Abstract
A series of Co2+-doped and Gd3+-co-doped calcium molybdato-tungstates, i.e., Ca1−3x−yCoy xGd2x(MoO4)1−3x(WO4)3x (CCGMWO), where 0 < x ≤ 0.2, y = 0.02 and represents vacancy, were successfully synthesized by high-temperature solid-state reaction method. XRD studies and diffuse reflectance UV–vis spectral analysis confirmed the formation of single, tetragonal scheelite-type phases with space group I41/a and a direct optical band gap above 3.5 eV. Magnetic and electrical measurements showed insulating behavior with n-type residual electrical conductivity, an almost perfect paramagnetic state with weak short-range ferromagnetic interactions, as well as an increase of spin contribution to the magnetic moment and an increase in the power factor with increasing gadolinium ions in the sample. Broadband dielectric spectroscopy measurements and dielectric analysis in the frequency representation showed a relatively high value of dielectric permittivity at low frequencies, characteristic of a space charge polarization and small values of both permittivity and loss tangent at higher frequencies.
1. Introduction
Scheelite-type molybdates and tungstates are attractive materials due their large efficient scintillation yield, X-ray absorption coefficient, and high thermal and chemical stability. A number of these compounds have been developed in the field of scintillation detectors (e.g., CaMoO4 or PbWO4), phosphors, and laser materials [1,2,3,4,5].
Recently, studies of manganese doped calcium molybdato-tungstates with the chemical formula of Ca1−xMnx(MoO4)0.50(WO4)0.50 (x = 0.01, 0.03, 0.05, 0.10, 0.125, and 0.15) showed a weak p-type electrical conductivity and the paramagnetic state with a change in the short-range interactions from ferromagnetic to antiferromagnetic as well as an increase in the orbital contribution to the magnetic moment with increasing Mn2+ content [6]. Next, studies of Gd3+-doped lead molybdato-tungstates with the chemical formula of Pb1−3x xGd2x(MoO4)1−3x(WO4)3x (x = 0.0455, 0.0839, 0.1154, 0.1430, 0.1667, and 0.1774; ↓ represents vacancies) showed a paramagnetic state with characteristic superparamagnetic-like behavior. Moreover, they revealed faster and slower relaxation processes in the loss spectra with various time scales for the gadolinium-poorer samples and no signs of any relaxation processes for the gadolinium-richer ones [7]. The above studies prove that 3d transition metal ions or 4f rare earth ones significantly affect the electrical and magnetic properties of molybdato-tungstates.
Recently, studies of manganese doped calcium molybdato-tungstates with the chemical formula of Ca1−xMnx(MoO4)0.50(WO4)0.50 (x = 0.01, 0.03, 0.05, 0.10, 0.125, and 0.15) showed a weak p-type electrical conductivity and the paramagnetic state with a change in the short-range interactions from ferromagnetic to antiferromagnetic as well as an increase in the orbital contribution to the magnetic moment with increasing Mn2+ content [6]. Next, studies of Gd3+-doped lead molybdato-tungstates with the chemical formula of Pb1−3x xGd2x(MoO4)1−3x(WO4)3x (x = 0.0455, 0.0839, 0.1154, 0.1430, 0.1667, and 0.1774; ↓ represents vacancies) showed a paramagnetic state with characteristic superparamagnetic-like behavior. Moreover, they revealed faster and slower relaxation processes in the loss spectra with various time scales for the gadolinium-poorer samples and no signs of any relaxation processes for the gadolinium-richer ones [7]. The above studies prove that 3d transition metal ions or 4f rare earth ones significantly affect the electrical and magnetic properties of molybdato-tungstates.
The motivation for this work is to search for materials useful in electronics and technology. For this reason, the selection of appropriate elements is essential. Rare earth ions have strong electron screening on 4f shells and are paramagnetic ions. Gadolinium ion (Gd3+, 4f5) has a high magnetic moment due to its isotropic electronic ground state of 7/2S and excellent magnetic resonance imaging effect used as a common contrast agent [8]. In turn, d-electron metal ions with unfilled 3d-shells, such as Co2+, have a bigger capacity for charge accumulation [9,10]. The concentration of x and y ions is limited by the phase nature of the compound.
That is why we propose electrical and magnetic investigations of new molybdato-tungstates containing both 3d and 4f ions. New calcium molybdato-tungstates doped with cobalt and gadolinium ions with the chemical formula of Ca1−3x−yCoy xGd2x(MoO4)1−3x(WO4)3x (CCGMWO), where x = 0.0050, 0.0098, 0.0238, 0.0455, 0.0839, 0.1430, 0.1667, and 0.2000; y = 0.02 and denotes vacancies, were successfully synthesized via high-temperature annealing of ternary CoMoO4/Gd2(WO4)3/CaMoO4 mixtures with various content of initial reactants. The concentration range of Gd3+ ions in materials under study was selected to cover the homogeneity range of new solid solution, i.e., the range when 0 < x ≤ 0.2000 and 0 < y ≤ 0.02. The doped materials adopt the tetragonal scheelite-type structure with space group I41/a.
2. Experimental Details
2.1. Synthesis of CCGMWO Solid Solution
Microcrystalline samples of new solid solution were obtained by two-step synthesis. In both steps, high-temperature sintering of appropriate materials was applied. The following reactants were used in the first step of synthesis: CaCO3, CoCO3, MoO3, Gd2O3, and WO3 (all raw materials of high-purity grade min. 99.95%, Alfa Aesar and without thermal pre-treatment). Calcium molybdate (CaMoO4), cobalt molybdate (CoMoO4), and gadolinium tungstate (Gd2(WO4)3) were obtained according to the procedure used in our previous studies [11,12]. In the next step of the synthesis, we prepared eight ternary mixtures containing CoMoO4, Gd2(WO4)3, and CaMoO4. The concentration of cobalt molybdate was constant in each initial CoMoO4/Gd2(WO4)s/CaMoO4 mixture, taking the value of 3.00 mol%. The content of Gd2(WO4)3 was variable and ranged from 0.50 to 33.33 mol%. The initial mixtures, not compacted to pellets, were heated at temperatures in the range of 1173–1473 K in air, in several 12 h annealing stages. After each sintering period, obtained samples were cooled down to ambient temperature, weighed, ground in a porcelain mortar, and followed by examination for their composition by XRD method. We observed a slight mass loss for each obtained material. This loss did not exceed the value of 0.25%. This observation shows that a synthesis of doped samples runs practically without their mass change and a process between initial reactants occurred according to the general equation: (1−3x−y)·CaMoO4 + x·Gd2(WO4)3 + y·CoMoO4 = Ca(1−3x−y)Coy xGd2x(MoO4)(1−3x)(WO4)3, where homogeneity range of this solid solution is 0 < x ≤ 0.2 and 0 < y ≤ 0.02. When initial CoMoO4 content was y = 0.02, the chemical reaction of initial reactants can be described as follows: (0.98−3x)·CaMoO4 + x·Gd2(WO4)3 + 0.02·CoMoO4 = Ca(0.98−3x)Co0.02 xGd2x(MoO4)(1−3x)(WO4)3x.
