Solid Peroxy Compounds as Additives to Organic Waste for Reclamation of Post-Industrial Contaminated Soils
Abstract
1. Introduction
2. Materials and Methods
2.1. Poultry Manure and Soils
2.2. Chemical Reagents
2.3. Preparation of Soil Blends
2.4. Analytical Procedures
2.5. Phytotoxicity Tests
2.6. Statistical Analysis
3. Results and Discussion
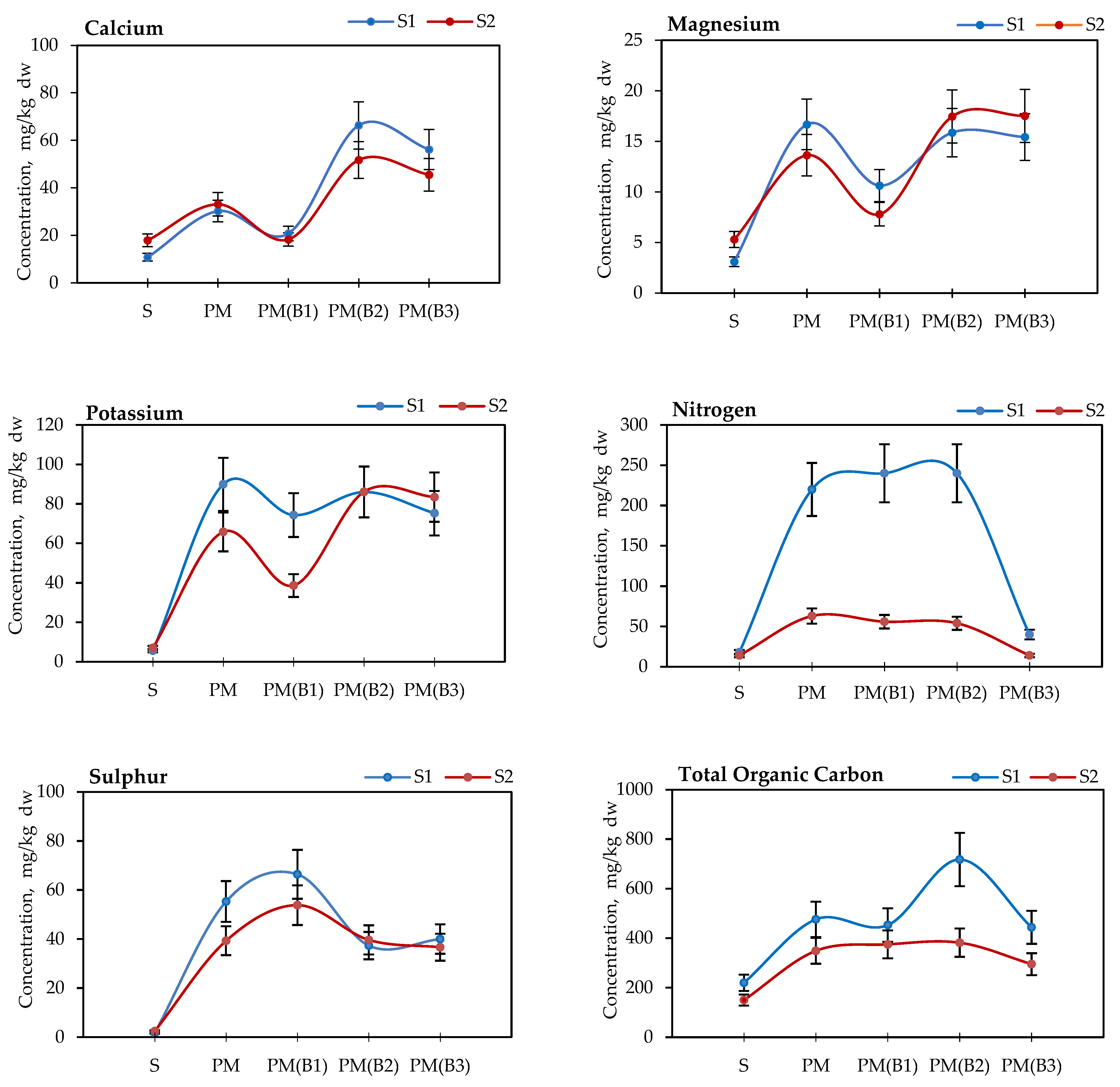
3.1. Physicochemical Characteristic of Soil Leachates
3.2. Statistical Analysis
3.3. Results of Phytotoxicity Tests
4. Conclusions
Author Contributions
Funding
Institutional Review Board Statement
Informed Consent Statement
Data Availability Statement
Acknowledgments
Conflicts of Interest
References
- Zhang, Y.H.; Xue, C.M.; Guo, C.H. Application sodium percarbonate to oxidative degradation trichloroethylene contamination in groundwater. Procedia Environ. Sci. 2011, 10, 1668–1673. [Google Scholar] [CrossRef]
- Lu, S.; Zhang, X.; Xue, Y. Application of calcium peroxide in water and soil treatment: A review. J. Hazard. Mater. 2017, 337, 163–177. [Google Scholar] [CrossRef]
- Thomas, M.; Białecka, B.; Zdebik, D. Treatment of wastewater from the photochemical production of printed circuit boards by using Fenton reagent after addition of disodium percarbonate. Przem. Chem. 2015, 94, 924–929. [Google Scholar] [CrossRef]
- Thomas, M.; Białecka, B.; Zdebik, D. Treatment of wastewater from the photochemical production of printed circuit boards by using Fenton reagent after addition of calcium peroxide. Przem. Chem. 2016, 95, 2264–2269. [Google Scholar] [CrossRef]
- Mosmeri, H.; Alaie, E.; Shavandi, M.; Dastgheib, S.M.M.; Tasharrofi, S. Bioremediation of benzene from groundwater by calcium peroxide (CaO2) nanoparticles encapsulated in sodium alginate. J. Taiwan Inst. Chem. Eng. 2017, 78, 299–306. [Google Scholar] [CrossRef]
