Next Article in Journal
Investigation and Optimization of Mxene Functionalized Mesoporous Titania Films as Efficient Photoelectrodes
Next Article in Special Issue
Structural, Electronic, and Physical Properties of a New Layered Cr-Based Oxyarsenide Sr2Cr2AsO3
Previous Article in Journal
Development and Characteristics of Aerated Alkali-Activated Slag Cement Mixed with Zinc Powder
 
 
Font Type:
Arial Georgia Verdana
Font Size:
Aa Aa Aa
Line Spacing:
Column Width:
Background:
Article

Possible Evidence for Berezinskii–Kosterlitz–Thouless Transition in Ba(Fe0.914Co0.086)2As2 Crystals

1
Interdisciplinary Center for Quantum Information, Zhejiang Province Key Laboratory of Quantum Technology and Devices, Department of Physics, Zhejiang University, Hangzhou 310027, China
2
Ningbo Institute of Materials Technology and Engineering, Chinese Academy of Sciences, Ningbo 315201, China
3
Department of Applied Physics, Zhejiang University of Technology, Hangzhou 310023, China
4
School of Physics and Optoelectronics, Xiangtan University, Xiangtan 411105, China
*
Authors to whom correspondence should be addressed.
Materials 2021, 14(21), 6294; https://doi.org/10.3390/ma14216294
Submission received: 26 August 2021 / Revised: 11 October 2021 / Accepted: 16 October 2021 / Published: 22 October 2021
(This article belongs to the Special Issue Quantum Materials: Superconductivity and Topology)

Abstract

In this study, we measure the in-plane transport properties of high-quality Ba(Fe0.914Co0.086)2As2 single crystals. Signatures of vortex unbinding Berezinskii–Kosterlitz–Thouless (BKT) transition are shown from both the conventional approach and the Fisher–Fisher–Huse dynamic scaling analysis, in which a characteristic Nelson–Kosterlitz jump is demonstrated. We also observe a non-Hall transverse signal exactly at the superconducting transition, which is explained in terms of guided motion of unbound vortices.

1. Introduction

Uncovering the underlying essential universality for high-temperature superconductivity is extremely important for understanding the superconducting mechanism as well as exploring the next high-Tc materials [1]. The two classes of high-temperature superconductors discovered, Cu-based superconductors (CuSCs) and Fe-based superconductors (FeSCs), bear many similarities, regardless of some differences [1,2,3]. Apparently, FeSCs contain two-dimensional (2D) FeAs layers, analogous to the 2D CuO2 planes in CuSCs. More similarities were manifested by the antiferromagnetism in parent compounds, superconducting phase diagrams with respect to chemical doping, and extreme type-II superconductivity with very high upper critical field, etc. However, FeSCs show unusually small anisotropy in the upper critical field [4,5], which is in sharp contrast with CuSCs [6]. So far, there is no consensus on the nature of dimensionality in FeSCs [1], unlike the situation in CuSCs where the 2D characteristic is widely observed, [6] and the 2D nature is considered to be crucial for high-Tc superconductivity [7].
Quasi-2D superconducting behaviors in CuSCs are demonstrated by a 2D Berezinskii–Kosterlitz–Thouless (BKT) topological phase transition [8] close to the mean-field superconducting transition temperature ( T c MF ), even for the bulk crystals [9,10,11,12,13]. Such a novel BKT-type transition was earlier discussed in terms of vortex–antivortex dissociation in an ideal 2D superconductor [14], and then it was experimentally observed in ultra-thin superconducting films [15]. For CuSCs, because of the negligibly weak interlayer superconducting coupling near T c MF , vortex fluctuations [16], or thermal distortions [17] in Josephson coupled layered materials, 2D BKT behavior was able to be observed in bulk crystals of Bi2Sr2CaCu2O8 [9,10], YBa2Cu3O7 [11,12], and La1.875Ba0.125CuO4 [13]. The expected unbound free vortices near the superconducting transition are independently supported by the observation of non-zero transverse voltage at zero field (hereafter denoted as V 0 x y ) [18,19]. The 2D superconducting phase fluctuations are also evidenced even well above the superconducting transition temperature [20], shedding light on the superconducting mechanism of CuSCs.
As for FeSCs, either 2D or 3D of the nature of superconducting fluctuations is reported [21,22,23,24,25,26], and an apparent contradiction appeared in a few cases. For example, 2D nature of superconductivity was implied by the study of fluctuation conductivity in F-doped SmFeAsO polycrystals [21] and single crystals [22], while fluctuations in SmFeAsO0.8F0.2 was reported to have a 3D character and extend far above Tc [24]. Recently, the evidence of BKT transition was reported in FeTe0.55Se0.45 thin films, suggesting a quasi-2D characteristic in such systems [27]. This finding motivates us to explore possible BKT transition in other FeSCs. In this study, we report possible evidence for BKT phase transition in a typical FeSC, Ba(Fe1−xCox)2As2 [28] with x = 0.086, via both the conventional approach and the Fisher–Fisher–Huse (FFH) [29] dynamic scaling analysis. The characteristic Nelson–Kosterlitz jump for a BKT transition is demonstrated. In addition, we observe non-Hall-type transverse signal including V 0 x y , exactly above the possible BKT transition temperature TBKT, pointing to the existence of thermally excited unbound vortices.

