Synthesis and Characterization of a Novel Hydroquinone Sulfonate-Based Redox Active Ionic Liquid
Abstract
1. Introduction
2. Materials and Methods
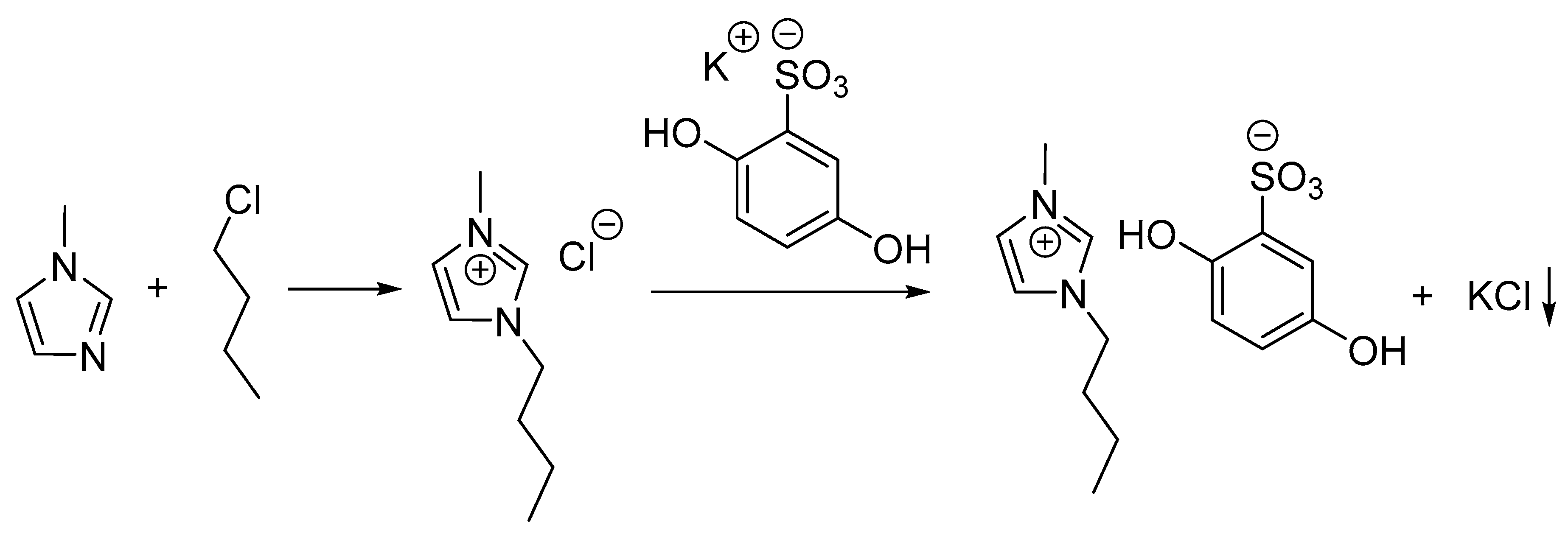
Synthesis of (BMIM)(HQS)
- (i)
- Synthesis of (BMIM)(Cl)
- (ii)
- Synthesis of (BMIM)(HQS)
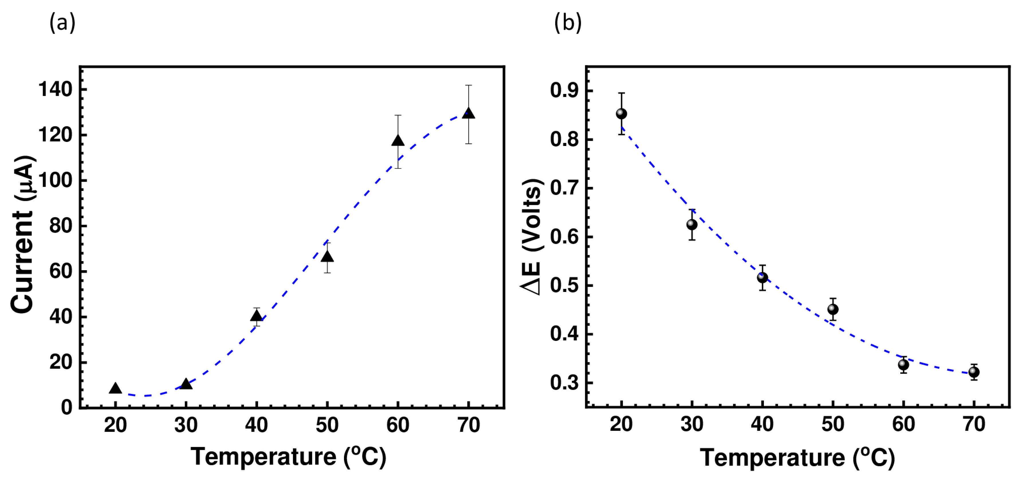
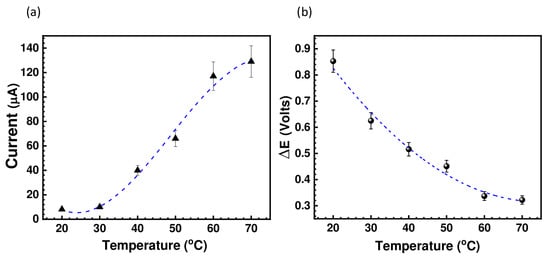
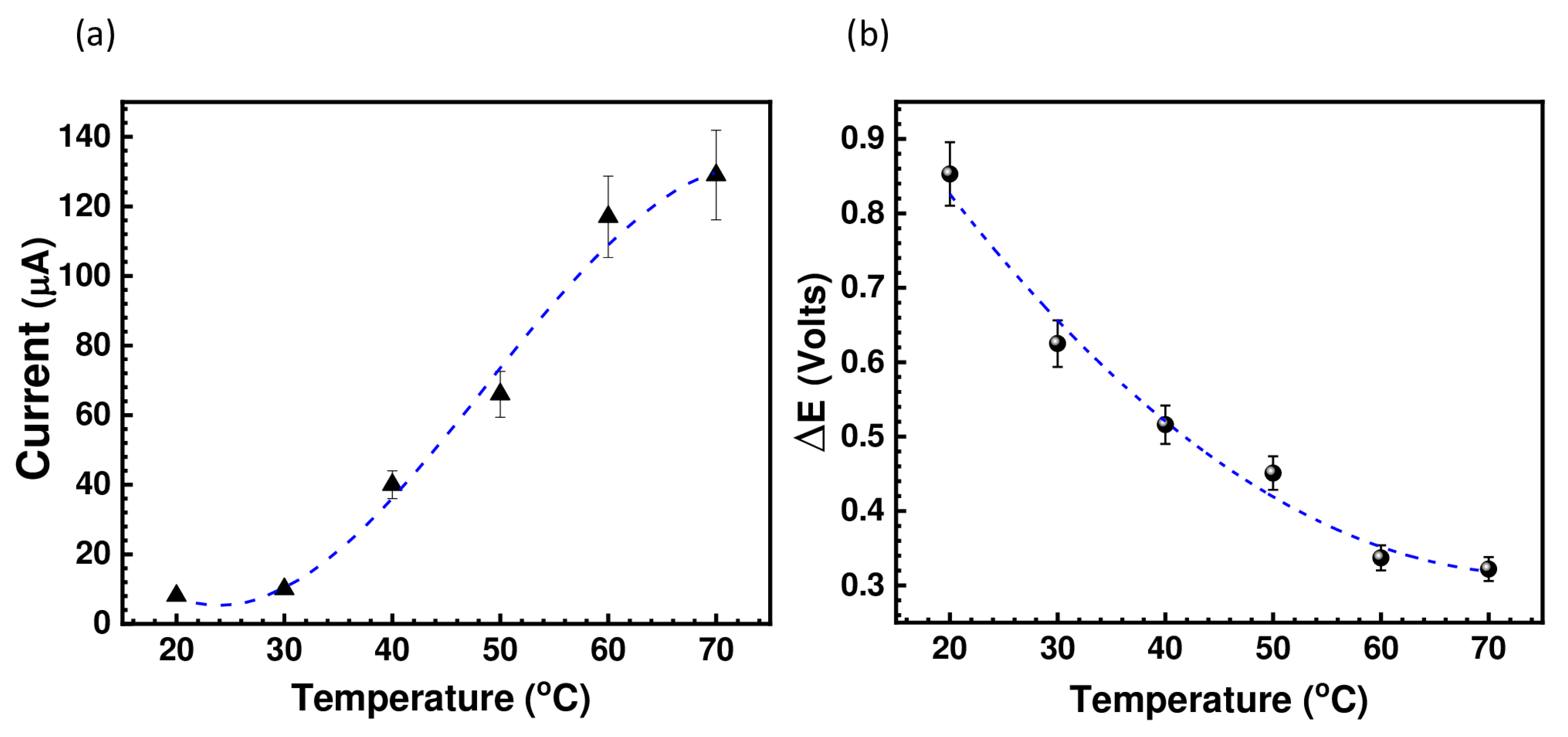
3. Results and Discussion
4. Conclusions
Supplementary Materials
Author Contributions
Funding
Institutional Review Board Statement
Informed Consent Statement
Data Availability Statement
Acknowledgments
Conflicts of Interest
References
- MacFarlane, D.R.; Kar, M.; Pringle, J.M. An Introduction to Ionic Liquids. In Fundamentals of Ionic Liquids; John Wiley & Sons: Hoboken, NJ, USA, 2017; pp. 1–25. [Google Scholar]
- Cole-Hamilton, D.J. Homogeneous catalysis—New approaches to catalyst separation, recovery, and recycling. Science 2003, 299, 1702–1706. [Google Scholar] [CrossRef]
- Rogers, R.D.; Seddon, K.R. Ionic liquids—Solvents of the future? Science 2003, 302, 792–793. [Google Scholar] [CrossRef]
- Aidoudi, F.H.; Aldous, D.W.; Goff, R.J.; Slawin, A.M.Z.; Attfield, J.P.; Morris, R.E.; Lightfoot, P. An ionothermally prepared S = 1/2 vanadium oxyfluoride kagome lattice. Nat. Chem. 2011, 3, 801–806. [Google Scholar] [CrossRef] [PubMed]
- Morris, R.E. Ionothermal synthesis—Ionic liquids as functional solvents in the preparation of crystalline materials. Chem. Commun. 2009, 21, 2990–2998. [Google Scholar] [CrossRef]
- Watanabe, M.; Thomas, M.L.; Zhang, S.; Ueno, K.; Yasuda, T.; Dokko, K. Application of ionic liquids to energy storage and conversion materials and devices. Chem. Rev. 2017, 117, 7190–7239. [Google Scholar] [CrossRef]
- Salanne, M. Ionic Liquids for Supercapacitor Applications. In Ionic Liquids II; Kirchner, B., Perlt, E., Eds.; Springer International Publishing: Cham, Germany, 2018; pp. 29–53. [Google Scholar]
- Yu, L.; Chen, G.Z. Ionic liquid-based electrolytes for supercapacitor and supercapattery. Front. Chem. 2019, 7, 272. [Google Scholar] [CrossRef]