2.2. Characterization of Methods
X-ray diffraction (XRD) patterns of obtained powder samples were recorded within the 2Θ range of 10–100° on an EMPYREAN II diffractometer (PANalytical, Malvern, UK) with CuKα1,2 radiation (λaver = 1.5418 Å, the scanning step 0.013°). High-Score Plus 4.0 software was used to analyze collected XRD patterns. Lattice parameters were calculated using DICVOL04 software [13]. The density of the samples under study was measured using a ultrapycnometer, model Ultrapyc 1200 e (Quantachrome Instruments, Boynton Beach, USA). A pycnometric gas nitrogen (purity 99.99%) was applied.
Particle size and size distribution were measured using a laser particle size analyzer Mastersizer 3000 (Malvern Instruments Ltd., Malvern, UK), dispersing the particles in water by an ultrasonic bath. For each sample, 10 readings were accounted to allow the statistical analysis. The collected data were processed with the equipment’s software, which calculates particle size and size distribution per percentage of volume. The size distribution was estimated using D10, D50, and D90 which indicate the volume fraction of the sample under a certain size (µm).
UV–vis reflectance spectra were recorded within the spectral range of 200–1000 nm using a JASCO-V670 spectrophotometer (JASCO Europe S.R.L., Cremella, Italy) equipped with an integrating sphere.
The static dc magnetic susceptibility was measured in the temperature range of 2–300 K. Magnetization isotherms were measured at 2, 10, 20, 40, 60, and 300 K using a Quantum Design MPMS-XL-7AC SQUID magnetometer (Quantum Design, San Diego, CA, USA) in applied external fields up to 70 kOe. The electrical conductivity σ(T) was measured by the DC method using KEITHLEY 6517B Electrometer/High Resistance Meter (Keithley Instruments, LLC, Solon, OH, USA) in the temperature range of 300–400 K. The thermoelectric power S(T) was measured in the temperature range of 300–600 K using Seebeck Effect Measurement System (MMR Technologies, Inc., San Jose, CA, USA). Dielectric properties of the solid solution under study were measured using a Broadband Dielectric Spectrometer (Novocontrol Technologies GmbH & Co. KG, Montabaur, Germany) equipped with an Alpha Impedance Analyzer with Active Sample Cell and Quatro Cryosystem temperature control. Investigations were performed when a temperature decreased from 373 K to 173 K with the T-step of 5 K. The calculations of the effective moment, Landé factor using the Brillouin procedure and the imaginary part of the complex permittivity using the Kramers–Kronig transform are described in detail in [9,14,15,16,17,18]. The electrical and thermal contacts were made using a silver lacquer mixture (Degussa Leitsilber 2000, is Degussa Gold und Silber, Munich, Germany).
3. Results and Discussion
3.1. X-ray Diffraction Analysis and Particle Size Distribution
The powder XRD patterns of pure CaMoO4 and CCGMWO solid solution with different content of Gd3+ ions, i.e., when x = 0.0050, 0.0098, 0.0283, 0.0455, 0.0839, 0.1430, 0.1667, 0.2000, and the constant concentration of Co2+, i.e., y = 0.02 are shown in Figure 1a,b. XRD analysis shows that the powder diffraction patterns of new Co2+-doped and Gd3+-co-doped calcium molybadato-tungstates consisted of diffraction lines. These lines can be attributed to scheelite-type framework. No impurity phases, i.e., initial reactants, metal oxides, and other gadolinium tungstates or molybdates were observed with increasing gadolinium ions concentration only up to x = 0.2 (33.33 mol% of Gd2(WO4)3 in initial CoMoO4/Gd2(WO4)3/CaMoO4 mixtures when y is constant and equals 0.02, i.e., 3.00 mol% of CoMoO4). The observed diffraction lines attributed to the scheelite-type structure kept their position or shifted slightly towards the lower 2Θ angle with increasing Gd3+ content. All registered peaks were successfully indexed to the pure tetragonal scheelite-type structure with space group I41/a (No. 88, CaMoO4 − JCPDs No. 04-013-6763). This fact confirmed the formation of a new solid solution of CoMoO4 and Gd2(WO4)3 in CaMoO4 matrix. The diffraction patterns of samples comprising initially above 33.33 mol% Gd2(WO4)3 in initial CoMoO4/Gd2(WO4)3/CaMoO4 mixtures (not shown in our manuscript) revealed simultaneously presence of peaks attributed to the saturated solid solution (when x = 0.2 and y = 0.02) as well as the diffraction lines characteristic Gd2(WO4)3. It means that the solubility limit of gadolinium tungstate in CaMoO4 crystal lattice when the initial concentration of CoMoO4 was 3.00 mol% is not higher than 33.33 mol%.
Figure 1.
(a) Powder XRD patterns of CaMoO4 and CCGMWO ceramics within the 2Θ range of 10–60°; (b) 112/103/004 diffraction lines in the range of 2Θ from 27° to 32°.