2. Experimental Methods

The Ba(Fe0.914Co0.086)2As2 crystals were grown by a self-flux method with procedures similar to Ref. [30]. The chemical composition of the crystal was determined by an energy-dispersive x-ray spectroscope affiliated to a field-emission scanning electron microscope (FEI Model SIRION), giving the title chemical formula (the Co-content uncertainty was ±0.005). The T c onset temperature-dependent in-plane resistance shows a sharp superconducting transition at T c onset = 25.0 K, as seen in the inset of Figure 1. The transition width [ΔTc = T(90%ρn) − T(10%ρn), where ρn is the normal-state resistivity at T c onset ] is as narrow as 0.42 K, indicating high quality with good homogeneity for the crystal. The relatively high Tc value indicates that the crystal was in the optimally-doped regime, consistent with the cobalt content measured.
The electro-transport measurements were performed on a Quantum Design Physical Property Measurement System (PPMS-9). We adopted a van der Pauw four-terminal configuration [31] for all the measurements, including longitudinal IV curves and transverse voltages. The crystal was carefully cleaved and cut into a squared specimen with a side length of L = 1.14 mm and thickness of t = 0.024 mm. Gold wires were attached with silver paste onto the four corners (A, B, C, and D), as shown in the left inset of Figure 1. The longitudinal resistance was obtained by Rxx = (RDC/AB + RBC/AD)/2, where RDC/AB (RBC/AD) equals to the potential VDC (VBC) divided by the current IAB (IAD) using ac transport option with a frequency of 13 Hz. The normal-state resistivity above Tc was ρn = πtRxx/ln2 ~ 0.09 mΩ cm, consistent with the previous report [28]. The data of IVxx characteristic were collected at a fixed temperature whose fluctuation was less than 1 mK, without any detectable heating effect during the measurement.
For the measurement of transverse voltage Vxy, VBD/AC and VAC/BD were measured respectively by permutating the voltage and current electrodes [32], so that the longitudinal component due to misalignment of the diagonal electrodes can be canceled out. At zero field, one obtains V xy 0 by Ref. [32], V xy 0 = (VBD/ACVAC/BD)/2. Obviously, V xy 0 has nothing to do with Hall effect because no magnetic field is applied. It is a non-Hall-type transverse voltage. Under external magnetic fields, similarly, we have two “branches” of the transverse voltage with the field up (H+) and down (H−), respectively, V xy H + = ( V BD ; AC H + V AC ; BD H + )/2; V xy H = ( V BD ; AC H V AC ; BD H )/2. In most cases, V xy H + and V xy H are mutually antisymmetric, and the conventional Hall voltage can be obtained by V xy Hall = ( V xy H + V xy H )/2. When the antisymmetry is broken for some reason, a non-Hall transverse signal V xy n H can be extracted by canceling out the external field effect, V xy n H = ( V xy H + + V xy H )/2.

