Structurally Dependent Electrochemical Properties of Ultrafine Superparamagnetic ‘Core/Shell’ γ-Fe2O3/Defective α-Fe2O3 Composites in Hybrid Supercapacitors
Abstract
1. Introduction
2. Materials and Methods
3. Results
3.1. Structural and Morphological Characteristics
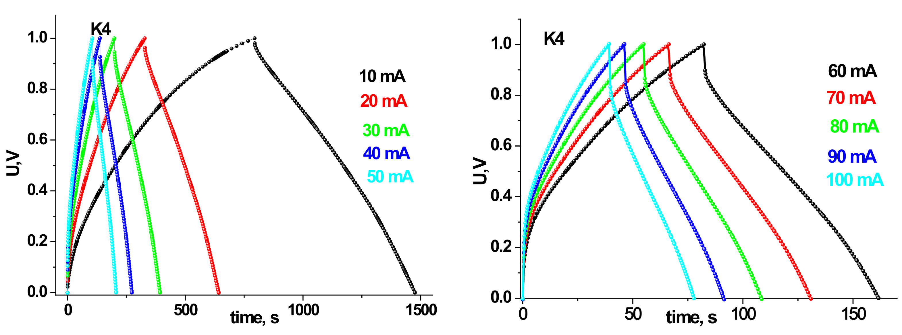
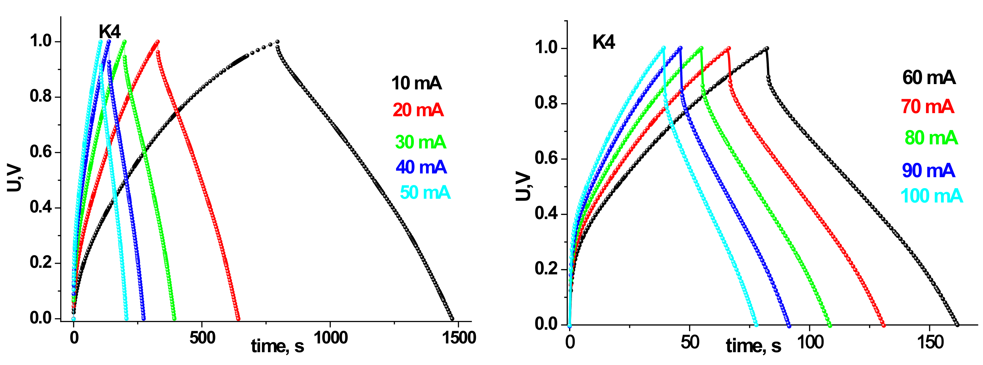
3.2. Electroconductive and Electrochemical Properties
4. Discussion
4.1. Structural and Morphological Characteristics
4.2. Electroconductive and Electrochemical Properties
5. Conclusions
Author Contributions
Funding
Institutional Review Board Statement
Informed Consent Statement
Data Availability Statement
Acknowledgments
Conflicts of Interest
References
- Suzuki, T.M.; Nonaka, T.; Suda, A.; Suzuki, N.; Matsuoka, Y.; Arai, T.; Sato, S.; Morikawa, T. Highly crystalline β-FeOOH(Cl) nanorod catalysts doped with transition metals for efficient water oxidation. Sustain. Energy Fuels 2017, 1, 636–643. [Google Scholar] [CrossRef]
- Radakovich, L.B.; Olver, C.S. Pigments: Iron and Friends. Vet.-Clin. N. Am. Small Anim. Pract. 2017, 47, 17–29. [Google Scholar] [CrossRef] [PubMed]
- Sun, Y.; Gao, C.; Jin, Q.; Chen, Z.; Guo, Z. Effects of iron oxide coatings on the mobility and retardation of U(VI) in water saturated media. Colloids Surf. A Physicochem. Eng. Asp. 2021, 629, 127458. [Google Scholar] [CrossRef]
- Nguyen, T.V.; Luong, N.A.; Nguyen, V.T.; Pham, A.T.; Le, A.T.; To, T.L. Effect of the phase composition of iron oxide nanorods on SO2 gas sensing performance. Mater. Res. Bull. 2020, 134, 111087. [Google Scholar] [CrossRef]
- Mohapatra, M.; Anand, S. Synthesis and applications of nano-structured iron oxides/hydroxides—A review. Int. J. Eng. Sci. Technol. 2011, 2. [Google Scholar] [CrossRef]
- Zhang, X.; Du, Y. Gelatin assisted wet chemistry synthesis of high quality β-FeOOH nanorods anchored on graphene nanosheets with superior lithium-ion battery application. RSC Adv. 2016, 6, 17504–17509. [Google Scholar] [CrossRef]
- Cornell, R.M.; Schwertmann, U. (Eds.) The Iron Oxides: Structure, Properties, Reactions, Occurences and Uses, 2nd ed.; WILEY-VCH Verlag GMBH & Co. KGaA: Weinheim, Germany, 2003; ISBN 3527302743. [Google Scholar]
- Yavorsky, Y.V.; Zaulichny, Y.V.; Gunko, V.M.; Karpets, M.V. Influence of Mechanical Treatment on Structural and Morphological Characteristics and Influence of Mechanical Treatment on Structural and Morphological Characteristics and Distribution of Valence Electrons of Aluminum, Silicon, Iron and Titanium Oxides. J. Nano-Electron. Phys. 2018, 10, 6005. [Google Scholar] [CrossRef]
- Bahnemann, D.B.D. Photocatalytic water treatment: Solar energy applications. Sol. Energy 2004, 77, 445–459. [Google Scholar] [CrossRef]