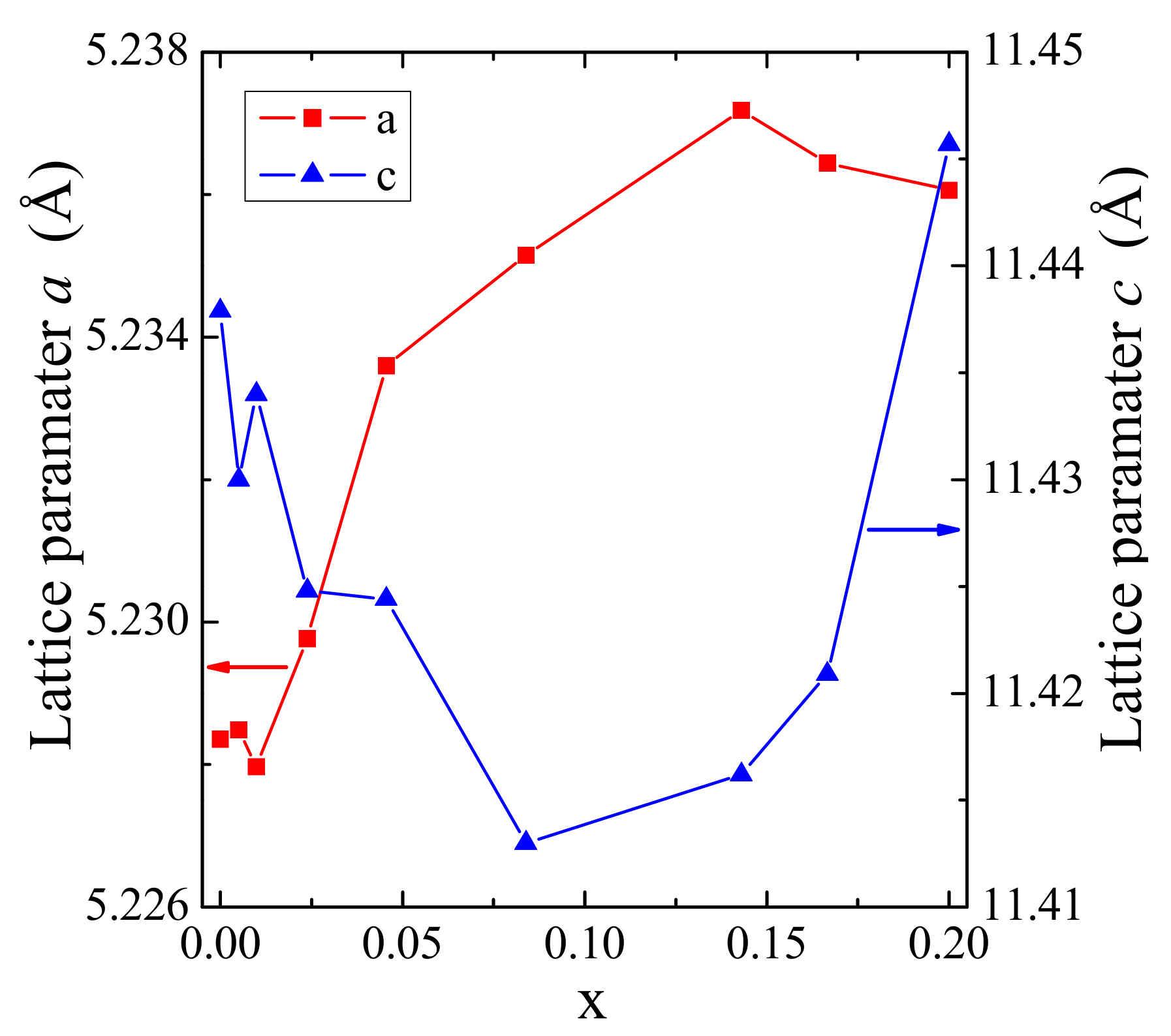
Table 1 shows lattice constants calculated for CaMoO4 and samples of new solid solution. Both unit cell parameters of doped materials change non-linearly with increasing Gd3+ concentration. The observed changes of a and c lattice constants are not identical (Figure 2). Initially, the a parameter increases, and then its value decreases with increasing content of Gd3+ ions. The c parameter shows an opposite dependence. The unit cell volume shows an increasing tendency with the increasing amount of Gd3+ ions in the crystal lattice of solid solution (Table 1). This is not a typical situation because bigger Ca2+ ions (ionic radius − 1.12 Å for CN = 8) in CaMoO4 matrix were simultaneously substituted by much smaller Co2+ (0.90 Å for CN = 8) and Gd3+ (1.053 Å for CN = 8) ones [19]. We have already observed a similar phenomenon in other RE3+-doped and vacancied molybdates, i.e., Cd1−3x xDy2xMoO4 [20]. In scheelite-type molybdates and tungstates with the chemical formula of AXO4 (A—divalent metal; X = Mo or W), Mo6+ and W6+ ions are tetrahedrally coordinated by O2− ones and their ionic radii are 0.41 and 0.42 Å, respectively [19]. Thus, the substitution of Mo6+ ions by W6+ ones observed while forming new solid solution did not cause any significant changes in both lattice parameters. We also calculated the lattice parameter ratio c/a (Table 1). This parameter clearly changes nonlinearly with increasing x, and it reaches the minimum value (c/a = 2.1798) for x = 0.1430. It means that in the whole homogeneity range of CCGMWO solid solution we have observed the deformation of the tetragonal scheelite-type cell of each sample in comparison to the pure matrix’s tetragonal cell. Figure 3 shows the visualization of scheelite-type structure of the CCGMWO solid solution. In this type of structure, Ca2+/Co2+/Gd3+/ and Mo/W6+ ions occupy the S4 sites, but the oxygen ions are at C1 sites. Each Mo/W6+ ion is surrounded by four oxygen ions (CN = 4), but each Ca2+/Co2+/Gd3+ or vacancy site is surrounded by eight oxygen ions (CN = 8). The substituted ions and vacancies are randomly distributed in CaMoO4 matrix for low Gd3+ concentration, i.e., when 0 < x ≤ 0.1430 and statistically distributed for x ≥ 0.1667. The experimental density values determined for samples under study are given in Table 1. The density of CCGMWO materials almost linearly increases with increasing Gd3+ content.
Table 1.
Lattice constants (a, c, and c/a), volume of unit cell (V), experimental density (d), determined optical direct band gap (Eg), and Urbach energy (EU) of CCGMWO solid solution.
Figure 2.
Variation of a and c unit cell constants as a function of Gd3+ doping in CCGMWO materials.
Figure 3.
Visualization of the scheelite-type structure of the CCGMWO solid solution. Legend: navy balls—Ca2+/Co2+/Gd3+/ ; yellow balls—Mo(W)6+; red balls—O2−; and a, b, and c—crystallographic axes.
The particle size distribution of doped powder materials in volume is shown in Figure 4. The obtained curves exhibit a typical bimodal distribution with one very weak peak between 4 and 20 µm. A bimodal distribution of particle size is observed for all Gd3+ concentrations, and this distribution is typical for annealing processes. The maximum values of particle size, D90, increases with increasing Gd3+ concentration in new Co2+-doped and Gd3+-co-doped calcium molybdato-tungstates from ~90 µm (x = 0.0050, y = 0.02) to ~120 µm for the saturated solid solution (x = 0.2, y = 0.02).
Figure 4.
Particle size distribution of CCGMWO samples.