3. Data Analysis

To study BKT dynamics in superconductors, there are two main approaches, the “conventional” approach and the dynamic scaling analysis [33]. In the conventional approach, the following signatures in transport properties in the I → 0 A limit are often used to recognize a BKT transition. (1) Within a temperature region slightly above TBKT, the Ohmic longitudinal resistance has a unique temperature dependence [34],
R xx ( T ) / R n exp { 2 [ b ( T c M F T B K T ) / ( T T B K T ) ] 1 / 2 }
where Rn is the normal-state resistance and b is a dimensionless parameter. The mean-field superconducting transition temperature T c MF is generally set to the midpoint temperature T c mid (close to the inflection temperature) [9,12,14], which is about 24.70 K. The above exponential behavior is in contrast to that of the paraconductivity effect (due to amplitude fluctuations), which shows a power-law divergence [35]. (2) The isothermal current-voltage relation around TBKT obeys a power law V I α at low currents, which differs from the exponential dependence for vortex motion, owing to flux depinning [36]. (3) The exponent α(T) has a “universal jump” from 1 to 3 upon approaching TBKT from above. Such a universal jump is regarded as the hallmark of BKT transition. In the BKT theory, α(T) is proportional to the superfluid density, therefore, the jump in α(T) means discontinuity in superfluid density [37], which is called the Nelson–Kosterlitz jump in literature.
According to Equation (1), R/Rn in logarithmic scale is plotted as a function of ( T - T B K T ) 1 / 2 in Figure 1. A linear dependence is shown in between T c zero and 24.81 K with the fitted parameters TBKT = 24.42 ± 0.01K and b = 2.10 ± 0.01. Note that the TBKT is very close to the zero-resistance temperature T c zero , similar to previous reports in cuprate systems [9,10,11,12]. For T c mid < T < T c onset , however, paraconductivity effect usually becomes dominant. However, we were not able to fit the R(T) data in this region to either 2D or 3D forms of Aslamazov–Larkin theory [35]. This suggests a dimensional crossover and/or robustness of phase fluctuations in the range of T c mid < T < T c onset .
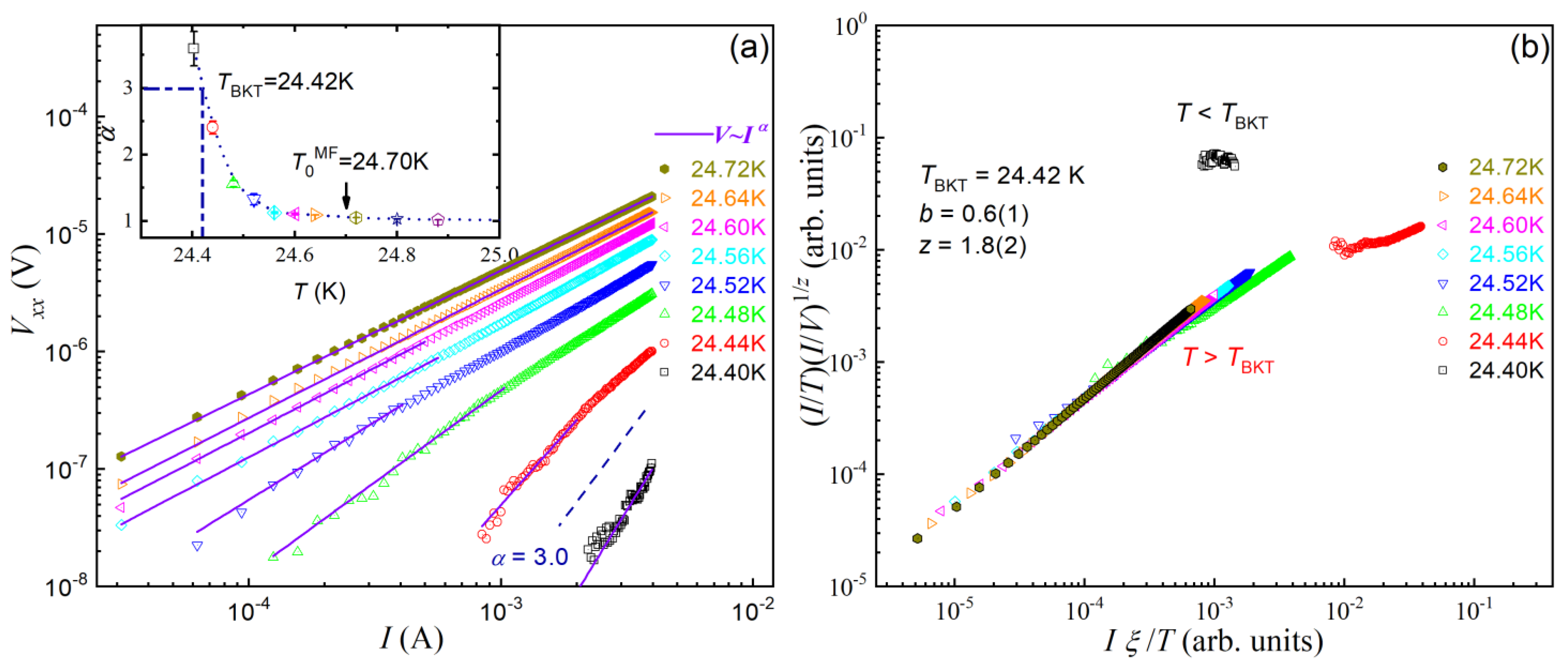
The isothermal IV characteristics at T = 24.40–24.72 K with I = 0.03–4 mA are displayed in a log–log plot shown in Figure 2a. The linearity confirms the expected power–law relation. The exponent α, represented by the slope, changes with temperature. For T > 24.56 K, the α value is close to 1.0, namely, the IV curves are basically Ohmic. When approaching TBKT, α increases abruptly, and it goes to 3.6 ± 0.3 at 24.40 K. The inset of Figure 2a clearly shows a jump with α = 3.0 ± 0.2 at TBKT, which suggests the characteristic Nelson–Kosterlitz jump anticipated for a BKT transition.
Strictly speaking, the above approach is valid only in the limit I → 0 A. Thus it is necessary to perform a dynamic scaling analysis, which also holds for finite currents [33]. According to the FFH theory [29], the scaling form for a 2D superconductor can be written as [33,38],
( I / T ) ( I / V ) 1 / z = P ± ( I ξ ± / T )
where z is the dynamic exponent, P+(−) is the scaling function for temperature above (below) TBKT, and ξ + ~ exp [ b ( T c M F - T ) / ( T - T B K T ) ] 1 / 2 ( ξ - ~ exp [ b ( T c M F - T B K T ) / 2 π ( T B K T - T ) ] 1 / 2 ) is the correlation length above (below) TBKT.
Figure 2b plots /T vs. (I/T)(I/V)1/z, according to Equation (2). By setting the afore-determined TBKT = 24.42 K, and with the fitted parameters b = 2.1 ± 0.1 and z = 1.8 ± 0.2, all the IV data points in Figure 2a basically fall onto two branches of the scaling curves (although the branch for T < TBKT are limited to one set of IV data with T = 24.40 K). Since the critical IV curve follows VIz+1 at TBKT, the exponent is 2.8 ± 0.2 at the BKT transition, consistent with the result of above conventional approach. Besides, the value of parameter b is the same with that extracted by fitting R/Rn with Equation (1). Therefore, the FFH dynamic scaling analysis also suggests a BKT phase transition in Ba(Fe0.914Co0.086)2As2 crystals.
As we know, BKT transition is driven by the unbinding of vortex–antivortex pairs. Below TBKT, the thermally exited vortices are in pairs because of the attractive interaction. At TBKT, the vortex pairs start to unbind, and free vortices are generated due to the contribution of entropy to the free energy. It is the unbound free vortices that contribute to the nonzero longitudinal resistance expressed by Equation (1). Interestingly, such free vortices are able to induce an abnormal nonzero V xy 0 , like the case in CuSCs [18,19]. So probing V xy 0 may supply further evidence for the BKT transition.