- López, D.A.R.; Mueller, D. Use of calcium peroxide in bioremediation of soils contamined with hydrocarbons. Cad. Pesqui. Ser. Biol. 2009, 21, 61–72. [Google Scholar]
- Małachowska-Jutsz, A.; Niesler, M. The effect of calcium peroxide on the phenol oxidase and acid phosphatase activity and removal of fluoranthene from soil. Water Air Soil Pollut. 2015, 226, 365. [Google Scholar] [CrossRef]
- Pesman, E.; Imamoglu, S.; Kalyoncu, E.E.; Kirci, H. The effects of sodium percarbonate and perborate usage on pulping and flotation deinking instead of hydrogen peroxide. BioResources 2014, 9, 523–536. [Google Scholar] [CrossRef]
- Viisimaa, M.; Goi, A. Use of hydrogen peroxide and percarbonate to treat chlorinated aromatic hydrocarbon-contaminated soil. J. Environ. Eng. Landsc. Manag. 2014, 22, 30–39. [Google Scholar] [CrossRef]
- Goi, A.; Viisimaa, M.; Trapido, M.; Munter, R. Polychlorinated biphenyls-containing electrical insulating oil contaminated soil treatment with calcium and magnesium peroxides. Chemosphere 2011, 82, 1196–1201. [Google Scholar] [CrossRef]
- Więckol-Ryk, A.; Białecka, B.; Thomas, M. Effect of Green Oxidizing Agent on Inhibition of Escherichia coli Present in Livestock Wastes. Water Air Soil Pollut. 2020, 231, 466. [Google Scholar] [CrossRef]
- Więckol-Ryk, A.; Thomas, M. Białecka, Application of calcium peroxide as an environmentally friendly oxidant to reduce pathogens in organic fertilizers and its impact on phosphorus bioavailability. Arch. Environ. Prot. 2020, 46, 42–53. [Google Scholar] [CrossRef]
- Minister of Agriculture and Rural Development Regulation of 18 June 2008 on the implementation of certain provisions of fertilizers and fertilization. J. Law Pol. 2008, 119, 6515–6520.