3.2. UV –Vis Spectra and Their Analysis
Divalent metal molybdates and tungstates with a scheelite-type structure such as CaMoO4 or CaWO4 have a typical optical absorption process characterized by a direct electronic transition occurring in maximum energy states near or in the valence band to minimum energy states located below or in the conduction band [21,22]. Due to the lack of impurity levels between the valence band and conduction one, molybdates and tungstates have a high band gap (Eg). This value is associated with a degree of order and disorder structural these materials. Optical properties of Co2+-doped and Gd3+-co-doped calcium molybdato-tungstates were studied by UV–vis diffused reflectance spectroscopy. Using the Kubelka–Munk method, the recorded UV–vis reflectance spectra were converted into absorption ones [23]. Figure 5a displays the optical absorption spectra of CCGMWO samples collected within the spectral range of 200–1000 nm. The Tauc’s model was used to calculate the values of direct band gap (Eg) using the following Equation (1) [24,25,26]:
where α is absorption coefficient, A is a constant that depends on the transition nature, and hν is photon energy (in eV). The optical band gap was determined by plotting a graph between (αhν)2 versus hν and extrapolation of straight to (αhν)2 = 0 (Figure 5b). Its values for pure matrix and all doped samples are listed in Table 1. It was observed that the optical band gap of CCGMWO decreased when Gd3+ concentration increased from x = 0.0050 up to x = 0.1430. For the latter Gd3+ content, we observed the lowest value of Eg, i.e., 3.51 eV. The systematic decrease in an optical band with Gd3+ doping is attributed to structural disorder and on-site fluctuations, which arise due to the substitution of Co2+ and Gd3+ ions for Ca2+ ones, W6+ for Mo6+, as well as a creation of vacancies. Additionally, there is a quite significant electronegativity difference between Ca (1.00), Gd (1.20), and Co (1.88) as well as between Mo (2.16) and W (2.36). The differences in electronegativity values shift the valence band towards the conduction band and lead to a decrease in a band gap with doping. On the other hand, the samples with more significant Gd3+ ions concentration, i.e., when x > 0.1430 direct band gap systematically increase. This means that a consistently growing number of defects in the crystal lattice of CCGMWO solid solution are ordered. This structure is rearranged so as to be stable and regular.
(αhν)2 = A(hν − Eg)
Figure 5.
(a) UV–vis absorption spectra of CaMoO4 and CCGMWO samples; (b) Plot of (αhν)2 vs. hν for CCGMWO (x = 0.0455, y = 0.02) and determined band gap energy; (insert)—plot of ln(α) vs. hν for this sample and determined Urbach energy.
The incorporation of doping ions into the structure of some materials often reveals a formation of band tailing in the band gap due to a formation of localized states. The band tail energy (Urbach energy, EU) characterizes the width of located states, and the empirical Urbach’s relation express it [27]:
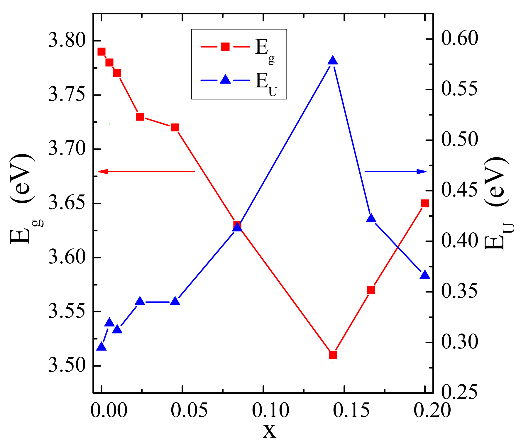
where α is an experimentally determined absorption coefficient and α0 is a constant. Urbach energy can be obtained from a slope of the straight line of plotting ln(α) against photon energy (hν). Figure 5b (inset)shows the variation of ln(α) versus photon energy of the sample when x = 0.0455. EU values for samples under study were calculated from reciprocal of the straight line slopes, as shown in Figure 5b, and they are collected in Table 1. The presence of a band tail for CCGMWO samples indicates that the structural inhomogeneous and disorder are significant. Similarly, Figure 6 displaying Eg and EU variations as a function of Gd3+ concentration shows that both Eg and EU values correlate very well. It is very clearly seen from Figure 6 that the optical band gap values are opposite to the degree of disorder in a structure. As a result, both a decrease in the optical gap and a broadening of the Urbach tail occurred. The lowest value of Eg (3.51 eV) we observed for the highest Urbach energy, i.e., when EU = 0.578 eV.
α = α0 exp (hν/EU)
Figure 6.
Variation of direct band gap (Eg) and Urbach energy (EU) with Gd3+ doping in CCGMWO samples.
3.3. Magnetic Properties
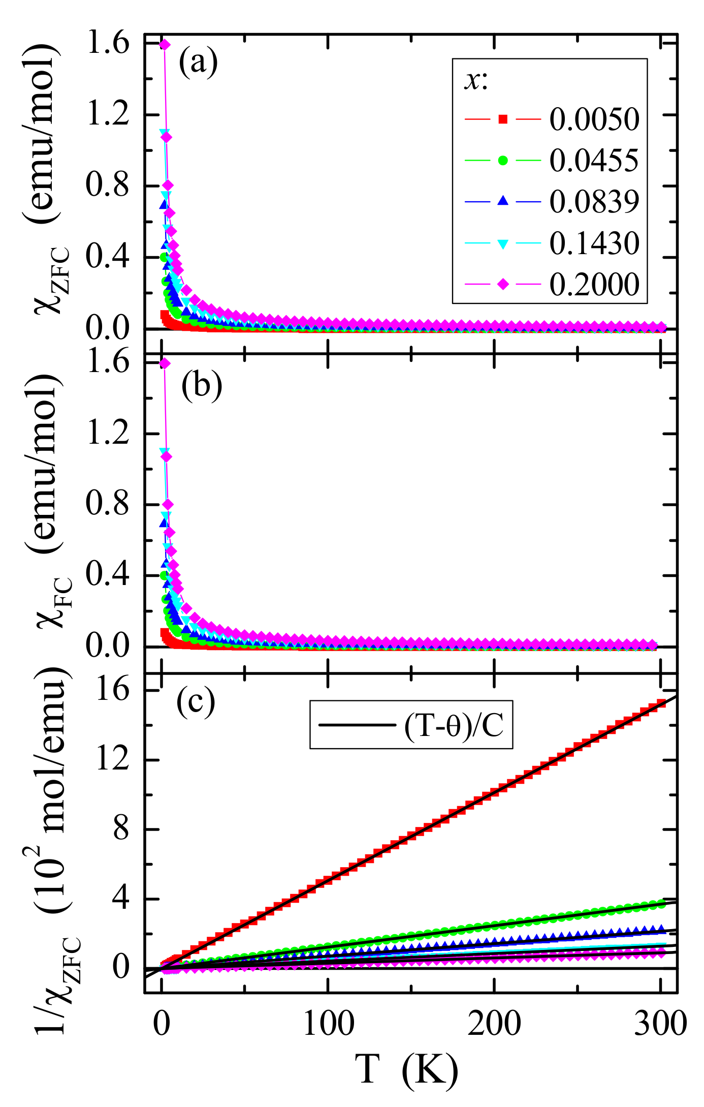
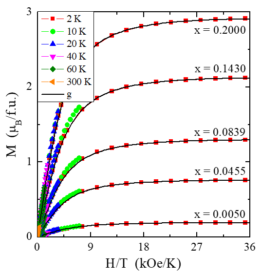
Magnetic susceptibility (Figure 7a,b) and its inverse (Figure 7c) measurements of CCGMWO materials showed an almost perfect paramagnetic state with weak short-range ferromagnetic interactions demonstrated by low Curie–Weiss paramagnetic temperature values θ ~ 1 K (Table 2), as well as no splitting between ZFC and FC magnetic susceptibility (Figure 7a,b) for any phase. These facts are suggesting no spin frustration and no long-range magnetic interactions in the studied temperature range. The Brillouin fitting procedure showed an increase of spin contribution to the magnetic moment with increasing content of gadolinium ions in the sample because the Landé factor, g, goes to 2 (Figure 7, Table 2). In the reduced coordinate (H/T), magnetic isotherms fall exactly on a universal Brillouin curve for all samples under study (Figure 8). Such behavior is characteristic of superparamagnetic particles. Similar behavior was found for the following single crystals: CdMoO4:Gd3+ [28], CdMoO4_WO4:Yb3+ [29], as well as ZnGd4W3O16 [9] and Gd2W2O9 [30] microcrystalline materials. Comparable values of the effective magnetic moment, µeff, and the effective number of Bohr magnetons, peff, showed that the cobalt ions contribute a small orbital contribution to the magnetic moment (Table 2). Therefore, poorer gadolinium samples have a stronger spin-orbit coupling effect than the richer ones. A similarly strong spin contribution to the magnetic moment was observed, for example, in Gd-doped superparamagnetic lead molybdate-tungstate microcrystals [7] and nanocrystals [31] as well as CdMoO4:Gd3+ single crystals [28].
