Deformation Behavior and Microstructural Evolution of T-Shape Upsetting Test in Ultrafine-Grained Pure Copper
Abstract
1. Introduction
2. Materials and Methods
2.1. Materials
2.2. Methods
3. Results
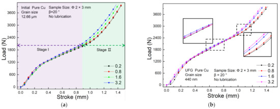
3.1. FEM Analysis
3.2. Effect of Surface Roughness
3.3. Effect of Edge Radius and V-Groove Angle
3.4. Effect of Testing Temperature
3.5. Microhardness
3.6. Microstructural Evolution after T-Shape Upsetting
3.7. Effect of Temperature on Microstructural Evolution
4. Conclusions
- (1)
- The deformation process can be divided into two stages according to the law of material flow: In the first stage, the flow rate into the groove is greater than the flow rate to lateral, while in the second stage we have the opposite.
- (2)
- The UFG copper has a strong temperature dependence, high V-groove angle and edge radius sensitivity during T-shape upsetting, while surface roughness has little effect on the change of rib height and the aspect ratio λ.
- (3)
- The most severe deformation occurred near the corner of the die, which is related with the friction and extrusion in the interface, and the initial equiaxed grains gradually evolve to strip-like grains along the deformation direction; while at the bottom part, instead of elongation, grain rotation is the main deformation mechanism during the upsetting process.
- (4)
- The grain growth has an evident discrepancy at elevated temperature, for which the dynamic recovery seems to weaken the work hardening under 200 °C, while the dynamic recrystallization gradually dominates at the deformation temperature higher than 250 °C with a rising fraction of twin boundaries.
Author Contributions
Funding
Institutional Review Board Statement
Informed Consent Statement
Data Availability Statement
Conflicts of Interest
References
- Xu, J.; Wang, X.W.; Wang, C.J.; Yuan, L.; Chen, W.J.; Bao, J.X.; Su, Q.; Xu, Z.H.; Wang, C.J.; Wang, Z.L.; et al. A Review on Micro/Nanoforming to Fabricate 3D Metallic Structures. Adv. Mater. 2021, 33, 2000893. [Google Scholar] [CrossRef] [PubMed]
- Qin, Y.; Brockett, A.; Ma, Y.; Razali, A.; Zhao, J. Micro-manufacturing: Research, Technology Outcomes and Development Issues. Int. J. Adv. Manuf. Technol. 2010, 47, 821–837. [Google Scholar] [CrossRef]
- Razali, A.R.; Qin, Y. A Review on Micro-manufacturing, Micro-forming and their Key Issues. Procedia Eng. 2013, 53, 665–672. [Google Scholar] [CrossRef]
- Barbier, C.; Thibaud, S.; Picart, P. Size effects on material behaviour in microforming. Int. J. Mater. Form. 2008, 1, 439–442. [Google Scholar] [CrossRef][Green Version]
- Toth, L.; Chen, C.; Pougis, A.; Arzaghi, M.; Fundenberger, J.; Suwas, S. High Pressure Tube Twisting for Producing Ultra Fine Grained Materials: A Review. Mater. Trans. 2019, 60, 1177–1191. [Google Scholar] [CrossRef]
- Jamaati, R.; Toroghinejad, M.R.; Edris, H.; Salmani, M. Fabrication of Nano/Ultra-Fine Grained IF Steel via SPD Processes: A Review. Trans. Indian Inst. Met. 2014, 67, 787–802. [Google Scholar] [CrossRef]
- Xu, J.; Li, J.W.; Shan, D.B.; Guo, B. Microstructural evolution and micro/meso-deformation behavior in pure copper processed by equal-channel angular pressing. Mater. Sci. Eng. A-Struct. Mater. Prop. Microstruct. Process. 2016, 664, 114–125. [Google Scholar] [CrossRef]
- Afifi, M.A.; Wang, Y.C.; Pereira, P.; Huang, Y.; Wang, Y.W. Mechanical properties of an Al-Zn-Mg alloy processed by ECAP and heat treatments. J. Alloys Compd. 2018, 769, 631–639. [Google Scholar] [CrossRef]
- Nuckowski, P.M.; Snopinski, P.; Wrobel, T. Influence of Plastic Strain Accumulation in Continuous Ingots during ECAP on Structure and Recrystallization Temperature of AlCu4MgSi Alloy. Materials 2020, 13, 576. [Google Scholar] [CrossRef]
- Zherebtsov, S.; Ozerov, M.; Klimova, M.; Stepanov, N.; Vershinina, T.; Ivanisenko, Y.; Salishchev, G. Effect of High-Pressure Torsion on Structure and Properties of Ti-15Mo/TiB Metal-Matrix Composite. Materials 2018, 11, 2426. [Google Scholar] [CrossRef]