- Mishra, A.; Mehta, A.; Basu, S.; Malode, S.J.; Shetti, N.P.; Shukla, S.S.; Nadagouda, M.N.; Aminabhavi, T.M. Electrode materials for lithium-ion batteries. Mater. Sci. Energy Technol. 2018, 1, 182–187. [Google Scholar] [CrossRef]
- Yang, Q.; Li, L.; Lin, C.X.; Gao, X.L.; Zhao, C.H.; Zhang, Q.G.; Zhu, A.M.; Liu, Q.L. Hyperbranched poly(arylene ether ketone) anion exchange membranes for fuel cells. J. Membr. Sci. 2018, 560, 77–86. [Google Scholar] [CrossRef]
- Mishra, A.; Shetti, N.P.; Basu, S.; Reddy, K.R.; Aminabhavi, T.M. Chapter 7—Recent Developments in Ionic Liquid-Based Electrolytes for Energy Storage Supercapacitors and Rechargeable Batteries. In Green Sustainable Process for Chemical and Environmental Engineering and Science; Asiri, A.M.I., Kanchi, S., Eds.; Elsevier: Amsterdam, The Netherlands, 2020; pp. 199–221. [Google Scholar]
- Yang, Q.; Zhang, Z.; Sun, X.-G.; Hu, Y.-S.; Xing, H.; Dai, S. Ionic liquids and derived materials for lithium and sodium batteries. Chem. Soc. Rev. 2018, 47, 2020–2064. [Google Scholar] [CrossRef] [PubMed]
- Darling, R.M.; Gallagher, K.G.; Kowalski, J.A.; Ha, S.; Brushett, F.R. Pathways to low-cost electrochemical energy storage: A comparison of aqueous and nonaqueous flow batteries. Energy Environ. Sci. 2014, 7, 3459–3477. [Google Scholar] [CrossRef]
- Anderson, T.M.; Pratt, H. Ionic Liquid Flow Battery Materials and Prototyping (No. SAND2015-2099C); Sandal National Lab.: Albuquerque, NM, USA, 2015. [Google Scholar]
- Small, L.J.; Pratt, H.D., III; Staiger, C.L.; Anderson, T.M. MetILs3: A strategy for high density energy storage using redox-active ionic liquids. Adv. Sustain. Syst. 2017, 1, 1700066. [Google Scholar] [CrossRef]
- Chakrabarti, M.H.; Mjalli, F.S.; AlNashef, I.M.; Hashim, M.A.; Hussain, M.A.; Bahadori, L.; Low, C.T.J. Prospects of applying ionic liquids and deep eutectic solvents for renewable energy storage by means of redox flow batteries. Ren. Sustain. Energy Rev. 2014, 30, 254–270. [Google Scholar] [CrossRef]
- Winsberg, J.; Hagemann, T.; Janoschka, T.; Hager, M.D.; Schubert, U.S. Redox-flow batteries: From metals to organic redox-active materials. Angew. Chem. Int. Ed. 2017, 56, 686–711. [Google Scholar] [CrossRef] [PubMed]
- Rochefort, D. Enabling new electrochemical methods with redox-active ionic liquids. Curr. Opin. Electrochem. 2019, 15, 125–132. [Google Scholar] [CrossRef]