- Sladdin, M.; Lynch, J. Effect of calcium peroxide, lime and other seed dressings on winter wheat establishment under wet conditions. Crop. Prot. 1983, 2, 113–119. [Google Scholar] [CrossRef]
- Maguire, R.O.; Hesterberg, D.; Gernat, A.; Anderson, K.; Wineland, M.; Grimes, J. Liming Poultry Manures to Decrease Soluble Phosphorus and Suppress the Bacteria Population. J. Environ. Qual. 2006, 35, 849–857. [Google Scholar] [CrossRef] [PubMed]
- Popova, T.P.; Marinova-Garvanska, S.M.; Dobromirova Kaleva, M.; Zaharinov, B.S.; Gencheva, A.B.; Baykov, D.B. Decontamination of sewage sludge by treatment with calcium oxide. Int. J. Curr. Microbiol. Appl. Sci. 2014, 3, 184–192. [Google Scholar]
- Walawska, B.; Gluzińska, J.; Miksch, K.; Turek-Szytow, J. Solid inorganic peroxy compounds in environmental protection. Pol. J. Chem. Technol. 2007, 9, 68–72. [Google Scholar] [CrossRef]
- Ropp, R.C. Encyclopedia of the Alkaline Earth Compounds. Chapter 3 Group 16 (O, S, Se, Te) Alkaline Earth Compounds; Elseviere: Oxford, UK, 2013; pp. 105–197. [Google Scholar] [CrossRef]
- United States Department of Agriculture. Agricultural Marketing Service. In Sodium Carbonate Peroxyhydrate; Technical Evaluation Report; Washington, DC, USA, 2014. Available online: https://www.ams.usda.gov/sites/default/files/media/Sodium%20Carbonate%20Peroxyhydrate%20TR%202014.pdf (accessed on 15 November 2021).
- United States Environmental Protection Agency. Office of Pesticide Programs. In Biopesticides Registration Action Document. Sodium Carbonate Peroxyhydrate (PC Code 128860); Office of Pesticide Programs, Biopesticides and Pollution Prevention Division: Washington, DC, USA, 2002. Available online: https://www3.epa.gov/pesticides/chem_search/reg_actions/registration/decision_PC-128860_16-Sep-02.pdf (accessed on 15 November 2021).
- Ma, Y. Seed coating with beneficial microorganisms for precision agriculture. Biotechnol. Adv. 2019, 37, 107423. [Google Scholar] [CrossRef]
- Mei, J.; Wang, W.; Peng, S.; Nie, L. Seed Pelleting with Calcium Peroxide Improves Crop Establishment of Direct-seeded Rice under Waterlogging Conditions. Sci. Rep. 2017, 7, 4878. [Google Scholar] [CrossRef]
- Javed, T.; Afzal, I.; Mauro, R.P. Seed coating in direct seeded rice: An innovative and sustainable approach to enhance grain yield and weed management under submerged conditions. Sustainability 2021, 13, 2190. [Google Scholar] [CrossRef]
- Biswas, J.K.; Ando, H.; Kakuda, K.I.; Purwanto, B.H. Effect of calcium peroxide coating, soil source, and genotype on rice (Oryza sativa L.) seedling establishment under hypoxic conditions. Soil Sci. Plant. Nutr. 2001, 47, 477–488. [Google Scholar] [CrossRef][Green Version]
- Hansen, R.C.; Keener, H.M.; Hoitink, H.A.J. Poultry manure composting. An exploratory study. Trans. Am. Soc. Agric. Eng. 1989, 32, 2151–2158. [Google Scholar] [CrossRef]
- Chastain, J.P.; Camberato, J.J.; Skewes, P. Poultry Manure Production and Nutrient Content. In Chapter 3b in: Confined Animal Manure Managers Certification Program Manual B Poultry Version; Clemson University Cooperative Extension Service: Clemson, SC, USA, 2001; Volume 2, pp. 1–17. [Google Scholar]
- Irshad, M.; Malik, A.H.; Shaukat, S.; Mushtaq, S.; Ashraf, M. Characterization of Heavy Metals in Livestock Manures. Pol. J. Environ. Stud. 2013, 22, 1257–1262. [Google Scholar]
- Mawdsley, J.L.; Bardgett, R.D.; Merry, R.J.; Pain, B.F.; Theodorou, M.K. Pathogens in livestock waste, their potential for movement through soil and environmental pollution. Appl. Soil Ecol. 1995, 2, 1–15. [Google Scholar] [CrossRef]
- Bicudo, J.R.; Goyal, S.M. Pathogens and manure management systems: A review. Environ. Technol. 2003, 24, 115–130. [Google Scholar] [CrossRef] [PubMed]