- Ast, J.; Ghidelli, M.; Durst, K.; Goken, M.; Sebastiani, M.; Korsunsky, A.M. A review of experimental approaches to fracture toughness evaluation at the micro-scale. Mater. Des. 2019, 173, 107762. [Google Scholar] [CrossRef]
- Ghidelli, M.; Idrissi, H.; Gravier, S.; Blandin, J.J.; Raskin, J.P.; Schryvers, D.; Pardoen, T. Homogeneous flow and size dependent mechanical behavior in highly ductile Zr65Ni35 metallic glass films. Acta Mater. 2017, 131, 246–259. [Google Scholar] [CrossRef]
- Zhang, D.W.; Liu, B.K.; Li, J.X.; Cui, M.C.; Zhao, S.G. Variation of the friction conditions in cold ring compression tests of medium carbon steel. Friction 2020, 8, 311–322. [Google Scholar] [CrossRef]
- Kim, J.H.; Ko, B.H.; Kim, J.H.; Lee, K.H.; Moon, Y.H.; Ko, D.C. Evaluation of friction using double cup and spike forging test for dry-in-place coating and forming oils. Tribol. Int. 2020, 150, 106361. [Google Scholar] [CrossRef]
- Zhang, Q.; Felder, E.; Bruschi, S. Evaluation of friction condition in cold forging by using T-shape compression test. J. Mater. Process. Technol. 2009, 209, 5720–5729. [Google Scholar] [CrossRef]
- Deng, L.; Li, X.T.; Jin, J.S.; Wang, X.Y.; Li, J.J. T-shape upsetting-extruding test for evaluating friction conditions during rib-web part forming. J. Mater. Process. Technol. 2014, 214, 2276–2283. [Google Scholar] [CrossRef]
- Bingol, S.; Ayer, O.; Altinbalik, T. Extrusion load prediction of gear-like profile for different die geometries using ANN and FEM with experimental verification. Int. J. Adv. Manuf. Technol. 2015, 76, 983–992. [Google Scholar] [CrossRef]
- Abd, E.A.; Mohamed, I. 3D FEM simulations and experimental validation of plastic deformation of pure aluminum deformed by ECAP and combination of ECAP and direct extrusion. Trans. Nonferrous Met. Soc. China 2017, 27, 1338–1352. [Google Scholar] [CrossRef]
- Fereshteh-saniee, F.; Badnava, H.; Pezeshki-najafabadi, S.M. Application of T-shape friction test for AZ31 and AZ80 magnesium alloys at elevated temperatures. Mater. Des. 2011, 32, 3221–3230. [Google Scholar] [CrossRef]
- Fereshteh-saniee, F.; Fallah-nejad, K.; Beheshtiha, A.S.; Badnava, H. Investigation of tension and compression behavior of AZ80 magnesium alloy. Mater. Des. 2013, 50, 702–712. [Google Scholar] [CrossRef]
- Ben, N.Y.; Zhang, Q.; Bandyopadhyay, K.; Lee, M.G. Analysis of friction behaviour under oscillating forming process using T-shape compression test and finite element simulation. J. Mater. Process. Technol. 2020, 275, 116327. [Google Scholar] [CrossRef]
- Ben, N.Y.; Zhang, Q.; Menga, D.A.; Lee, M.G. Analysis of real contact area and re-lubrication in oscillating bulk forming process by corrosion method. J. Mater. Process. Technol. 2018, 253, 178–194. [Google Scholar] [CrossRef]
- Taureza, M.; Castagne, S.; Aue-u-lan, Y.; Lim, S.C.V. The influence of die geometry and workpiece mechanical properties in T-Shape friction test. J. Mater. Process. Technol. 2012, 212, 2413–2423. [Google Scholar] [CrossRef]
- Park, L.; Kim, H.W.; Lee, C.S.; Park, K.T. Factors influencing tensile ductility of OFHC Cu having different ultrafine grained structure. Mater. Trans. 2010, 51, 2049–2055. [Google Scholar] [CrossRef]
- Guo, S.F.; Liu, R.Y.; Jiang, X.Q.; Zhang, H.J.; Zhang, D.F.; Wang, J.F.; Pan, F.S. Statistical Analysis on the Mechanical Properties of Magnesium Alloys. Materials 2017, 10, 1271. [Google Scholar] [CrossRef]
- Bagherpour, E.; Pardis, N.; Reihanian, M.; Ebrahimi, R. An overview on severe plastic deformation: Research status, techniques classification, microstructure evolution, and applications. Int. J. Adv. Manuf. Technol. 2019, 100, 1647–1694. [Google Scholar] [CrossRef]
- Gubicza, J.; Dobatkin, S.V.; Khosravi, E.; Kuznetsov, A.A.; Lábár, J.L. Microstructural stability of Cu processed by different routes of severe plastic deformation. Mater. Sci. Eng. A-Struct. Mater. Prop. Microstruct. Process. 2011, 528, 1828–1832. [Google Scholar] [CrossRef]