- Tahara, H.; Uranaka, K.; Hirano, M.; Ikeda, T.; Sagara, T.; Murakami, H. Electrochromism of ferrocene- and viologen-based redox-active ionic liquids composite. ACS Appl. Mater. Interfaces 2019, 11, 1–6. [Google Scholar] [CrossRef] [PubMed]
- Giffin, G.A. Ionic liquid-based electrolytes for “beyond lithium” battery technologies. J. Mater. Chem. A 2016, 4, 13378–13389. [Google Scholar] [CrossRef]
- Liu, K.; Wang, Z.; Shi, L.; Jungsuttiwong, S.; Yuan, S. Ionic liquids for high performance lithium metal batteries. J. Energy Chem. 2021, 59, 320–333. [Google Scholar] [CrossRef]
- Ohno, H. (Ed.) Electrochemistry of and in Ionic Liquids. In Fundamentals of Ionic Liquids; John Wiley and Sons: Hoboken, NJ, USA, 2017; pp. 177–207. [Google Scholar]
- Gao, Y.; Twamley, B.; Shreeve, J.N.M. The first (ferrocenylmethyl)imidazolium and (ferrocenylmethyl)triazolium room temperature ionic liquids. Inorg. Chem. 2004, 43, 3406–3412. [Google Scholar] [CrossRef]
- Bhowmik, P.K.; Han, H.; Cebe, J.J.; Burchett, R.A.; Acharya, B.; Kumar, S. Ambient temperature thermotropic liquid crystalline viologen bis(triflimide) salts. Liq. Cryst. 2003, 30, 1433–1440. [Google Scholar] [CrossRef]
- Wang, S.-S.; Popović, Z.; Wu, H.-H.; Liu, Y. A homogeneous mixture composed of vanadate, acid, and TEMPO functionalized ionic liquids for alcohol oxidation by H2O2. ChemCatChem 2011, 3, 1208–1213. [Google Scholar] [CrossRef]
- Tahara, H.; Tanaka, Y.; Yamamoto, S.; Yonemori, S.; Chan, B.; Murakami, H.; Sagara, T. A redox-active ionic liquid manifesting charge-transfer interaction between a viologen and carbazole and its effect on the viscosity, ionic conductivity, and redox process of the viologen. Chem. Sci. 2021, 12, 4872–4882. [Google Scholar] [CrossRef]
- Zhang, J.; Sun, B.; Zhao, Y.; Tkacheva, A.; Liu, Z.; Yan, K.; Guo, X.; McDonagh, A.M.; Shanmukaraj, D.; Wang, C.; et al. A versatile functionalized ionic liquid to boost the solution-mediated performances of lithium-oxygen batteries. Nat. Commun. 2019, 10, 602. [Google Scholar] [CrossRef]
