A Method for Preparing Superhydrophobic Paper with High Stability and Ionic Liquid-Induced Wettability Transition
Abstract
1. Introduction
2. Experimental Section
2.1. Experimental Materials
2.2. Experimental Procedure
2.2.1. Preparation of Polymer Coating PTSPM-PMETAC with Anion Adsorption Properties
2.2.2. Preparation of Amino-Modified Nano-SiO2
2.2.3. Preparation of Superhydrophobic Paper with Ionic Liquid-Responsive Properties
2.3. Characterization
3. Result and Discussion
3.1. Synthesis of Polymers and Modified Coatings
3.2. Analysis of Surface Elements of Modified Paper
3.3. Microscopic Morphology of Modified Paper
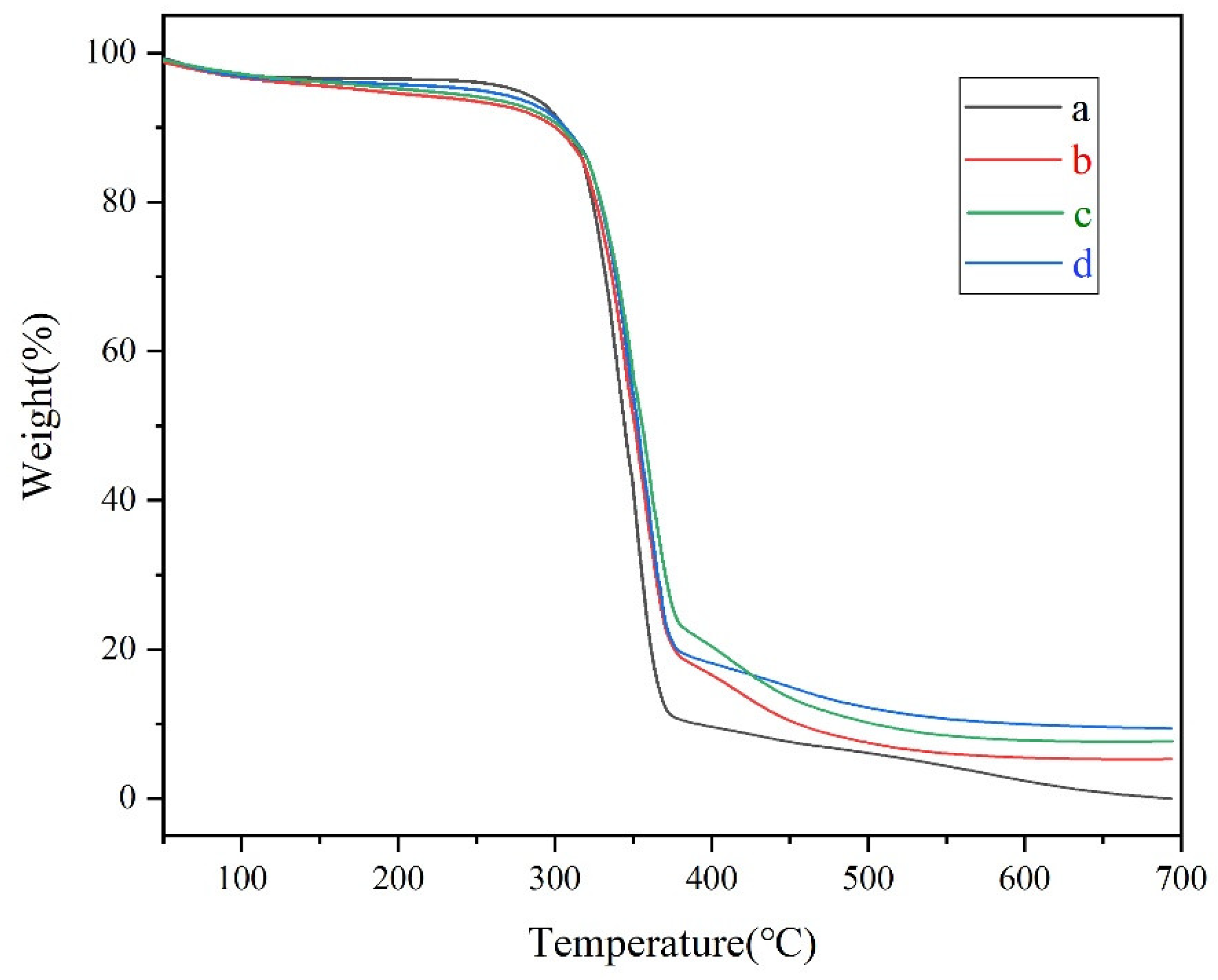
3.4. Thermogravimetric Analysis of Modified Paper
3.5. Stability Test
3.6. Transparency Test
4. Conclusions
Author Contributions
Funding
Institutional Review Board Statement
Informed Consent Statement
Data availability statement
Acknowledgments
Conflicts of Interest
References
- Li, J.; Niu, S. Life cycle comprehensive analysis assessment and limit requirements of paper packaging material. Packag. Eng. 2010, 7, 128–132. [Google Scholar]
- Wang, N.; Xiong, D.; Pan, S.; Deng, Y.; Shi, Y.; Wang, K. Superhydrophobic paper with superior stability against deformations and humidity. Appl. Surf. Sci. 2016, 389, 354–360. [Google Scholar] [CrossRef]
- Li, H.; He, Y.; Yang, J. Fabrication of food-safe superhydrophobic cellulose paper with improved moisture and air barrier properties. Carbohydr. Polym. 2019, 211, 22–30. [Google Scholar] [CrossRef] [PubMed]
- Youssef, A.M.; Samahy, M.A.E.; Mona, H.; Rehim, A. Preparation of conductivepaper composites based on natural cellulosic fibers for packagingapplications. Carbohydr. Polym. 2012, 89, 1027–1032. [Google Scholar] [CrossRef]
- Teng, Y.; Wang, Y.; Shi, B. Facile preparation of economical, eco-friendly superhydrophobic surface on paper substrate with excellent mechanical durability. Prog. Org. Coat. 2020, 147, 105877. [Google Scholar] [CrossRef]
- Fu, J.; Yang, F.; Guo, Z. Facile fabrication of superhydrophobic filter paper with high water adhesion. Mater. Lett. 2019, 236, 732–735. [Google Scholar] [CrossRef]
- Shang, Q.; Chen, J.; Liu, C. Facile fabrication of environmentally friendly bio-based superhydrophobic surfaces via UV-polymerization for self-cleaning and high efficient oil/water separation. Prog. Org. Coat. 2019, 137, 105346. [Google Scholar] [CrossRef]
- Jiang, C.; Liu, W.; Yang, M.; Liu, C.; He, S.; Xie, Y.; Wang, Z. Robust multifunctional superhydrophobic fabric with UV induced reversible wettability, photocatalytic self-cleaning property, and oil-water separation via thiol-ene click chemistry. Appl. Surf. Sci. 2019, 463, 34–44. [Google Scholar] [CrossRef]
- Li, D.; Fan, J.; Chen, J.; Jiang, D. Preparation of superhydrophobic multiscale films for oil-water separation in a harsh environment. Adv. Mater. Sci. Eng. 2019, 2019, 4292410. [Google Scholar] [CrossRef]