- Molodova, X.; Gottstein, G.; Winning, M.; Hellmig, R.J. Thermal stability of ECAP processed pure copper. Mater. Sci. Eng. A-Struct. Mater. Prop. Microstruct. Process. 2007, 460, 204–213. [Google Scholar] [CrossRef]
- Han, P.S.; Ma, W.J.; Zhu, X.Y.; Li, Y.W.; Yang, X.R.; Wang, X.G. Hot deformation behavior and processing map of ultrafine-grained pure zirconium refined by compounding. Mater. Res. Express. 2020, 7, 026547. [Google Scholar] [CrossRef]
- Xu, Q.; Ma, A.B.; Li, Y.H.; Sun, J.P.; Yuan, Y.C.; Jiang, J.H.; Ni, C.Y. Microstructure evolution of AZ91 alloy processed by a combination method of equal channel angular pressing and rolling. J. Magnes. Alloy. 2020, 8, 192–198. [Google Scholar] [CrossRef]
- Ma, M.Z.; Zhang, X.; Li, Z.; Xiao, Z.; Jiang, H.Y.; Xia, Z.Q.; Huang, H.Y. Effect of Equal Channel Angular Pressing on Microstructure and Mechanical Properties of a Cu-Mg Alloy. Crystals 2020, 10, 426. [Google Scholar] [CrossRef]
- Barenji, A.B.; Eivani, A.R.; Hasheminiasari, M.; Jafarian, H.R.; Park, N. Effects of hot forming cold die quenching and inter-pass solution treatment on the evolution of microstructure and mechanical properties of AA2024 aluminum alloy after equal channel angular pressing. J. Mater. Res. Technol-JMRT 2020, 9, 1683–1697. [Google Scholar] [CrossRef]
- Suo, T.; Ming, L.; Zhao, F.; Li, Y.L.; Fan, X.L. Temperature and strain rate sensitivity of ultrafine-grained copper under uniaxial compression. Int. J. Appl. Mech. 2013, 5, 1350016. [Google Scholar] [CrossRef]
- Li, C.Y.; Le, Q.C.; Hu, K.; Bao, L.; Ma, B.W.; Jia, Y.H.; Wang, X.; Zhou, W.Y.; Xu, G.J. Study on texture and dynamic recrystallization behavior of high purity copper during reverse extrusion. Mater. Res. Express. 2019, 6, 1265e4. [Google Scholar] [CrossRef]
- Schneibel, J.H.; Heilmaier, M. Hall-Petch breakdown at elevated temperatures. Mater. Trans. 2014, 55, 44–51. [Google Scholar] [CrossRef]
- Kang, C.J.; Tang, J.; Luo, H.Y.; Ye, K.L.; Ma, Y.; Shi, D.Q. Study on the deformation mechanism of the inflection point in tensile curve of nano/ultrafine-grained austenite stainless steel rolled at different temperature. Mater. Sci. Eng. A-Struct. Mater. Prop. Microstruct. Process. 2020, 786, 139367. [Google Scholar] [CrossRef]
- Kang, S.H.; Choi, S.W.; Im, Y.D.; Lee, Y.K. Grain boundary sliding during high-temperature tensile deformation in superplastic Fe-6.6Mn-2.3Al steel. Mater. Sci. Eng. A-Struct. Mater. Prop. Microstruct. Process. 2020, 780, 139174. [Google Scholar] [CrossRef]

















Publisher’s Note: MDPI stays neutral with regard to jurisdictional claims in published maps and institutional affiliations. |
© 2021 by the authors. Licensee MDPI, Basel, Switzerland. This article is an open access article distributed under the terms and conditions of the Creative Commons Attribution (CC BY) license (https://creativecommons.org/licenses/by/4.0/).
Share and Cite
Jiang, H.; Yan, G.; Li, J.; Xu, J.; Shan, D.; Guo, B. Deformation Behavior and Microstructural Evolution of T-Shape Upsetting Test in Ultrafine-Grained Pure Copper. Materials 2021, 14, 4869. https://doi.org/10.3390/ma14174869
Jiang H, Yan G, Li J, Xu J, Shan D, Guo B. Deformation Behavior and Microstructural Evolution of T-Shape Upsetting Test in Ultrafine-Grained Pure Copper. Materials. 2021; 14(17):4869. https://doi.org/10.3390/ma14174869
Chicago/Turabian StyleJiang, Hongpeng, Guangqiang Yan, Jianwei Li, Jie Xu, Debin Shan, and Bin Guo. 2021. "Deformation Behavior and Microstructural Evolution of T-Shape Upsetting Test in Ultrafine-Grained Pure Copper" Materials 14, no. 17: 4869. https://doi.org/10.3390/ma14174869
APA StyleJiang, H., Yan, G., Li, J., Xu, J., Shan, D., & Guo, B. (2021). Deformation Behavior and Microstructural Evolution of T-Shape Upsetting Test in Ultrafine-Grained Pure Copper. Materials, 14(17), 4869. https://doi.org/10.3390/ma14174869