- Nicholson, F.A.; Groves, S.J.; Chambers, B.J. Pathogen survival during livestock manure storage and following land application. Bioresour. Technol. 2005, 96, 135–143. [Google Scholar] [CrossRef]
- Chen, Z.; Jiang, X. Microbiological Safety of Chicken Litter or Chicken Litter-Based Organic Fertilizers: A Review. Agriculture 2014, 4, 1–29. [Google Scholar] [CrossRef]
- Viegas, C.; Carolino, E.; Malta-Vacas, J.; Sabino, R.; Viegas, S.; Veríssimo, C. Fungal contamination of poultry litter: A public health problem. J. Toxicol. Environ. Health Part. A 2012, 75, 1341–1350. [Google Scholar] [CrossRef]
- Unc, A.; Goss, M.J. Transport of bacteria from manure and protection of water resources. Appl. Soil Ecol. 2004, 25, 1–18. [Google Scholar] [CrossRef]
- Kelleher, B.P.; Leahy, J.J.; Henihan, A.; O’Dwyer, T.; Sutton, D.; Leahy, M. Advances in poultry litter disposal technology—A review. Bioresour. Technol. 2002, 83, 27–36. [Google Scholar] [CrossRef]
- Heinonen-Tanski, H.; Mohaibes, M.; Karinen, P.; Koivunen, J. Methods to reduce pathogen microorganisms in manure. Livest. Sci. 2006, 102, 248–255. [Google Scholar] [CrossRef]
- European Lime Association. Practical Guidelines on the Use of Lime for the Prevention and Control of Avian Influenza, Foot and Mouth Disease and Other Infectious Diseases; European Lime Association: Brussels, Belgium, 2009. [Google Scholar]
- Więckol-Ryk, A.; Thomas, M.; Białecka, B. Improving the properties of degraded soils from industrial areas by using livestock waste with calcium peroxide as a green oxidizer. Materials 2021, 14, 3132. [Google Scholar] [CrossRef]
- International Organization for Standardization. Soil Quality—Determination of the Toxic Effects of Pollutants on Germination and Early Growth of Higher; Plants Standard No. EN ISO 18763; International Organization for Standardization: Geneva, Switzerland, 2016. [Google Scholar]
- Malej, J. Properties of sewage sludge and selected methods of their neutralisation, processing and utilisation. Annu. Set Environ. Prot. 2000, 2, 69–101. [Google Scholar]
- Polish Committee for Standardization. Characterizations of Waste-Leaching-Compliance Test for Leaching of Granular Waste Materials and Sludges—Part 4: One Stage Batch Test at a Liquid to Solid Ratio of 10 l/kg for Materials with Particle Size below 10 mm (without or with Size Reduction); Standard No. PN EN 12457-4; Polish Committee for Standardization: Warsaw, Poland, 2006. [Google Scholar]
- Tyszkiewicz, Z.; Czubaszek, R.; Roj-Rojewski, S. Basic Methods of Laboratory Soil Analysis; Bialystok University of Technology: Bialystok, Poland, 2019; ISBN 9788365596895. [Google Scholar] [CrossRef]
- International Organization for Standardization. Water Quality-Determination of Phosphorus-Ammonium Molybdate Spectrometric Method; Standard No. EN ISO 6878; International Organization for Standardization: Geneva, Switzerland, 2004. [Google Scholar]
- Ghaly, A.E.; Singh, R.K. Laboratory evaluation of the pollution potential of land applied dairy manure. Waste Manag. 1991, 11, 307–318. [Google Scholar] [CrossRef]
- Ghaly, A.E.; Alhattab, M. Drying poultry manure for pollution potential reduction and production of organic fertilizer. Am. J. Environ. Sci. 2013, 9, 88–102. [Google Scholar] [CrossRef]
- Dojlido, J. Surface Water Chemistry; The Foundation of Environmental and Resource Economists: Bialystok, Poland, 1995; ISBN 83-85792-22-8. [Google Scholar]
- Potarzycki, J. Forms of phosphorus in long-lasting soils ferilization with mineral and organic fertilizers. In International Scientific-Research Seminar-Chemistry for Agriculture; Velke Losiny, Czech Republic, 2000; pp. 69–76.