- Hrubiak, A.B.; Kotsyubynsky, V.O.; Moklyak, V.V.; Ostafiychuk, B.K.; Kolkovsky, P.I.; Fedorchenko, S.V.; Rachiy, B. The electrical conductivity and photocatalytic activity of ultrafine iron hydroxide/oxide systems. Mol. Cryst. Liq. Cryst. 2018, 670, 97–111. [Google Scholar] [CrossRef]
- Koveria, A.; Kieush, L.; Hrubyak, A.; Kotsyubynsky, V. Properties of Donetsk basin hard coals and the products of their heat treatment revealed via Mossbauer spectroscopy. Pet. Coal 2019, 61, 160–168. [Google Scholar]
- Kucio, K.; Charmas, B.; Sydorchuk, V.; Khalameida, S.; Khyzhun, O. Synthesis and modification of Ce-Zr oxide compositions as photocatalysts. Appl. Catal. A Gen. 2020, 603, 117767. [Google Scholar] [CrossRef]
- Sabbagh, F.; Kiarostami, K.; Khatir, N.M.; Rezania, S.; Muhamad, I.I. Green Synthesis of Mg0.99 Zn0.01O Nanoparticles for the Fabrication of κ-Carrageenan/NaCMC Hydrogel in order to Deliver Catechin. Polymers 2020, 12, 861. [Google Scholar] [CrossRef]
- Gomez, N.T.; Nava, O.; Argueta-Figueroa, L.; García-Contreras, R.; Baeza-Barrera, A.; Vilchis-Nestor, A.R. Shape Tuning of Magnetite Nanoparticles Obtained by Hydrothermal Synthesis: Effect of Temperature. J. Nanomater. 2019, 2019, 1–15. [Google Scholar] [CrossRef]
- Li, J.; Shi, X.; Shen, M. Hydrothermal Synthesis and Functionalization of Iron Oxide Nanoparticles for MR Imaging Applications. Part. Part. Syst. Charact. 2014, 31, 1223–1237. [Google Scholar] [CrossRef]
- Mikhailov, V.I.; Maslennikova, T.P.; Krivoshapkin, P.V. Materials based on aluminum and iron oxides obtained by the hydrothermal method. Phys. Chem. Glass 2014, 40, 846–853. (In Russian) [Google Scholar] [CrossRef]
- Burukhin, A.A.; Churagulov, B.R.; Oleynikov, N.N.; Knot’ko, A.V. Hydrothermal synthesis of mesoporous iron oxide powders. In Proceedings of the International Symposium on Hydrothermal Reactions and Fourth Conference on Solvo-Thermal Reactions, Kochi, Japan, 25–28 July 2000; p. 561. [Google Scholar]
- Ostafiychuk, B.K.; Lisovskiy, R.P.; Zamil, A.-S.A.H.; Rachiy, B.; Kotsyubynsky, V.O.; Kolkovsky, P.I.; Merena, R.I.; Hrubiak, A.B. Effect of Orthophosphoric Acid on Morphology of Nanoporous Carbon Materials. J. Nano-Electron. Phys. 2019, 11. [Google Scholar] [CrossRef]
- Kieush, L.; Boyko, M.; Koveria, A.; Yaholnyk, M.; Poliakova, N. Manganese Sinter Production with Wood Biomass Application. Key Eng. Mater. 2020, 844, 124–134. [Google Scholar] [CrossRef]
- Morris, M.C.; McMurdie, H.F.; Evans, E.H. Standard X-ray Diffraction Powder Patterns. Available online: https://nvlpubs.nist.gov/nistpubs/Legacy/MONO/nbsmonograph25-5.pdf (accessed on 28 October 2021).