Figure 3 shows V xy 0 as a function of temperature in Ba(Fe0.914Co0.086)2As2 crystals. The V xy 0 value is virtually zero in the normal state ( T > T c onset ) and the superconducting state ( T < T c zero ). A nonzero peak-like V xy 0 appears exactly within the region of superconducting transition. The maximum of V xy 0 is located around the midpoint of the resistive transition. It is noted that the sign and the value of the maximal V xy 0 depends on the electrode configuration with respect to the sample orientations. For instance, when the sample is turned over, V xy 0 just changes the sign. Another feature of the nonzero V xy 0 is that the left side of the V xy 0 peak coincides well with the longitudinal signal, i.e., V xy 0 is basically proportional to Vxx for T c zero < T < T c mid .
The non-Hall-type transverse voltage in the absence of external magnetic field at superconducting transition was explained by the guided motion of thermally excited vortices [18,19,39]. In Ba(Fe1−xCox)2As2, the guided motion of vortices (or in other words, with anisotropic flux pinning) are supported by the in-plane anisotropy [40] and stripe-like STM image [41]. Assuming a simple situation that fluxons can only move along the guiding direction in an angle θ with respect to the current A → C as shown in the inset of Figure 3, according to Reference [42], the fully guided motion of vortices generates not only longitudinal electric field,
E / / A C = n f Φ 0 ( F L sin 2 θ F p sin θ ) / η c
but transverse electric field also,
E B D = n f Φ 0 ( F L sin θ cos θ F p cos θ ) / η c
where nf refers to sheet density of free vortices, Φ0 is flux quantum, Fp is the weak pinning force along the guiding direction, η is the damping coefficient of vortex motion, and c is the speed of light. When permutating the voltage and current, the angle between the guided motion and current turns out to be (π/2 + θ), and the transverse field due to current B → D becomes,
E A C = n f Φ 0 ( F L sin θ cos θ F p sin θ ) / η c
Since V = Ed (d is the length of the diagonal of the sample), and V xy 0 = (VBD/ACVAC/BD)/2, V xy 0 measured should be,
V xy 0 = 2 d n f Φ 0 F p sin ( θ π / 4 ) / η c
Obviously, V xy 0 is nonzero as long as θ ≠ (k +1/4)π (k is an integer) in the presence of free vortices. The sinusoidal variation on θ qualitatively agrees with our experimental observation that V xy 0 depends on the electrode configuration with respect to the sample orientations. When the sample is turned over, and the same electrode configuration is kept, θ changes into (π/2 − θ). Equation (6) gives V xy 0 | θ ( π / 2 θ ) = V xy 0 , which exactly meets the experimental observation. In addition, Equations (3) and (6) explain the coincidence of longitudinal and transverse signals in Figure 3, because both are proportional to nf. At T T c mid , nf decreases rapidly since the superconducting Cooper pairs dissociate. This explains the drop in V xy 0 above T c mid . The nonzero V xy 0 is extended to 26.0 K, suggesting superconducting phase fluctuations above Tc, such as the case in cuprate superconductors [20].
We also measured the transverse voltage under external magnetic fields. Figure 4a shows temperature dependence of V xy H + and V xy H defined in the experimental paragraph. In the normal state above T c onset , V xy H + and V xy H are mutually antisymmetric with respect to the applied field, consistent with usual Hall effect. The Hall voltage V xy Hall , obtained by V xy Hall = ( V xy H + V xy H )/2, is shown in Figure 4b. Indeed, V xy Hall increases linearly with increasing field in the normal state (shown in the inset). The value and sign of V xy Hall is consistent with previous reports [28]. At the superconducting transition, an anomalous sign reversal was observed, similar to previous study on Ba(Fe0.9Co0.1)2As2 crystal [43]. Here we emphasize that this anomalous sign reversal is related to applied fields, as it changes sign upon field reversal. Further discussion on its origin is beyond the scope of this paper.
At the superconducting transition, however, the transverse voltage does not change sign upon reversal of magnetic field, especially under low magnetic fields. So, there exists a non-Hall-type signal V xy nH , which is shown in Figure 4c. Similar to the V xy 0 signal shown in Figure 3, V xy nH also exhibits a peak at the superconducting transition, and the peak height decreases systematically with increasing magnetic field, which implies that V xy nH , together with V xy 0 , comes from the same origin. If V xy nH is due to the guided motion of vortices, as was earlier discussed in Na-Ta foils [42], the decrease in V xy nH can be qualitatively explained by the decrease of anisotropic pinning under magnetic fields (the pinning force perpendicular to the vortex-guided direction is reduced by the increasing number of vortices (due to the increasing magnetic field), and the vortices may easily slip along this direction, which smears out the anisotropic pinning effect). Here we should mention an alternative explanation for the non-Hall voltages in terms of asymmetric inhomogeneity [44]. However, even if some unavoidable minor asymmetric inhomogeneity plays a role for the non-Hall signal, it cannot bring about the BKT dynamics with α(T) = 3 at TBKT by itself. Besides, numerical simulations [45] indicate that inhomogeneity in Tc merely broadens the BKT transition without changing the universality class (z = 2), which agrees with our experimental observations.