- Cho, I.; Lee, K. Effect of calcium peroxide on the growth and proliferation of Microcystis aerusinosa, a water-blooming cyanobacterium. Biotechnol. Bioprocess. Eng. 2002, 7, 231–233. [Google Scholar] [CrossRef]
- He, M.; Shi, H.; Zhao, X.; Yu, Y.; Qu, B. Immobilization of Pb and Cd in Contaminated Soil Using Nano-Crystallite Hydroxyapatite. Procedia Environ. Sci. 2013, 18, 657–665. [Google Scholar] [CrossRef]
- Zhang, Y.; Zhang, H.; Wang, M.; Zhang, Z.; Marhaba, T.; Sun, C.; Zhang, W. In situ immobilization of heavy metals in contaminated sediments by composite additives of hydroxyapatite and oxides. Environ. Earth Sci. 2019, 78, 94. [Google Scholar] [CrossRef]
- Brown, S.; Christensen, B.; Lombi, E.; McLaughlin, M.; McGrath, S.; Colpaert, J.; Vangronsveld, J. An inter-laboratory study to test the ability of amendments to reduce the availability of Cd, Pb, and Zn in situ. Environ. Pollut. 2005, 138, 34–45. [Google Scholar] [CrossRef]
- Cao, X.; Ma, L.Q.; Singh, S.P.; Zhou, Q. Phosphate-induced lead immobilization from different lead minerals in soils under varying pH conditions. Environ. Pollut. 2008, 152, 184–192. [Google Scholar] [CrossRef]
- Wei, W.; Han, X.; Shao, Y.; Xie, W.; Zhang, Y.; Yao, Y.; Zhao, W.; Han, R.; Li, S.; Zheng, C. Comparing the effects of humic acid and oxalic acid on Pb(II) immobilization by a green synthesized nanocrystalline hydroxyapatite. Chemosphere 2021, 285, 131411. [Google Scholar] [CrossRef] [PubMed]
- Cao, X.; Ma, L.Q. Effects of compost and phosphate on plant arsenic accumulation from soils near pressure-treated wood. Environ. Pollut. 2004, 132, 435–442. [Google Scholar] [CrossRef] [PubMed]
- Karczewska, A. Protection and Reclamation of Degraded Areas; Wroclaw University of Environmental and Life Science: Wroclaw, Poland, 2012. [Google Scholar]
- De La Calle, R.G.; Gimeno, O.; Rivas, J. Percarbonate as a hydrogen peroxide carrier in soil remediation processes. Environ. Eng. Sci. 2012, 29, 951–956. [Google Scholar] [CrossRef]
- Ministry of Environment. Regulation of 5 September 2016 on the manner of conducting the assessment of land surface pollution. J. Law. Pol. 2016, 1395, 1–86. [Google Scholar]
- Republic of South Africa. Department of Agriculture, Forestry & Fisheries. Sorghum Production Guideline. Pretoria, South Africa 2010. Available online: https://www.nda.agric.za/docs/brochures/prodguidesorghum.pdf (accessed on 15 November 2021).