- Fitzer, E.; Kochling, K.-H.; Boehm, H.P.; Marsh, H. Recommended terminology for the description of carbon as a solid (IUPAC Recommendations 1995). Pure Appl. Chem. 1995, 67, 473–506. [Google Scholar] [CrossRef]
- Jung, K.-S.; Sung, K.W. Magnetite: Electrochemical Properties and Its Role on Flow Accel-Erated Corrosion. In Magnetite: Structure, Properties and Applications; Nova Science Publishers: New York, NY, USA, 2011; pp. 1–35. [Google Scholar]
- Gaire, M.; Khatoon, N.; Subedi, B.; Chrisey, D. Flexible iron oxide supercapacitor electrodes by photonic processing. J. Mater. Res. 2021, 7, 1–11. [Google Scholar] [CrossRef]
- Lanford, O.E.; Quinan, J.R. A Spectrophotometric Study of the Reaction of Ferric Iron and Citric Acid. J. Am. Chem. Soc. 1948, 70, 2900–2903. [Google Scholar] [CrossRef]
- Warner, R.C.; Weber, I. The Cupric and Ferric Citrate Complexes1. J. Am. Chem. Soc. 1953, 75, 5086–5094. [Google Scholar] [CrossRef]
- Field, T.B.; McCourt, J.L.; McBryde, W.A.E. Composition and Stability of Iron and Copper Citrate Complexes in Aqueous Solution. Can. J. Chem. 1974, 52, 3119–3124. [Google Scholar] [CrossRef]
- Martin, R. Citrate binding of Al3+ and Fe3+. J. Inorg. Biochem. 1986, 28, 181–187. [Google Scholar] [CrossRef]
- Koenigsberger, L.-C.; Königsberger, E.; May, P.M.; Hefter, G. Complexation of iron(III) and iron(II) by citrate. Implications for iron speciation in blood plasma. J. Inorg. Biochem. 2000, 78, 175–184. [Google Scholar] [CrossRef]
- Hamada, Y.Z.; Bayakly, N.; Peipho, A.; Carlson, B. Accurate Potentiometric Studies of Chromium-Citrate and Ferric-Citrate Complexes in Aqueous Solutions at Physiological and Alkaline pH Values. Synth. React. Inorg. Met. Chem. 2006, 36, 469–476. [Google Scholar] [CrossRef]
- Fleet, M.E. The structure of magnetite—Symmetry of cubic spinels. J. Solid State Chem. 1986, 62, 75. [Google Scholar] [CrossRef]
- Kazeminezhad, I.; Mosivand, S. Phase Transition of Electrooxidized Fe3O4to γ and α-Fe2O3Nanoparticles Using Sintering Treatment. Acta Phys. Pol. A 2014, 125, 1210–1214. [Google Scholar] [CrossRef]
- Oh, S.J.; Cook, D.C.; Townsend, H.E. Characterization of Iron Oxides Commonly Formed as Corrosion Products on Steel. Hyperfine Interact. 1998, 112, 59–66. [Google Scholar] [CrossRef]
- Buyanov, R.; Krivoruchko, O.; Ryzhak, I. Mechanism of the nucleation and growth of crystals of iron hydroxide and iron oxide in mother liquors. Kinet. Catal. 1972, 13, 470–478. [Google Scholar]
- Kotsyubynsky, V.O.; Grubiak, A.B.; Moklyak, V.V.; Pylypiv, V.M.; Lisovsky, R.P. Structural, Morphological, and Magnetic Properties of the Mesoporous Maghemite Synthesized by a Citrate Method. Metallofiz. Noveishie Tekhnol. 2016, 36, 1497–1512. [Google Scholar] [CrossRef][Green Version]