Figure 7.
χZFC (a), χFC (b) dc magnetic susceptibility and its inverse 1/χZFC (c) vs. temperature T of CCGMWO solid solution for x = 0.0050, 0.0455, 0.0839, 0.1430, 0.2000, and y = 0.02 recorded at H = 1 kOe. The solid (black) line in (b), (T-θ)/C, indicates a Curie–Weiss behavior.
Table 2.
Magnetic parameters of CCGMWO solid solution.
Figure 8.
Magnetization M vs. H/T of CCGMWO solid solution for x = 0.0050, 0.0455 0.0839, 0.1430, 0.2000, and y = 0.02 recorded at 2, 10, 20, 40, 60, and 300 K. The solid (black) line indicates a Landé factor fit (g).
3.4. Electrical Properties
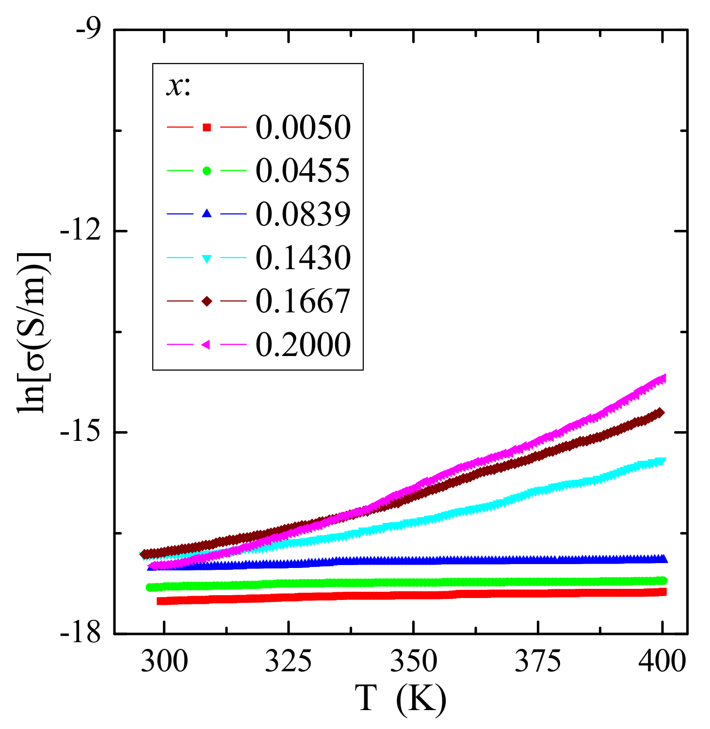
The results of the electrical conductivity (Figure 9) and thermoelectric power (Figure 10) measurements of CCGMWO microcrystals showed insulating behavior with small values of the n-type residual conductivity of σ ~ 10−8 S/m. No thermal conductivity activation of the current carriers for poorer gadolinium samples was observed. This thermal activation is only visible above room temperature for samples richer in gadolinium. In general, the residual electrical conduction of the n-type CCGMWO materials under study seems to be connected with the anionic vacancies. It’s known that in a state of thermal equilibrium, structural defects (n) are always present in the lattice, even in the crystal which is ideal in other respects. A necessary condition for free energy minimalization gives n ≅ Nexp(-Ev/kBT) for n << N, where N is the number of atoms in the crystal and Ev is the energy required to transfer the atom from the bulk of the crystal on its surface [32]. Similar behavior for the following Gd3+-doped lead molybdato-tungstates [28], RE3+-doped tungstates or molybdates: R2WO6 (R = Nd, Sm, Eu, Gd, Dy, Ho) [33], CdRE2W2O10 (RE = Y, Pr, Nd, Sm, Gd–Er) [10,34], RE2W2O9 (RE = Pr, Sm–Gd) [35], AgY1–xGdx(WO4)2 (x = 0.005, 0.01, 0.025, 0.04, 0.10, 0.20, 1.00) [36], and Cd1–3xGd2x xMoO4 (0.0005 ≤ x ≤ 0.0455) [36] were observed.
Figure 9.
Electrical conductivity (lnσ) vs. reciprocal temperature 103/T of CCGMWO solid solution.
Figure 10.
Thermoelectric power S vs. temperature T of CCGMWO solid solution.
Figure 11 shows an interesting dependence of the power factor S2σ on temperature T. The power factor has a very small value of a few fW/(cmK2). However, its value will significantly increase with the increase in temperature for samples richer in gadolinium ions. Usually, a low value of the power factor suggests rather the hopping transport, magnon scattering, and lower covalence of the studied materials compared to classical thermoelectric semiconductors [37]. Materials with a large power factor value (S2σ) are usually heavily doped semiconductors, such as Bi2Te3 [37]. The above studies show that even in ion-bonded materials, thermoelectric efficiency can be improved by doping them with rare-earth ions. The observed strong dependence of the power factor on the content of gadolinium ions may result from the size effect, as the Gd3+ ions have a large ion radius [19].
Figure 11.
Power factor S2σ vs. temperature T of CCGMWO solid solution.