- Małachowska-Jutsz, A.; Turek-Szytow, J.; Miksch, K. Effect of calcium peroxide on zootoxity in fluoranthene-contaminated soil. Przem. Chem. 2014, 93, 2197–2200. [Google Scholar] [CrossRef]






| Parameter | |||||||||||||||||
|---|---|---|---|---|---|---|---|---|---|---|---|---|---|---|---|---|---|
| Source | g/kg dm | mg/kg dm | |||||||||||||||
| TOC | Ca | K | Mg | N | P | Si | Fe | Cd | Co | Cr | Cu | Mn | Ni | Pb | Sr | Zn | |
| PM | 418.5 | 24.0 | 23.6 | 8.5 | 56.7 | 20.1 | 1.8 | 0.8 | nd | nd | nd | 68.0 | 383.0 | 20.0 | nd | 34.0 | 428.0 |
| S1 | nd | 1.6 | 7.2 | 0.7 | nd | 0.3 | 413.8 | 11.0 | 35.2 | 3.0 | 12.1 | 42.3 | 434.5 | 10.1 | 942.5 | 3.0 | 6920.1 |
| S2 | nd | 0.6 | 4.8 | 0.2 | nd | 0.2 | 441.8 | 3.7 | 12.1 | 5.0 | 13.1 | 17.1 | 133.8 | 7.0 | 387.2 | 4.0 | 746.3 |
| Parameter | Unit | Soil S1 | Soil S2 | ||||||||
|---|---|---|---|---|---|---|---|---|---|---|---|
| S | PM | PM(B1) | PM(B2) | PM(B3) | S | PM | PM(B1) | PM(B2) | PM(B3) | ||
| pH | - | 6.69 | 6.23 | 7.28 | 6.69 | 6.67 | 6.81 | 6.66 | 7.68 | 7.17 | 7.09 |
| EC | µS/cm | 46.00 | 109.70 | 257.00 | 110.9 | 106.2 | 54.00 | 59.3 | 108.8 | 85.1 | 72.5 |
| As | mg/kg dw | 0.11 | 0.52 | 0.79 | 0.23 | 0.25 | 0.14 | 0.62 | 1.48 | 0.42 | 0.44 |
| Cd | 0.08 | 0.57 | 0.73 | 0.44 | 0.44 | 0.06 | 0.12 | 0.15 | 0.15 | 0.15 | |
| Cr | <0.03 | 0.05 | 0.09 | 0.05 | 0.04 | <0.03 | 0.03 | 0.04 | 0.03 | 0.03 | |
| Cu | 0.14 | 0.70 | 1.71 | 0.41 | 0.51 | 0.15 | 0.44 | 0.93 | 0.45 | 0.41 | |
| Ni | <0.05 | 0.07 | 0.11 | 0.05 | 0.04 | <0.05 | 0.04 | 0.04 | 0.03 | 0.03 | |
| Se | 0.13 | <0.05 | 0.01 | <0.05 | <0.05 | <0.05 | <0.05 | <0.05 | <0.05 | <0.05 | |
| Pb | 0.90 | 9.70 | 19.26 | 7.40 | 6.54 | 0.82 | 4.15 | 5.37 | 3.44 | 3.89 | |
| Zn | 4.30 | 18.32 | 19.18 | 17.66 | 16.40 | 13.00 | 25.62 | 29.42 | 28.20 | 28.13 | |
| Tested Plant | Experimental Conditions | Experimental Results | ||||
|---|---|---|---|---|---|---|
| Soil | SS Effect | Df Effect | MS Effect | F | p-Value | |
| L. sativum | S1 | 11,787.69 | 5 | 2357.54 | 166.901 | <0.001 |
| S2 | 6965.96 | 5 | 1393.19 | 65.934 | <0.001 | |
| S. alba | S1 | 5699.60 | 5 | 1139.92 | 179.717 | <0.001 |
| S2 | 14200.6 | 5 | 2840.1 | 59.025 | <0.001 | |
| S. bicolor | S1 | 1965.69 | 5 | 393.14 | 24.049 | <0.001 |
| S2 | 2971.07 | 5 | 594.21 | 41.097 | <0.001 | |
| Tested Plant | Experimental Conditions | Experimental Results | ||||
|---|---|---|---|---|---|---|