- Lázár, K. Redistribution of iron ions in porous ferrisilicates during redox treatments. Pure Appl. Chem. 2017, 89, 471–479. [Google Scholar] [CrossRef]
- Bassi, P.S.; Randhawa, B.S.; Jamwal, H.S. Mössbauer study of the thermal decomposition of iron(III) citrate pentahydrate. J. Therm. Anal. Calorim. 1984, 29, 439–444. [Google Scholar] [CrossRef]
- Buchanan, D. Mössbauer spectroscopy of radiolytic and photolytic effects on ferric citrate. J. Inorg. Nucl. Chem. 1970, 32, 3531–3533. [Google Scholar] [CrossRef]
- Vonsovsky, S.V. (Ed.) Magnetism: Magnetic Properties of Dia-, Steam, Ferro-, Antiferro-, and Ferrimagnets; Nayka: Moscow, Russia, 1971. (In Russian) [Google Scholar]
- Kotsyubynsky, V.; Ostafiychuk, B.; Moklyak, V.; Hrubiak, A. Synthesis, Characterization and Electrochemical Properties of Mesoporous Maghemite γ-Fe2O3. Solid State Phenom. 2015, 230, 120–126. [Google Scholar] [CrossRef]
- Kuzmann, E.; Nagy, S.; Vertes, A. Critical review of analytical applications of Mössbauer spectroscopy illustrated by mineralogical and geological examples (IUPAC Technical Report). Pure Appl. Chem. 2003, 75, 801–858. [Google Scholar] [CrossRef]
- Randhawa, B.S.; Kaur, R.; Sweety, K. Moessbauer study on thermal decomposition of some hydroxy iron(III) carboxylates. J. Radioanal. Nucl. Chem. 1997, 28, 271–273. [Google Scholar] [CrossRef]
- Iyengar, S.J.; Joy, M.; Ghosh, C.K.; Dey, S.; Kotnala, R.K.; Ghosh, S. Magnetic, X-ray and Mössbauer studies on magnetite/maghemite core–shell nanostructures fabricated through an aqueous route. RSC Adv. 2014, 4, 64919–64929. [Google Scholar] [CrossRef]
- Schneider, J.J.; Czap, N.; Hagen, J.; Engstler, J.; Ensling, J.; Gütlich, P.; Reinoehl, U.; Bertagnolli, H.; Luis, F.; de Jongh, L.J.; et al. Metallorganic Routes to Nanoscale Iron and Titanium Oxide Particles Encapsulated in Meso-porous Alumina: Formation, Physical Properties, and Chemical Reactivity. Chem. Eur. J. 2000, 6, 4305–4321. [Google Scholar] [CrossRef]
- Coey, J.M.D.; Khalafalla, D. Superparamagnetic γ-Fe2O3. Phys. Status Solidi A 1972, 11, 229–241. [Google Scholar] [CrossRef]
- Jonscher, A.K. Universal Relaxation Law; Chelsea Dielectrics Press: London, UK, 1996; ISBN 0950871125 9780950871127. [Google Scholar]
- Mott, N. Conduction in glasses containing transition metal ions. J. Non-Cryst. Solids 1968, 1, 1–17. [Google Scholar] [CrossRef]
- Cheruku, R.; Govindaraj, G.; Vijayan, L. Super-linear frequency dependence of ac conductivity in nanocrystalline lithium ferrite. Mater. Chem. Phys. 2014, 146, 389–398. [Google Scholar] [CrossRef]
- Tian, Y.; Yan, J.; Huang, L.; Xue, R.; Hao, L.; Yi, B. Effects of single electrodes of Ni(OH)2 and activated carbon on electrochemical performance of Ni(OH)2–activated carbon asymmetric supercapacitor. Mater. Chem. Phys. 2013, 143, 1164–1170. [Google Scholar] [CrossRef]