4. Summary and Discussion

The possible appearance of BKT-type phase transition in Ba(Fe1−xCox)2As2 bulk crystals suggests a quasi-2D nature for iron-based superconductivity. Indeed, 2D antiferromagnetic spin fluctuations, which are mostly believed to be the glue of Cooper pairing, were revealed in BaFe1.84Co0.16As2 by neutron scattering experiment [46]. The 2D nature of superfluid density was found in Li(C5H5N)0.2Fe2Se2 superconductor [47]. Recently, a 2D-like (or BKT-like) nature in organic ion intercalated FeSe superconductors (TBA)xFeSe is also supported by both anisotropic transport and IV curves [48]. Furthermore, the observation of high-temperature superconductivity in FeSe monolayer grown on SrTiO3 substrate [49] directly suggests 2D superconductivity in FeSCs. The thickness of the FeSe monolayer is only about 2.8 Å, which means that the coherence length perpendicular to the layers, ξc, is shorter than 2.8 Å. Therefore, it is not so surprising that 2D superconducting behavior was manifested in Ba(Fe1−xCox)2As2, because the FeAs interlayer spacing is about 6.5 Å [28]. Here we point out that the conventional estimation of ξc from the anisotropy ratio in Hc2 [50] using ξ ab / ξ c = H c 2 / / / H c 2 , which gives ξc ~ 25 Å, may be misleading. This is because the measured Hc2 values are basically Pauli-limited (rather than orbital-limited) and FeSC are multi-band superconductors. For a specific superconducting pairing channel, ξc could be significantly smaller than the simple estimated from Hc2.
To summarize, we have presented the possible evidence for BKT phase transition in a typical FeSC Ba(Fe0.914Co0.086)2As2. The observation of non-Hall transverse voltage, probably caused by the guided motion of thermally activated vortices, in turn, further indicates the BKT scenario with vortex–antivortex unbinding. Our results suggest that, similarly to CuSCs, two-dimensionality also plays an important role for high-temperature superconductivity in iron pnictides.

Author Contributions

Conceptualization, W.-H.J. and G.-H.C.; methodology, all authors; validation, formal analysis, W.-H.J., H.J., and G.-H.C.; writing—original draft preparation, W.-H.J. and G.-H.C.; writing—review and editing, X.-F.X., Z.-A.X. and G.-H.C.; supervision, G.-H.C.; funding acquisition, G.-H.C. All authors have read and agreed to the published version of the manuscript.

Funding

This work was supported by the National Key Research and Development Program of China (2017YFA0303002) and the Key R&D Program of Zhejiang Province, China (2021C01002).

Institutional Review Board Statement

Not applicable.

Informed Consent Statement

Not applicable.

Data Availability Statement

The datasets used and/or analyzed during the current study are available from the corresponding author on reasonable request.

Conflicts of Interest

The authors declare no conflict of interest.