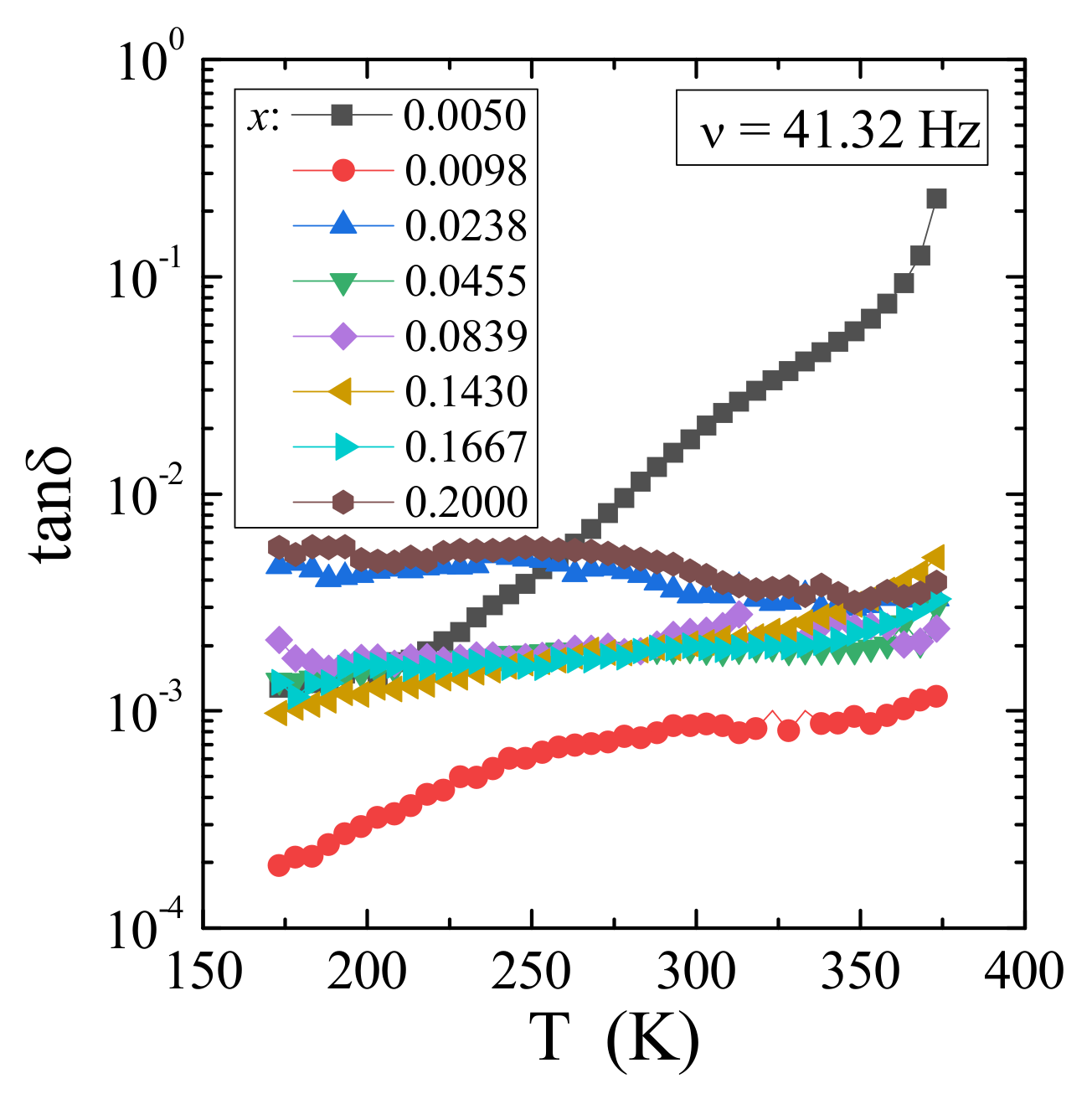
Broadband dielectric spectroscopy measurements of the solid solution under study showed both small values of the real part (ε′) and imaginary part (ε″) of complex dielectric permittivity strongly decreasing with frequency and temperature (Figure 12a–d). Dielectric analysis in the frequency representation showed that no dipole relaxation processes were observed (as in Maxwell-Wagner [38] or Jonscher [39]) on the real and imaginary spectra of representative samples with the content x = 0.0050 (a), 0.0455 (b), 0.0839 (c), and 0.2000 (d) (Figure 12). Only in the case of the sample with the lowest gadolinium content (x = 0.0050) the collected spectra indicated the presence of the relaxation process (characteristic “bulge” on the loss curve, indicated by an arrow, shifting to lower frequencies with cooling). However, calculated data from the Kramers–Kronig transform [18] of ε′ did not reveal a well-defined relaxation peak (Figure 13). The calculated loss tangent values indicated that all samples except x = 0.0050 have tanδ ~0.01, in which the relaxation process is inhibited with increasing gadolinium content in the sample (Figure 14). Both small ε′ and tanδ values can be explained by the fact that Gd3+ ions have the 4f-shell screened. This hinders the formation of electric dipoles and their relaxation. Low energy loss was also observed in Ca1−xMnxMoO4 nanomaterials (x = 0.0, 0.01, 0.05, 0.10, 0.15) [40] and in RE2W2O9 ceramics (RE = Pr, Sm-Gd) [35]. It is worth noting that significantly higher electric permittivity values at low frequencies are characteristic of the polarization of the space charge induced in the sample.
Figure 12.
Real (ε′) and imaginary (ε″) part of permittivity vs. frequency ν of CCGMWO solid solution for x = 0.0050 (a), 0.0455 (b), 0.0839 (c), and 0.2000 (d) recorded in the temperature range of 173–373 K.
Figure 13.
Calculated data from the Kramers–Kronig transformation of the real part of permittiity (ε′) vs. frequency ν of CCGMWO solid solution for x = 0.0050 to the ε″ representation recorded in the temperature range of 173–373 K.
Figure 14.
Loss tangent tanδ vs. temperature T of CCGMWO solid solution recorded at 41.32 Hz.
4. Conclusions
In summary, the samples of CCGMWO solid solution were characterized by optical, magnetic, electrical, and dielectric spectroscopy measurements. They have shown perfect paramagnetic state and superparamagnetic behavior as well as insulating properties with the n-type residual conductivity. Broadband dielectric spectroscopy measurements and dielectric analysis in the frequency representation showed the space charge polarization and small values of both the real and imaginary part of permittivity and a lack of dipole relaxation. Such small values of the loss tangent of the materials under study give them potential applications for the producing of lossless capacitors. A significant achievement of these studies is the observation of an increase in the thermoelectric power factor with an increase in the gadolinium ions content in the sample.