- Owusu, K.A.; Qu, L.; Li, J.; Wang, Z.; Zhao, K.; Yang, C.; Hercule, K.M.; Lin, C.; Shi, C.; Wei, Q.; et al. Low-crystalline iron oxide hydroxide nanoparticle anode for high-performance supercapacitors. Nat. Commun. 2017, 8, 14264. [Google Scholar] [CrossRef] [PubMed]
- Zhao, Y.; Zheng, J.; Yuan, M.; Wang, Y.; Liu, W.; Yang, S.; Li, G.; Lian, J.; Bu, Y. Boosting the energy density of iron-cobalt oxide based hybrid supercapacitors by redox-additive electrolytes. J. Alloys Compd. 2021, 885, 160886. [Google Scholar] [CrossRef]
- Min, S.; Zhao, C.; Chen, G.; Qian, X. One-pot hydrothermal synthesis of reduced graphene oxide/Ni(OH)2 films on nickel foam for high performance supercapacitors. Electrochim. Acta 2014, 115, 155–164. [Google Scholar] [CrossRef]
- Budzulyak, O.M.; Yablon, I.M.; Popovich, L.S.; Morushko, D.I. Hybrid Capacitors on the Base of Composites of Hy-droxide of Nickel, Trioxide of Molybdenum, and the Activated Carbon. Nanosyst. Nanomater. Nanotechnol. 2016, 14, 147–155. [Google Scholar]












| No | Phase | δ, mm/s | Δ, mm/s | ω, mm/s | Hef, kOe | S, % |
|---|---|---|---|---|---|---|
| K1 | Fe(OH)3 | 0.40 | 0.50 | 0.33 | – | 14 |
| 0.39 | 0.81 | 0.41 | – | 39 | ||
| 0.39 | 1.16 | 0.54 | – | 47 | ||
| K2 | Fe(OH)3/Fe(OH)2 | 0.98 | 2.60 | 0.74 | – | 11 |
| 0.39 | 0.74 | 0.42 | – | 24 | ||
| 0.38 | 1.11 | 0.62 | – | 65 | ||
| K3 | γ-Fe2O3/α-Fe2O3 | 0.37 | −0.2 | 0.24 | 510 | 11 |
| 0.32 | −0.01 | 0.59 | 485 | 23 | ||
| 0.36 | −0.04 | 1.80 | 421 | 20 | ||
| 0.33 | 0.67 | 0.34 | – | 9 | ||
| 0.33 | 1.02 | 0.75 | – | 37 | ||
| K4 | γ-Fe2O3/α-Fe2O3 | 0.37 | −0.21 | 0.26 | 514 | 35 |
| 0.37 | −0.18 | 0.29 | 501 | 5 | ||
| 0.32 | −0.02 | 0.68 | 485 | 26 | ||
| 0.39 | −0.01 | 1.02 | 424 | 8 | ||
| 1.24 | 2.74 | 2.28 | 399 | 17 | ||
| 0.31 | 0.93 | 0.80 | – | 9 |
| No | Tanneal of Material | Cdischarge, F/g | Ccharge, F/g | Qeff, % |
|---|---|---|---|---|
| K1 | Initial material | 53 | 69 | 77 |
| K2 | 150 °C | 102 | 157 | 65 |
| K3 | 250 °C | 177 | 208 | 85 |
| K4 | 350 °C | 35 | 59 | 59 |
| Research Material | Sample K1 | Sample K2 | Sample K3 | Sample K4 | |||||
|---|---|---|---|---|---|---|---|---|---|
| No, n/N | S, mV/s | Ccharge, F/g | Cdischarge, F/g | Ccharge, F/g | Cdischarge, F/g | Ccharge, F/g | Cdischarge, F/g | Ccharge, F/g | Cdischarge, F/g |
| 1 | 1 | 81 | 75 | 143 | 116 | 157 | 126 | 88 | 70 |
| 2 | 2.5 | 68 | 63 | 125 | 115 | 133 | 121 | 76 | 70 |
| 3 | 5 | 61 | 57 | 113 | 111 | 120 | 117 | 64 | 64 |
| 4 | 7.5 | 55 | 53 | 110 | 104 | 116 | 113 | 58 | 59 |
| 5 | 10 | 52 | 50 | 103 | 100 | 112 | 106 | 56 | 54 |
| 6 | 15 | 46 | 43 | 94 | 89 | 104 | 100 | 49 | 48 |
| 7 | 20 | 39 | 37 | 85 | 81 | 95 | 92 | 44 | 43 |
| 8 | 30 | 35 | 34 | 71 | 68 | 84 | 82 | 37 | 36 |