- Rafik, A.; Elkhoshkhany, N.; Ahmed, H.; Shaker, E.; Aya, R. High stability performance of superhydrophobic modified fluorinated graphene films on copper alloy substrates. Adv. Mater. Sci. Eng. 2017, 2017, 6197872. [Google Scholar]
- Zhang, R.; Hao, P.; Zhang, X.; He, F. Supercooled water droplet impact on superhydrophobic surfaces with various roughness and temperature. Int. J. Heat Mass Transf. 2018, 122, 395–402. [Google Scholar] [CrossRef]
- Zhang, Q.; Cai, S.; Zhang, W.; Lan, Y.; Zhang, X. Density, viscosity, conductivity, refractive index and interaction study of binary mixtures of the ionic liquid 1–ethyl–3–methylimidazolium acetate with methyldiethanolamine. J. Mol. Liq. 2017, 233, 471–478. [Google Scholar] [CrossRef]
- Lahann, J.; Mitragotri, S.; Tran, T.N.; Kaido, H.; Langer, R. A reversibly switching surface. Science 2003, 299, 371–374. [Google Scholar] [CrossRef]
- Geissler, A.; Loyal, F.; Biesalski, M.; Zhang, K. Thermo-responsive superhydrophobic paper using nanostructured cellulose stearoyl ester. Cellulose 2014, 21, 357–366. [Google Scholar] [CrossRef]
- Wang, L.; Lin, Y.; Peng, B.; Su, Z. Tunable wettability by counterion exchange at the surface of electrostatic self-assembled multilayers. Chem. Commun. 2009, 45, 5972–5974. [Google Scholar] [CrossRef] [PubMed]
- Jiang, W.; Wang, G.; He, Y.; Wang, X.; An, Y.; Song, Y.; Jiang, L. Photo-switched wettability on an electrostatic self-assembly azobenzene monolayer. Adv. Commun. 2005, 28, 3550–3552. [Google Scholar] [CrossRef] [PubMed]
- Welton, T. Ionic liquids: A brief history. Biophys. Rev. 2018, 10, 691–706. [Google Scholar] [CrossRef] [PubMed]
- Singh, S.; Savoy, A. Ionic liquids synthesis and applications: An overview. J. Mol. Liq. 2020, 297, 112038. [Google Scholar] [CrossRef]
- Ahrenberg, M.; Beck, M.; Neise, C.; Keßler, O.; Kragl, U.; Verevkincd, S.; Schick, C. Vapor pressure of ionic liquids at low temperatures from AC-chip-calorimetry. Phys. Chem. Chem. Phys. 2016, 18, 21381. [Google Scholar] [CrossRef]
- Wu, H.; Zhang, B.; Liu, S.; Chen, C. Flammability estimation of 1-hexyl-3-methylimidazolium bis(trifluoromethylsulfonyl)imide. J. Loss Prev. Process Ind. 2020, 66, 104196. [Google Scholar] [CrossRef]
- Clarke, C.; Le, L.; Hallett, J.; Licence, P. Thermally-Stable Imidazolium Dicationic Ionic Liquids with Pyridine Functional Groups. ACS Sustain. Chem. Eng. 2020, 8, 8762–8772. [Google Scholar] [CrossRef]
- Mero, A.; Mezzetta, A.; Nowicki, J.; Łuczak, J.; Guazzelli, L. Betaine and L-carnitine ester bromides: Synthesis and comparative study of their thermal behavior and surface activity. J. Mol. Liq. 2021, 334, 115988. [Google Scholar] [CrossRef]
- Mezzetta, A.; Becherini, S.; Pretti, C.; Monni, G.; Casu, V.; Chiappe, C.; Guazzelli, L. Insights into the levulinate-based ionic liquid class: Synthesis, cellulose dissolution evaluation and ecotoxicity assessment. New J. Chem. 2019, 43, 13010. [Google Scholar] [CrossRef]