- Doherty, A.; Patterson, S.; Diaconu, L.; Graham, L.; Barhdadi, R.; Puchelle, V.; Wagner, K.; Office, D.; Chen, J.; Wallace, G. Quinone redox-active ionic liquids. J. Mex. Chem. Soc. 2015, 59, 263–268. [Google Scholar] [CrossRef]
- Mourad, E.; Coustan, L.; Lannelongue, P.; Zigah, D.; Mehdi, A.; Vioux, A.; Freunberger, S.A.; Favier, F.; Fontaine, O. Biredox ionic liquids with solid-like redox density in the liquid state for high-energy supercapacitors. Nat. Mater. 2017, 16, 446–453. [Google Scholar] [CrossRef] [PubMed]
- Gélinas, B.; Bibienne, T.; Dollé, M.; Rochefort, D. Electroactive ionic liquids based on 2,5-ditert-butyl-1,4-dimethoxybenzene and triflimide anion as redox shuttle for Li4Ti5O12/LiFePO4 lithium-ion batteries. J. Power Sources 2017, 372, 212–220. [Google Scholar] [CrossRef]
- Sawant, A.D.; Raut, D.G.; Darvatkar, N.B.; Salunkhe, M.M. Recent developments of task-specific ionic liquids in organic synthesis. Green Chem. Lett. Rev. 2011, 4, 41–54. [Google Scholar] [CrossRef]
- Aldous, L.; Black, J.J.; Elias, M.C.; Gélinas, B.; Rochefort, D. Enhancing thermoelectrochemical properties by tethering ferrocene to the anion or cation of ionic liquids: Altered thermodynamics and solubility. Phys. Chem. Chem. Phys. 2017, 19, 24255–24263. [Google Scholar] [CrossRef] [PubMed]
- Venker, A.; Vollgraff, T.; Sundermeyer, J. Ferrocenyl-sulfonium ionic liquids—Synthesis, characterization and electrochemistry. Dalton Trans. 2018, 47, 1933–1941. [Google Scholar] [CrossRef] [PubMed]
- Shimakoshi, H.; Houfuku, N.; Chen, L.; Hisaeda, Y. Redox active ionic liquid as efficient mediator and solvent for visible light-driven B12 catalytic reactions. Green Energy Environ. 2019, 4, 116–120. [Google Scholar] [CrossRef]
- Anderson, T.M.; Ingersoll, D.; Rose, A.J.; Staiger, C.L.; Leonard, J.C. Synthesis of an ionic liquid with an iron coordination cation. Dalton Trans. 2010, 39, 8609–8612. [Google Scholar] [CrossRef]
- Guo, Y.; He, D.; Xie, A.; Qu, W.; Tang, Y.; Zhou, L.; Zhu, R. The electrochemical oxidation of hydroquinone and catechol through a novel poly-geminal dicationic ionic liquid (PGDIL)–TiO2 composite film electrode. Polymers 2019, 11, 1907. [Google Scholar] [CrossRef]