| 9 | 40 | 31 | 29 | 59 | 55 | 75 | 73 | 33 | 32 |
| 10 | 50 | 28 | 27 | 52 | 51 | 69 | 68 | 29 | 28 |
| Research Material | Sample K1 | Sample K2 | Sample K3 | Sample K4 | |||||
|---|---|---|---|---|---|---|---|---|---|
| No, n/N | I, mA | Ccharge, F/g | Cdischarge, F/g | Ccharge, F/g | Cdischarge, F/g | Ccharge, F/g | Cdischarge, F/g | Ccharge, F/g | Cdischarge, F/g |
| 1 | 10 | 93 | 81 | 158 | 134 | 133 | 124 | 85 | 73 |
| 2 | 20 | 67 | 65 | 132 | 123 | 124 | 122 | 70 | 67 |
| 3 | 30 | 54 | 53 | 119 | 109 | 121 | 120 | 64 | 62 |
| 4 | 40 | 48 | 47 | 113 | 111 | 118 | 117 | 59 | 58 |
| 5 | 50 | 41 | 40 | 107 | 106 | 116 | 114 | 56 | 54 |
| 6 | 60 | 38 | 37 | 106 | 102 | 114 | 112 | 53 | 51 |
| 7 | 70 | 35 | 34 | 99 | 98 | 111 | 110 | 50 | 48 |
| 8 | 80 | 34 | 33 | 96 | 95 | 107 | 106 | 47 | 46 |
| 9 | 90 | 31 | 30 | 92 | 91 | 105 | 104 | 44 | 43 |
| 10 | 100 | 29 | 28 | 91 | 89 | 103 | 101 | 42 | 41 |
Publisher’s Note: MDPI stays neutral with regard to jurisdictional claims in published maps and institutional affiliations. |
© 2021 by the authors. Licensee MDPI, Basel, Switzerland. This article is an open access article distributed under the terms and conditions of the Creative Commons Attribution (CC BY) license (https://creativecommons.org/licenses/by/4.0/).
Share and Cite
Bazaluk, O.; Hrubiak, A.; Moklyak, V.; Moklyak, M.; Kieush, L.; Rachiy, B.; Gasyuk, I.; Yavorskyi, Y.; Koveria, A.; Lozynskyi, V.; et al. Structurally Dependent Electrochemical Properties of Ultrafine Superparamagnetic ‘Core/Shell’ γ-Fe2O3/Defective α-Fe2O3 Composites in Hybrid Supercapacitors. Materials 2021, 14, 6977. https://doi.org/10.3390/ma14226977
Bazaluk O, Hrubiak A, Moklyak V, Moklyak M, Kieush L, Rachiy B, Gasyuk I, Yavorskyi Y, Koveria A, Lozynskyi V, et al. Structurally Dependent Electrochemical Properties of Ultrafine Superparamagnetic ‘Core/Shell’ γ-Fe2O3/Defective α-Fe2O3 Composites in Hybrid Supercapacitors. Materials. 2021; 14(22):6977. https://doi.org/10.3390/ma14226977
Chicago/Turabian StyleBazaluk, Oleg, Andrii Hrubiak, Volodymyr Moklyak, Maria Moklyak, Lina Kieush, Bogdan Rachiy, Ivan Gasyuk, Yurii Yavorskyi, Andrii Koveria, Vasyl Lozynskyi, and et al. 2021. "Structurally Dependent Electrochemical Properties of Ultrafine Superparamagnetic ‘Core/Shell’ γ-Fe2O3/Defective α-Fe2O3 Composites in Hybrid Supercapacitors" Materials 14, no. 22: 6977. https://doi.org/10.3390/ma14226977
APA StyleBazaluk, O., Hrubiak, A., Moklyak, V., Moklyak, M., Kieush, L., Rachiy, B., Gasyuk, I., Yavorskyi, Y., Koveria, A., Lozynskyi, V., & Fedorov, S. (2021). Structurally Dependent Electrochemical Properties of Ultrafine Superparamagnetic ‘Core/Shell’ γ-Fe2O3/Defective α-Fe2O3 Composites in Hybrid Supercapacitors. Materials, 14(22), 6977. https://doi.org/10.3390/ma14226977