- Karmakar, A.; Mukundan, R.; Yang, P.; Batista, E. Solubility model of metal complex in ionic liquids from first principle calculations. RSC Adv. 2019, 9, 18506. [Google Scholar] [CrossRef]
- Keaveney, S.; Haines, R.; Harper, J. Ionic liquid solvents: The importance of microscopic interactions in predicting organic reaction outcomes. Pure Appl. Chem. 2017, 89, 745–757. [Google Scholar] [CrossRef][Green Version]
- Calmanti, R.; Selva, M.; Perosa, A. Tungstate ionic liquids as catalysts for CO2 fixation into epoxides. Mol. Catal. 2020, 486, 110854. [Google Scholar] [CrossRef]
- Claus, J.; Sommer, F.; Kragl, U. Ionic liquids in biotechnology and beyond. Solid State Ion. 2018, 314, 119–128. [Google Scholar] [CrossRef]
- Martins, V.; Torresi, R. Ionic liquids in electrochemical energy storage. Curr. Opin. Electrochem. 2018, 9, 26–32. [Google Scholar] [CrossRef]
- Trujillo-Rodríguez, M.; Nan, H.; Varona, M.; Emaus, N.M.; Anderson, J.L. Advances of Ionic Liquids in Analytical Chemistry. Anal. Chem. 2019, 91, 505–531. [Google Scholar] [CrossRef]
- Pedro, S.; Freire, C.; Silvestre, A.; Freire, M. The Role of Ionic Liquids in the Pharmaceutical Field: An Overview of Relevant Applications. Int. J. Mol. Sci. 2020, 21, 8298. [Google Scholar] [CrossRef]
- Zhang, Q.; Jin, B.; Wang, B.; Fu, Y.; Zhan, X.; Chen, F. Fabrication of a Highly Stable Superhydrophobic surface with dual-scale structure and its antifrosting properties. Ind. Eng. Chem. Res. 2017, 56, 2754–2763. [Google Scholar] [CrossRef]
- Fu, Y.; Jiang, J.; Zhang, Q.; Zhan, X.; Chen, F. Robust liquid-repellent coatings based on polymer nanoparticles with excellent self-cleaning and antibacterial performances. J. Mater. Chem. A 2017, 5, 275–284. [Google Scholar] [CrossRef]
- Jiang, S.; Zhou, S. A method for preparing the pH-responsive superhydrophobic paper with high stability. Mater. Res. Express. 2021, 8, 065306. [Google Scholar] [CrossRef]
- Azzaroni, O.; Brown, A.A.; Huck, W.T.S. Tunable wettability by clicking counterions into polyelectrolyte brushes. Adv. Mater. 2007, 19, 151–154. [Google Scholar] [CrossRef]
- Yin, Y.; Guo, N.; Wang, C.; Rao, Q. Alterable Superhydrophobic–Superhydrophilic Wettability of Fabric Substrates Decorated with Ion–TiO2 Coating via Ultraviolet Radiation. Ind. Eng. Chem. Res. 2014, 53, 14322–14328. [Google Scholar] [CrossRef]
- Hojo, M.; Ueda, T.; Ueno, E.; Hamasaki, T.; Nakano, T. Salt effects on the rates and mechanisms of solvolysis reaction of organic halides and water structure distortion in N, N-dimethylformamide-and N, N-dimethylacetamide-water mixed solvents. Bull. Chem. Soc. Jpn. 2010, 83, 401–414. [Google Scholar] [CrossRef]
- Okada, T.; Harada, M. Hydration of halide anions in ion—exchange resin and their dissociation from cationic groups. Anal. Chem. 2004, 76, 4564–4571. [Google Scholar] [CrossRef]
- Du, B.; Chen, F.; Luo, R.; Li, H.; Zhou, S.; Liu, S.; Hu, J. Superhydrophobic surfaces with pH-induced switchable wettability for oil−water separation. ACS Omega 2019, 4, 16508–16516. [Google Scholar] [CrossRef]