- Bhat, M. Mechanistic, kinetic and electroanalytical aspects of quinone–hydroquinone redox system in N-alkylimidazolium based room temperature ionic liquids. Electrochim. Acta 2012, 81, 275–282. [Google Scholar] [CrossRef]
- Salazar, R.; Vidal, J.; Martínez-Cifuentes, M.; Araya-Maturana, R.; Ramírez-Rodríguez, O. Electrochemical characterization of hydroquinone derivatives with different substituents in acetonitrile. New J. Chem. 2015, 39, 1237–1246. [Google Scholar] [CrossRef]
- Sinopoli, F.; Sinopoli, A. ASpin-NMR data reporting tool. Open J. Chem. 2019, 2, 9–14. [Google Scholar] [CrossRef]
- Shekaari, H.; Zafarani-Moattar, M.T.; Mirheydari, S.N. Effect of 1-butyl-3-methylimidazolium ibuprofenate as an active pharmaceutical ingredient ionic liquid (API-IL) on the thermodynamic properties of glycine and L-alanine in aqueous solutions at different temperatures. J. Solut. Chem. 2016, 45, 624–663. [Google Scholar] [CrossRef]
- Voss, J.M.; Marsh, B.M.; Zhou, J.; Garand, E. Interaction between ionic liquid cation and water: Infrared predissociation study of [bmim] +·(H2O)n clusters. Phys. Chem. Chem. Phys. 2016, 18, 18905–18913. [Google Scholar] [CrossRef]
- Dharaskar, S.A.; Varma, M.N.; Shende, D.Z.; Yoo, C.K.; Wasewar, K.L. Synthesis, characterization and application of 1-butyl-3 methylimidazolium chloride as green material for extractive desulfurization of liquid fuel. Sci. World J. 2013, 2013, 395274. [Google Scholar] [CrossRef] [PubMed]
- Shamsipur, M.; Beigi, A.A.M.; Teymouri, M.; Pourmortazavi, S.M.; Irandoust, M. Physical and electrochemical properties of ionic liquids 1-ethyl-3-methylimidazolium tetrafluoroborate, 1-butyl-3-methylimidazolium trifluoromethanesulfonate and 1-butyl-1-methylpyrrolidinium bis(trifluoromethylsulfonyl)imide. J. Mol. Liq. 2010, 157, 43–50. [Google Scholar] [CrossRef]
- Barthen, P.; Frank, W.; Ignatiev, N. Development of low viscous ionic liquids: The dependence of the viscosity on the mass of the ions. Ionics 2015, 21, 149–159. [Google Scholar] [CrossRef]
- Efimova, A.; Hubrig, G.; Schmidt, P. Thermal stability and crystallization behavior of imidazolium halide ionic liquids. Thermochim. Acta 2013, 573, 162–169. [Google Scholar] [CrossRef]
- Cao, Y.; Mu, T. Comprehensive Investigation on the Thermal Stability of 66 Ionic Liquids by Thermogravimetric Analysis. Ind. Eng. Chem. Res. 2014, 53, 8651–8664. [Google Scholar] [CrossRef]