Author Contributions
Conceptualization, B.S. and T.G.; methodology, T.G., B.S., E.T., and S.P.; validation, T.G.; formal analysis, E.T., M.K., and T.G.; investigation, B.S., E.T., M.K., M.O., Z.K., S.P., A.N., and H.D.; resources, E.T.; writing—original draft preparation, T.G., E.T., and S.P.; writing—review and editing, T.G., E.T., and S.P.; visualization, E.T. and T.G.; supervision, T.G.; project administration, B.S. All authors have read and agreed to the published version of the manuscript.
Funding
This research received no external funding.
Institutional Review Board Statement
Not applicable.
Informed Consent Statement
Not applicable.
Data Availability Statement
Data sharing not applicable.
Acknowledgments
This work was partly supported by the Ministry of Education and Science (Poland).
Conflicts of Interest
The authors declare no conflict of interest.
References
- Belogurov, S.; Kornoukhov, V.; Annenkov, A.; Borisevich, A.; Fedorov, A.; Korzhik, M.; Ligoun, V.; Missevitch, O.; Kim, S.K.; Kim, S.C.; et al. CaMoO4 scintillation crystal for the search of 100Mo double beta decay. IEEE Trans. Nucl. Sci. 2005, 52, 1131. [Google Scholar] [CrossRef]
- Zhang, X.; Lin, J.; Mikhalik, V.B.; Kraus, H. Studies of scintillation properties of CaMoO4 at milikelvin temperatures. Appl. Phys. Lett. 2015, 106, 241904. [Google Scholar] [CrossRef]
- Annenkov, A.N.; Auffray, E.; Chipaux, R.; Drobychev, G.Y.; Fedorov, A.A.; Géléoc, M.; Golubev, N.A.; Korzhik, M.V.; Lecoq, P.; Lednev, A.A.; et al. Systematic study of the short-term instability of PbWO4 scintillator parameters under irradiation. Radiat. Meas. 1998, 29, 27–38. [Google Scholar] [CrossRef]
- Danevich, F.A.; Georgadze, A.S.; Kobychev, V.V.; Kropivyansky, B.N.; Nagorny, S.S.; Nikolaiko, A.S.; Poda, D.V.; Tretyak, V.I.; Vyshnevskyi, I.M.; Yurchenko, S.S.; et al. Application of PbWO4 crystal scintillators in experiment to search for 2β decay of 116Cd. Nucl. Instr. Meth. Phys. Res. A 2006, 556, 259–265. [Google Scholar] [CrossRef]
- Lei, F.; Yan, B. Hydrothermal synthesis and luminescence of CaMoO4:RE3+ (M = W, Mo; RE = Eu, Tb) submicro-phosphors. J. Solid State Chem. 2008, 181, 855–862. [Google Scholar] [CrossRef]
- Groń, T.; Pawlikowska, M.; Tomaszewicz, E.; Oboz, M.; Sawicki, B.; Duda, H. Spin-orbit coupling in manganese doped calcium molybdato-tungstates. Ceram. Int. 2018, 44, 3307–3313. [Google Scholar] [CrossRef]
- Kukuła, Z.; Maciejkowicz, M.; Tomaszewicz, E.; Pawlus, S.; Oboz, M.; Groń, T.; Guzik, M. Electric relaxation of superparamagnetic Gd-doped lead molybdato-tungstates. Ceram. Int. 2019, 45, 3307–3313. [Google Scholar] [CrossRef]
- Sakai, N.; Zhu, L.; Kurokawa, A.; Takeuchi, H.; Yano, S.; Yanoh, T.; Wada, N.; Taira, S.; Hosokai, Y.; Usui, A.; et al. Synthesis of Gd2O3 nanoparticles for MRI contrast agents. J. Phys. Conf. Ser. 2012, 352, 012008. [Google Scholar] [CrossRef]
- Urbanowicz, P.; Tomaszewicz, E.; Groń, T.; Duda, H.; Pacyna, A.W.; Mydlarz, T.; Fuks, H.; Kaczmarek, S.M.; Krok-Kowalski, J. Superparamagnetic-like behaviour and spin-orbit coupling in (Co,Zn)RE4W3O16 tungstates (RE = Nd, Sm, Eu, Gd, Dy and Ho). J. Phys. Chem. Solids 2011, 72, 891–898. [Google Scholar] [CrossRef][Green Version]
- Kukuła, Z.; Tomaszewicz, E.; Mazur, S.; Groń, T.; Duda, H.; Pawlus, S.; Kaczmarek, S.M.; Fuks, H.; Mydlarz, T. Dielectric and magnetic permittivities of three new ceramic tungstates MPr2W2O10 (M = Cd, Co, Mn). Philos. Mag. 2012, 92, 4167–4181. [Google Scholar] [CrossRef]
- Tomaszewicz, E.; Dąbrowska, G.; Kaczmarek, S.M.; Fuks, H. Solid-state synthesis and characterization of new cadmium and rare-earth metal molybdato-tungstates Cd0.25RE0.50(MoO4)0.25(WO4)0.75 (RE = Pr, Nd, Sm–Dy). J. Non-Cryst. Solids 2010, 356, 2059–2065. [Google Scholar] [CrossRef]
- Tomaszewicz, E.; Fuks, H.; Typek, J.; Sawicki, B.; Oboz, M.; Groń, T.; Mydlarz, T. Preparation, thermal stability and magnetic properties of new AgY1−xGdx(WO4)2 ceramic materials. Ceram. Int. 2015, 41, 5734–5748. [Google Scholar] [CrossRef]
- Boultif, A.; Louër, D. Powder pattern indexing with the dichotomy method. J. Appl. Cryst. 2004, 37, 724–731. [Google Scholar] [CrossRef]
- Groń, T.; Krok-Kowalski, J.; Duda, H.; Mydlarz, T.; Gilewski, A.; Walczak, J.; Filipek, E.; Bärner, K. Metamagnetism in Cr2V4−xMoxO13+0.5x. Phys. Rev. B 1995, 51, 16021–16024. [Google Scholar] [CrossRef]
- Krok-Kowalski, J.; Groń, T.; Warczewski, J.; Mydlarz, T.; Okońska-Kozłowska, I. Ferrimagnetism and metamagnetism in Cd1−xCuxCr2S4. J. Magn. Magn. Mater. 1997, 168, 129–138. [Google Scholar] [CrossRef]
- Groń, T.; Malicka, E.; Pacyna, A.W. Influence of temperature on critical fields in ZnCr2Se4. Phys. B 2009, 404, 3554–3558. [Google Scholar]
- Groń, T.; Pacyna, A.W.; Malicka, E. Influence of temperature independent contribution of magnetic susceptibility on the Curie-Weiss law. Solid State Phenom. 2011, 170, 213–218. [Google Scholar] [CrossRef]