| Soil | SS Effect | Df Effect | MS Effect | F | p-Value | |
| L. sativum | S1 | 11,872.49 | 5 | 2374.50 | 150.104 | <0.001 |
| S2 | 11,787.69 | 5 | 2357.54 | 166.901 | <0.001 | |
| S. alba | S1 | 6243.17 | 5 | 1248.63 | 91.385 | <0.001 |
| S2 | 8759.56 | 5 | 1751.91 | 135.043 | <0.001 | |
| S. bicolor | S1 | 54.856 | 5 | 10.971 | 2.395 | 0.044 |
| S2 | 207.022 | 5 | 41.404 | 4.0809 | 0.003 | |
| Tested Plant | GFR, % | GFS, % | |||||
|---|---|---|---|---|---|---|---|
| S. alba | L. sativum | S. bicolor | S. alba | L. sativum | S. bicolor | ||
| S1 | PM | 56.51 | 49.69 | 26.95 | 52.35 | 70.08 | 18.28 |
| PM(B1) | 48.70 | 61.79 | 10.00 | 54.75 | 79.63 | 23.05 | |
| PM(B2) | 63.28 | 75.00 | 29.83 | 57.26 | 81.59 | 11.57 | |
| PM (B3) | 56.83 | 74.36 | 31.40 | 46.71 | 80.49 | 14.75 | |
| S2 | PM | 37.22 | 44.59 | 14.44 | 27.78 | 50.00 | 38.51 |
| PM(B1) | 46.11 | 53.54 | 27.81 | 33.67 | 61.86 | 45.94 | |
| PM(B2) | 55.15 | 64.65 | 38.56 | 69.15 | 75.27 | 43.36 | |
| PM(B3) | 67.01 | 64.71 | 28.26 | 81.18 | 74.72 | 42.89 | |
| ≤25% | very low | ||||||
| >25 ≤ 45% | low | ||||||
| >45 ≤ 60% | moderate | ||||||
| >60 ≤ 70% | high | ||||||
| >70% | very high | ||||||
Publisher’s Note: MDPI stays neutral with regard to jurisdictional claims in published maps and institutional affiliations. |
© 2021 by the authors. Licensee MDPI, Basel, Switzerland. This article is an open access article distributed under the terms and conditions of the Creative Commons Attribution (CC BY) license (https://creativecommons.org/licenses/by/4.0/).
Share and Cite
Więckol-Ryk, A.; Thomas, M.; Białecka, B. Solid Peroxy Compounds as Additives to Organic Waste for Reclamation of Post-Industrial Contaminated Soils. Materials 2021, 14, 6979. https://doi.org/10.3390/ma14226979
Więckol-Ryk A, Thomas M, Białecka B. Solid Peroxy Compounds as Additives to Organic Waste for Reclamation of Post-Industrial Contaminated Soils. Materials. 2021; 14(22):6979. https://doi.org/10.3390/ma14226979
Chicago/Turabian StyleWięckol-Ryk, Angelika, Maciej Thomas, and Barbara Białecka. 2021. "Solid Peroxy Compounds as Additives to Organic Waste for Reclamation of Post-Industrial Contaminated Soils" Materials 14, no. 22: 6979. https://doi.org/10.3390/ma14226979
APA StyleWięckol-Ryk, A., Thomas, M., & Białecka, B. (2021). Solid Peroxy Compounds as Additives to Organic Waste for Reclamation of Post-Industrial Contaminated Soils. Materials, 14(22), 6979. https://doi.org/10.3390/ma14226979