References

  1. Mazin, I.I. Superconductivity gets an iron boost. Nature 2010, 464, 183–186. [Google Scholar] [CrossRef]
  2. Basov, D.N.; Chubukov Andrey, V. Manifesto for a higher Tc. Nat. Phys. 2011, 7, 272–276. [Google Scholar] [CrossRef]
  3. Scalapino, D.J. A common thread: The pairing interaction for unconventional superconductors. Rev. Mod. Phys. 2012, 84, 1383–1417. [Google Scholar] [CrossRef]
  4. Yuan, H.Q.; Singleton, J.; Balakirev, F.; Baily, S.A.; Chen, G.F.; Luo, J.L.; Wang, N.L. Nearly isotropic superconductivity in (Ba,K)Fe2As2. Nature 2009, 457, 565–568. [Google Scholar] [CrossRef] [PubMed]
  5. Ni, N.; Bud’ko, S.L.; Kreyssig, A.; Nandi, S.; Rustan, G.E.; Goldman, A.I.; Gupta, S.; Corbett, J.D.; Kracher, A.; Canfield, P.C. Anisotropic thermodynamic and transport properties of single-crystalline Ba1− xKxFe2As2 (x = 0 and 0.45). Phys. Rev. B 2008, 78, 014507. [Google Scholar] [CrossRef]
  6. Blatter, G.; Feigel’Man, M.V.; Geshkenbein, V.B.; Larkin, A.I.; Vinokur, V.M. Vortices in high-temperature superconductors. Rev. Mod. Phys. 1994, 66, 1125–1388. [Google Scholar] [CrossRef]
  7. Anderson, P.W. The Theory of Superconductivity in the High-Tc Cuprate Superconductivity; Princeton University Press: Princeton, NJ, USA, 1997. [Google Scholar]
  8. Kosterlitz, J.M.; Thouless, D.J. Ordering, metastability and phase transitions in two-dimensional systems. J. Phys. C 1973, 6, 1181. [Google Scholar] [CrossRef]
  9. Martin, S.; Fiory, A.T.; Espinosa, G.P.; Cooper, A.S.; Fleming, R.M. Vortex-Pair Excitation near the Superconducting Transition of Bi2Sr2CaCu2O8 Crystals. Phys. Rev. Lett. 1989, 62, 677–680. [Google Scholar] [CrossRef] [PubMed]
  10. Artemenko, S.; Gorlova, I.; Latyshev, Y. Vortex motion and kosterlitz-thouless transition in superconducting single crystals Bi2Sr2CaCu2Ox. Phys. Lett. A 1989, 138, 428–434. [Google Scholar] [CrossRef]
  11. Stamp, P.C.E.; Forro, L.; Ayache, C. Kosterlitz-Thouless transition of fluxless solitons in superconducting YBa2Cu3O7−δ single crystals. Phys. Rev. B 1988, 38, 2847. [Google Scholar] [CrossRef]
  12. Yeh, N.-C.; Tsuei, C.C. Quasi-two-dimensional phase fluctuations in bulk superconducting YBa2Cu3O7 single crystals. Phys. Rev. B 1989, 39, 9708–9711. [Google Scholar] [CrossRef]
  13. Li, Q.; Huecker, M.; Gu, G.D.; Tsvelik, A.M.; Tranquada, J.M. Two-Dimensional Superconducting Fluctuations in Stripe-Ordered La1.875Ba0.125CuO4. Phys. Rev. Lett. 2007, 99, 067001. [Google Scholar] [CrossRef] [PubMed]
  14. Beasley, M.R.; Mooij, J.E.; Orlando, T.P. Possibility of Vortex-Antivortex Pair Dissociation in Two-Dimensional Superconductors. Phys. Rev. Lett. 1979, 42, 1165–1168. [Google Scholar] [CrossRef]
  15. Hebard, A.F.; Fiory, A.T. Evidence for the Kosterlitz-Thouless transition in thin superconducting aluminum films. Phys. Rev. Lett. 1980, 44, 291. [Google Scholar] [CrossRef]
  16. Jensen, H.J.; Minnhagen, P. Two-dimensional vortex fluctuations in the nonlinear current-voltage characteristics for high-temperature superconductors. Phys. Rev. Lett. 1991, 66, 1630–1633. [Google Scholar] [CrossRef] [PubMed]
  17. Bulaevskii, L.N.; Ledvij, M.; Kogan, V.G. Fluctuations of vortices in layered high-Tc superconductors. Phys. Rev. Lett. 1992, 68, 3773. [Google Scholar] [CrossRef]
  18. Vasek, P. Transverse voltage in high-Tc superconductors in zero magnetic fields. Phys. C Supercond. 2001, 364–365, 194–196. [Google Scholar] [CrossRef]
  19. Janeček, I.; Vašek, P. Reciprocity theorem in high-temperature superconductors. Phys. C Supercond. 2003, 390, 330–340. [Google Scholar] [CrossRef]
  20. Xu, Z.A.; Ong, N.P.; Wang, Y.; Kakeshita, T.; Uchida, S.I. Vortex-like excitations and the onset of superconducting phase fluctuation in underdoped La2-xSrx CuO4. Nature 2000, 406, 486–488. [Google Scholar] [CrossRef]
  21. Pallecchi, I.; Fanciulli, C.; Tropeano, M.; Palenzona, A.; Ferretti, M.; Malagoli, A.; Martinelli, A.; Sheikin, I.; Putti, M.; Ferdeghini, C. Upper critical field and fluctuation conductivity in the critical regime of doped SmFeAsO. Phys. Rev. B 2009, 79, 104515. [Google Scholar] [CrossRef]
  22. Lee, H.-S.; Park, J.-H.; Lee, J.-Y.; Kim, J.-Y.; Sung, N.-H.; Cho, B.; Lee, H.-J. Two-dimensional superconductivity of SmFeAsO0.85 single crystals: A fluctuation-conductivity study. Phys. C Supercond. 2010, 470, S422–S423. [Google Scholar] [CrossRef]
  23. Rullier-Albenque, F.; Colson, D.; Forget, A.; Alloul, H. Multiorbital Effects on the Transport and the Superconducting Fluctuations in LiFeAs. Phys. Rev. Lett. 2012, 109, 187005. [Google Scholar] [CrossRef]
  24. Fanfarillo, L.; Benfatto, L.; Caprara, S.; Castellani, C.; Grilli, M. Theory of fluctuation conductivity from interband pairing in pnictide superconductors. Phys. Rev. B 2009, 79, 172508. [Google Scholar] [CrossRef]
  25. Ge, J.; Cao, S.; Yuan, S.; Kang, B.; Zhang, J. Three-dimensional superconductivity in nominal composition Fe1.03Se with up to 10.9 K induced by internal strain. J. Appl. Phys. 2010, 108, 53903. [Google Scholar] [CrossRef]
  26. Marra, P.; Nigro, A.; Li, Z.; Chen, G.F.; Wang, N.L.; Luo, J.L.; Noce, C. Paraconductivity of the K-doped SrFe2As2 superconductor. N. J. Phys. 2012, 14, 043001. [Google Scholar] [CrossRef][Green Version]
  27. Tang, F.; Wang, P.; Wang, P.; Gan, Y.; Gu, G.D.; Zhang, W.; He, M.; Zhang, L. Quasi-2D superconductivity in FeTe0.55Se0.45 ultrathin film. J. Phys. Condens. Matter 2019, 31, 265702. [Google Scholar] [CrossRef]
  28. Wang, X.F.; Wu, T.; Wu, G.; Liu, R.H.; Chen, H.; Xie, Y.L.; Chen, X.H. The peculiar physical properties and phase diagram of BaFe2-xCoxAs2 single crystals. N. J. Phys. 2009, 11, 045003. [Google Scholar] [CrossRef]
  29. Fisher, D.S.; Fisher, M.P.A.; Huse, D.A. Thermal fluctuations, quenched disorder, phase transitions, and transport in type-II superconductors. Phys. Rev. B 1991, 43, 130–159. [Google Scholar] [CrossRef]
  30. Jiang, S.; Xing, H.; Xuan, G.; Ren, Z.; Wang, C.; Xu, Z.-A.; Cao, G. Superconductivity and local-moment magnetism in Eu(Fe0.89Co0.11)2As2. Phys. Rev. B 2009, 80, 184514. [Google Scholar] [CrossRef]
  31. Van der Pauw, L.J. A method of measuring specific resistivity and Hall effect of discs of arbitrary shape. Philips Res. Rep. 1958, 13, 1–9. [Google Scholar]
  32. Sample, H.H.; Bruno, W.J.; Sample, S.B.; Sichel, E.K. Reverse-field reciprocity for conducting specimens in magnetic fields. J. Appl. Phys. 1987, 61, 1079–1084. [Google Scholar] [CrossRef]
  33. Pierson, S.W.; Friesen, M.; Ammirata, S.M.; Hunnicutt, J.C.; Gorham, L.A. Dynamic scaling for two-dimensional superconductors, Josephson-junction arrays, and superfluids. Phys. Rev. B 1999, 60, 1309–1325. [Google Scholar] [CrossRef]