- Jiang, S.; Zhou, S.; Du, B.; Luo, R. Preparation of superhydrophobic paper with double-size silica particles modified by amino and epoxy groups. AIP Adv. 2021, 11, 025127. [Google Scholar] [CrossRef]
- Xue, C.; Jia, S.; Zhang, J.; Tian, L.; Chen, H.; Wang, M. Preparation of superhydrophobic surfaces on cotton textiles. Natl. Inst. Mater. Sci. 2008, 9, 035008. [Google Scholar] [CrossRef]
- Lim, H.; Lee, S.; Lee, D.; Lee, D.; Lee, S.; Cho, K. Superhydrophobic to Superhydrophilic Wetting Transition with Programmable Ion-Pairing Interaction. Adv. Mater. 2008, 20, 4438–4441. [Google Scholar] [CrossRef]
- Ge, H.; Wang, G.; He, Y.; Wang, X.; Song, Y.; Jiang, L.; Zhu, D. Photo switched Wettability on Inverse Opal Modified by a Self-Assembled Azobenzene Monolayer. Chem. Phys. Chem. 2006, 7, 575–578. [Google Scholar] [CrossRef] [PubMed]
- Jiang, S.; Zhou, S.; Du, B.; Luo, R. Preparation of the temperature-responsive superhydrophobic paper with high stability. ACS Omega 2021, 6, 16016–16028. [Google Scholar] [CrossRef]
- Yazdanshenas, M.E.; Shateri, M. One-Step synthesis of superhydrophobic coating on cotton fabric by ultrasound irradiation. Ind. Eng. Chem. Res. 2013, 52, 12846–12854. [Google Scholar] [CrossRef]
- Jiang, S.; Zhou, S.; Du, B.; Luo, R. A study on the stability of superhydrophobic paper reinforced by amino-assisted modified PHFMAPTSPM polymer. Mater. Res. Express 2020, 7, 105301. [Google Scholar] [CrossRef]













| L* | a* | b* | |
|---|---|---|---|
| a | 44.233 | 50.935 | 24.821 |
| b | 43.533 | 50.466 | 24.447 |
| c | 42.162 | 50.389 | 24.386 |
Publisher’s Note: MDPI stays neutral with regard to jurisdictional claims in published maps and institutional affiliations. |
© 2021 by the authors. Licensee MDPI, Basel, Switzerland. This article is an open access article distributed under the terms and conditions of the Creative Commons Attribution (CC BY) license (https://creativecommons.org/licenses/by/4.0/).
Share and Cite
Jiang, S.; Zhou, S.; Du, B. A Method for Preparing Superhydrophobic Paper with High Stability and Ionic Liquid-Induced Wettability Transition. Materials 2021, 14, 4638. https://doi.org/10.3390/ma14164638
Jiang S, Zhou S, Du B. A Method for Preparing Superhydrophobic Paper with High Stability and Ionic Liquid-Induced Wettability Transition. Materials. 2021; 14(16):4638. https://doi.org/10.3390/ma14164638
Chicago/Turabian StyleJiang, Shangjie, Shisheng Zhou, and Bin Du. 2021. "A Method for Preparing Superhydrophobic Paper with High Stability and Ionic Liquid-Induced Wettability Transition" Materials 14, no. 16: 4638. https://doi.org/10.3390/ma14164638
APA StyleJiang, S., Zhou, S., & Du, B. (2021). A Method for Preparing Superhydrophobic Paper with High Stability and Ionic Liquid-Induced Wettability Transition. Materials, 14(16), 4638. https://doi.org/10.3390/ma14164638

