson, P. O. Å., & Jansson, U. (2021). Synthesis and Characterisation of Nanocomposite Mo-Fe-B Thin Films Deposited by Magnetron Sputtering. Materials, 14(7), 1739. https://doi.org/10.3390/ma14071739