  34. Halperin, B.I.; Nelson, D.R. Resistive transition in superconducting films. J. Low Temp. Phys. 1979, 36, 599–616. [Google Scholar] [CrossRef]
  35. Aslamazov, L.G.; Larkin, A.I. Effect of fluctuations on the properties of a superconductor above the critical temperature. Sov. Phys. Solid State 1968, 10, 875. [Google Scholar] [CrossRef]
  36. Tinkham, M. Introduction to Superconductivity, 2nd ed.; McGraw-Hill: New York, NY, USA, 1996. [Google Scholar]
  37. Nelson, D.R.; Kosterlitz, J.M. Universal Jump in the Superfluid density of two-dimensional superfluids. Phys. Rev. Lett. 1977, 39, 1201–1205. [Google Scholar] [CrossRef]
  38. Lv, J.-P.; Liu, H.; Chen, Q.-H. Phase transition in site-diluted Josephson junction arrays: A numerical study. Phys. Rev. B 2009, 79, 104512. [Google Scholar] [CrossRef]
  39. Vašek, P.; Janeček, I.; Plecháček, V. Intrinsic pinning and guided motion of vortices in high-Tc superconductors. Phys. C Supercond. 1995, 247, 381–384. [Google Scholar] [CrossRef]
  40. Chu, J.-H.; Analytis, J.G.; De Greve, K.; McMahon, P.L.; Islam, Z.; Yamamoto, Y.; Fisher, I.R. In-plane resistivity anisotropy in an underdoped iron arsenide superconductor. Science 2010, 329, 824–826. [Google Scholar] [CrossRef] [PubMed]
  41. Yin, Y.; Zech, M.; Williams, T.L.; Wang, X.F.; Wu, G.; Chen, X.H.; Hoffman, J.E. Scanning tunneling spectroscopy and vortex imaging in the iron pnictide superconductor BaFe1.8Co0.2As2. Phys. Rev. Lett. 2009, 102, 097002. [Google Scholar] [CrossRef] [PubMed]
  42. Niessen, A.K.; Weijsenfeld, C.H. Anisotropic Pinning and Guided Motion of Vortices in Type-II Superconductors. J. Appl. Phys. 1969, 40, 384–393. [Google Scholar] [CrossRef]
  43. Wang, L.M.; Sou, U.C.; Yang, H.C.; Chang, L.J.; Cheng, C.M.; Tsuei, K.D.; Su, Y.; Wolf, T.; Adelmann, P. Mixed-state Hall effect and flux pinning in Ba(Fe1−xCox)2As2 single crystals (x = 0.08 and 0.10). Phys. Rev. B 2011, 83, 134506. [Google Scholar] [CrossRef]
  44. Segal, A.; Karpovski, M.; Gerber, A. Inhomogeneity and transverse voltage in superconductors. Phys. Rev. B 2011, 83, 094531. [Google Scholar] [CrossRef]
  45. Cotón, N.; Ramallo, M.; Vidal, F. Effects of critical temperature inhomogeneities on the voltage–current characteristics of a planar superconductor near the Berezinskii–Kosterlitz–Thouless transition. Supercond. Sci. Technol. 2011, 24, 085013. [Google Scholar] [CrossRef]
  46. Lumsden, M.D.; Christianson, A.D.; Parshall, D.; Stone, M.B.; Nagler, S.E.; MacDougall, G.J.; Mook, H.A.; Lokshin, K.; Egami, T.; Abernathy, D.L.; et al. Two-dimensional resonant magnetic excitation in BaFe1.84Co0.16As2. Phys. Rev. Lett. 2009, 102, 107005. [Google Scholar] [CrossRef]
  47. Biswas, P.K.; Krzton-Maziopa, A.; Khasanov, R.; Luetkens, H.; Pomjakushina, E.; Conder, K.; Amato, A. Two-Dimensional Superfluid Density in an Alkali Metal-Organic Solvent Intercalated Iron Selenide Superconductor Li(C5H5N)0.2Fe2Se2. Phys. Rev. Lett. 2013, 110, 137003. [Google Scholar] [CrossRef]
  48. Kang, B.L.; Shi, M.Z.; Li, S.J.; Wang, H.H.; Zhang, Q.; Zhao, D.; Li, J.; Song, D.W.; Zheng, L.X.; Nie, L.P.; et al. Preformed cooper pairs in layered FeSe-based superconductors. Phys. Rev. Lett. 2020, 125, 097003. [Google Scholar] [CrossRef] [PubMed]
  49. Wang, Q.-Y.; Li, Z.; Zhang, W.-H.; Zhang, Z.-C.; Zhang, J.-S.; Li, W.; Ding, H.; Ou, Y.-B.; Deng, P.; Chang, K.; et al. Interface-induced high-temperature superconductivity in single unit-cell FeSe films on SrTiO3. Chin. Phys. Lett. 2012, 29, 037402. [Google Scholar] [CrossRef]
  50. Kano, M.; Kohama, Y.; Graf, D.; Balakirev, F.; Sefat, A.S.; Mcguire, M.A.; Sales, B.C.; Mandrus, D.; Tozer, S.W. Anisotropy of the upper critical field in a Co-doped BaFe2As2 single crystal. J. Phys. Soc. Jpn. 2009, 78, 084719. [Google Scholar] [CrossRef]
Figure 1. Temperature dependence of normalized resistance R/Rn in the superconducting transition of Ba(Fe0.914Co0.086)2As2 crystal (photographed on the left inset). Rn is the normal-state resistance, obtained by a linear extrapolation from 50 K to 35 K. The inserted plot shows the superconducting transition in normal linear scale. The related characteristic temperatures are indicated with arrows.
Figure 1. Temperature dependence of normalized resistance R/Rn in the superconducting transition of Ba(Fe0.914Co0.086)2As2 crystal (photographed on the left inset). Rn is the normal-state resistance, obtained by a linear extrapolation from 50 K to 35 K. The inserted plot shows the superconducting transition in normal linear scale. The related characteristic temperatures are indicated with arrows.
Materials 14 06294 g001
Figure 2. (a) A log–log plot of voltage-current characteristics of Ba(Fe0.914Co0.086)2As2 crystal at temperatures spanning the critical region from 24.40 K to 24.72 K. The inset shows temperature dependence of fitted by VIα with the low-current data. (b) Dynamic scaling of all the IV data in (a) according to Equation (2) in the text.
Figure 2. (a) A log–log plot of voltage-current characteristics of Ba(Fe0.914Co0.086)2As2 crystal at temperatures spanning the critical region from 24.40 K to 24.72 K. The inset shows temperature dependence of fitted by VIα with the low-current data. (b) Dynamic scaling of all the IV data in (a) according to Equation (2) in the text.
Materials 14 06294 g002
Figure 3. Temperature dependence of the zero-field transverse (left axis) and longitudinal (right axis) voltages for Ba(Fe0.914Co0.086)2As2 crystals. The transverse voltage was obtained by V xy 0 = (VBD/ACVAC/BD)/2, and the inset depicts the guided motion of an unbound vortex pair as well as the configuration for the measurement of VBD/AC.
Figure 3. Temperature dependence of the zero-field transverse (left axis) and longitudinal (right axis) voltages for Ba(Fe0.914Co0.086)2As2 crystals. The transverse voltage was obtained by V xy 0 = (VBD/ACVAC/BD)/2, and the inset depicts the guided motion of an unbound vortex pair as well as the configuration for the measurement of VBD/AC.
Materials 14 06294 g003
Figure 4. (a) Transverse voltages V xy H + and V xy H at different directions of external magnetic fields as functions of temperature for the Ba(Fe0.914Co0.086)2As2 crystals. (b) and (c) plot the temperature dependence of Hall and non-Hall transverse voltages, respectively. See the experimental method in the text for details.
Figure 4. (a) Transverse voltages V xy H + and V xy H at different directions of external magnetic fields as functions of temperature for the Ba(Fe0.914Co0.086)2As2 crystals. (b) and (c) plot the temperature dependence of Hall and non-Hall transverse voltages, respectively. See the experimental method in the text for details.
Materials 14 06294 g004
Publisher’s Note: MDPI stays neutral with regard to jurisdictional claims in published maps and institutional affiliations.