- Wübbenhorst, M.; van Turnhout, J. Analysis of complex dielectric spectra. I. One dimensional derivative techniques and three-dimensional modeling. J. Non-Cryst. Solids 2002, 305, 40–49. [Google Scholar] [CrossRef]
- Shannon, R.D. Revised effective ionic radii and systematic studies of interatomic distances in halides and chalcogenides. Acta Cryst. A 1976, 32, 751–767. [Google Scholar] [CrossRef]
- Tomaszewicz, E.; Piątkowska, M.; Pawlikowska, M.; Groń, T.; Oboz, M.; Sawicki, B.; Urbanowicz, P. New vacancied and Dy3+-doped molybdates—Their structure, thermal stability, electrical and magnetic properties. Ceram. Int. 2016, 42, 18357–18367. [Google Scholar] [CrossRef]
- Zhang, Y.; Holzwarth, N.A.W.; Williams, R.T. Electronic band structure of the scheelite materials CaMoO4, CaWO4, PbMoO4, and PbWO4. Phys. Rev. B 1998, 57, 12738–12750. [Google Scholar] [CrossRef]
- Singh, B.P.; Parchur, A.K.; Ningthoujam, R.S.; Ansan, A.A.; Singh, P.; Rai, S.B. Enhanced photoluminescence in CaMoO4: Eu3+ by Gd3+ co-doping. Dalton Trans. 2014, 43, 4779–4789. [Google Scholar] [CrossRef]
- Kubelka, P.; Munk, F. Ein Beitrag zur Optic der Farbanstriche. Z. Tech. Phys. 1931, 12, 593–601. [Google Scholar]
- Tauc, J.; Grigorovici, R.; Vancu, A. Optical properties and electronic structures of amorphous germanium. Phys. Status Solidi. 1966, 15, 627–637. [Google Scholar] [CrossRef]
- Tauc, J.; Menth, A. States in the gap. J. Non-Cryst. Solids 1972, 8, 569–585. [Google Scholar] [CrossRef]
- Tauc, J. Optical Properties of Solids; Abels, F., Ed.; Springer: Amsterdam, The Netherlands, 1969. [Google Scholar]
- Urbach, F. The long-wavelength edge of photographic sensitivity and of the electronic absorption of solids. Phys. Rev. 1953, 92, 1324. [Google Scholar] [CrossRef]
- Groń, T.; Tomaszewicz, E.; Berkowski, M.; Duda, H.; Kukuła, Z.; Pawlus, S.; Mydlarz, T.; Ostafin, T.; Kusz, J. Dielectric and magnetic properties of CdMoO4:Gd3+ single crystal. J. Alloys Compd. 2014, 593, 230–234. [Google Scholar] [CrossRef]
- Groń, T.; Tomaszewicz, E.; Berkowski, M.; Głowacki, M.; Oboz, M.; Kusz, J.; Sawicki, B.; Kukuła, Z.; Duda, H. Yb3+-doped cadmium molybdato-tungstate single crystal—Its structural, optical, magnetic and transport properties. J. Sol. State Chem. 2018, 262, 164–171. [Google Scholar] [CrossRef]
- Mazur, S.; Tomaszewicz, E.; Groń, T.; Duda, H.; Kukuła, Z.; Mydlarz, T. Paramagnetic behaviour in RE2W2O9 tungstates (RE = Pr, Nd, Sm–Gd). Solid State Phenom. 2013, 194, 112–115. [Google Scholar] [CrossRef]
- Groń, T.; Maciejkowicz, M.; Tomaszewicz, E.; Guzik, M.; Oboz, M.; Sawicki, B.; Pawlus, S.; Nowok, A.; Kukuła, Z. Combustion synthesis, structural, magnetic and dielectric properties of Gd3+-doped lead molybdato-tungstates. J. Adv. Ceram. 2020, 9, 255–268. [Google Scholar] [CrossRef]
- Kittel, C. Introduction to Solid State Physics; John Wiley & Sons, Inc.: New York, NY, USA, 1971. [Google Scholar]
- Urbanowicz, P.; Tomaszewicz, E.; Groń, T.; Duda, H.; Pacyna, A.W.; Mydlarz, T. Magnetic properties of R2WO6 (where R=Nd, Sm, Eu, Gd, Dy and Ho). Phys. B 2009, 404, 2213–2217. [Google Scholar] [CrossRef]
- Kukuła, Z.; Tomaszewicz, E.; Mazur, S.; Groń, T.; Pawlus, S.; Duda, H.; Mydlarz, T. Electrical and magnetic properties of CdRE2W2O10 tungstates (RE=Y, Nd, Sm, Gd–Er). J. Phys. Chem. Solids 2013, 74, 86–93. [Google Scholar] [CrossRef]
- Urbanowicz, P.; Piątkowska, M.; Sawicki, B.; Groń, T.; Kukuła, Z.; Tomaszewicz, E. Dielectric properties of RE2W2O9 (RE=Pr, Sm–Gd) ceramics. J. Eur. Ceram. Soc. 2015, 35, 4189–4193. [Google Scholar] [CrossRef]
- Sawicki, B.; Groń, T.; Tomaszewicz, E.; Duda, H.; Górny, K. Some optical and transport properties of a new subclass of ceramic tungstates and molybdates. Ceram. Int. 2015, 41, 13080–13089. [Google Scholar] [CrossRef]
- Snyder, G.J.; Caillat, T.; Fleurial, J.P. Thermoelectric properties of chalcogenides with the spinel structure. Mater. Res. Innovations 2001, 5, 67–73. [Google Scholar] [CrossRef]
- Von Hippel, A. Dielectrics and Waves; Artech House: London, UK, 1995; p. 228. [Google Scholar]
- Jonscher, A.K. Dielectric Relaxation in Solids; Chelsea Dielectric Press: London, UK, 1983; p. 310. [Google Scholar]
- Groń, T.; Karolewicz, M.; Tomaszewicz, E.; Guzik, M.; Oboz, M.; Sawicki, B.; Duda, H.; Kukuła, Z. Dielectric and magnetic characteristics of Ca1−xMnxMoO4 (0 ≤ x ≤ 0.15) nanomaterials. J. Nanopart. Res. 2019, 21, 8. [Google Scholar] [CrossRef] [PubMed]
Publisher’s Note: MDPI stays neutral with regard to jurisdictional claims in published maps and institutional affiliations. |
© 2021 by the authors. Licensee MDPI, Basel, Switzerland. This article is an open access article distributed under the terms and conditions of the Creative Commons Attribution (CC BY) license (https://creativecommons.org/licenses/by/4.0/).