Share and Cite

MDPI and ACS Style

Jiao, W.-H.; Xu, X.-F.; Jiang, H.; Xu, Z.-A.; Chen, Q.-H.; Cao, G.-H. Possible Evidence for Berezinskii–Kosterlitz–Thouless Transition in Ba(Fe0.914Co0.086)2As2 Crystals. Materials 2021, 14, 6294. https://doi.org/10.3390/ma14216294

AMA Style

Jiao W-H, Xu X-F, Jiang H, Xu Z-A, Chen Q-H, Cao G-H. Possible Evidence for Berezinskii–Kosterlitz–Thouless Transition in Ba(Fe0.914Co0.086)2As2 Crystals. Materials. 2021; 14(21):6294. https://doi.org/10.3390/ma14216294

Chicago/Turabian Style

Jiao, Wen-He, Xiao-Feng Xu, Hao Jiang, Zhu-An Xu, Qing-Hu Chen, and Guang-Han Cao. 2021. "Possible Evidence for Berezinskii–Kosterlitz–Thouless Transition in Ba(Fe0.914Co0.086)2As2 Crystals" Materials 14, no. 21: 6294. https://doi.org/10.3390/ma14216294

APA Style

Jiao, W.-H., Xu, X.-F., Jiang, H., Xu, Z.-A., Chen, Q.-H., & Cao, G.-H. (2021). Possible Evidence for Berezinskii–Kosterlitz–Thouless Transition in Ba(Fe0.914Co0.086)2As2 Crystals. Materials, 14(21), 6294. https://doi.org/10.3390/ma14216294

Note that from the first issue of 2016, this journal uses article numbers instead of page numbers. See further details here.

Article Metrics

Back to TopTop