- Aïssa, B.; Hamoudi, Z.; Takahashi, H.; Tohji, K.; Mohamedi, M.; Khakani, M.A.E. Carbon nanohorns-coated microfibers for use as free-standing electrodes for electrochemical power sources. Electrochem. Commun. 2009, 11, 862–866. [Google Scholar] [CrossRef]
- Herath, M.B.; Hickman, T.; Creager, S.E.; DesMarteau, D.D. A new fluorinated anion for room-temperature ionic liquids. J. Fluor. Chem. 2011, 132, 52–56. [Google Scholar] [CrossRef]
- Pavel, L.P.; Andreyko, E.A.; Gorbatova, P.A.; Parfenov, V.V.; Rizvanov, I.K.; Stoikov, I.I. Towards macrocyclic ionic liquids: Novel ammonium salts based on tetrasubstituted p-tert-butylthiacalix[4]arenes. RSC Adv. 2017, 7, 1671–1686. [Google Scholar]
- Sánchez-Ramírez, N.; Assresahegn, B.D.; Bélanger, D.; Torresi, R.M. A comparison among viscosity, density, conductivity, and electrochemical windows of N-n-butyl-N-methylpyrrolidinium and triethyl-n-pentylphosphonium bis(fluorosulfonyl imide) ionic liquids and their analogues containing bis(trifluoromethylsulfonyl) imide anion. J. Chem. Eng. Data 2017, 62, 3437–3444. [Google Scholar]
- Roohi, H.; Iloukhani, H.; Rouhani, F. Tuning the structural, electronic and electrochemical properties of the 4-methyl-1-phenyl triazolium based [PhMeTAZ][Y1–8] ionic liquids through changing anions: A quantum chemical study. J. Mol. Liq. 2017, 240, 138–151. [Google Scholar] [CrossRef]
- McDaniel, J.G.; Son, C.Y.; Yethiraj, A. Ab initio force fields for organic Anions: Properties of (BMIM)[TFSI], (BMIM)[FSI], and (BMIM)[OTf] ionic liquids. J. Phys. Chem. B 2018, 122, 4101–4114. [Google Scholar] [CrossRef] [PubMed]
- Dai, J.; Zhao, K.-Q.; Wang, B.-Q.; Hu, P.; Heinrich, B.; Donnio, B. Liquid crystal ionic self-assembly and anion-selective photoluminescence in discotic azatriphenylenes. J. Mater. Chem. C 2020, 8, 4215–4225. [Google Scholar] [CrossRef]








| RAIL | Cation | Anion | Physical State | Electrochemical Studies | Potential Application | Ref |
|---|---|---|---|---|---|---|
| Carbazole- and viologen based RAIL | (CZC4ImC1)+ + (C4VC7)2+ | TFSI | Liquid at RT | Neat RAIL | Charge transfer (CT) in order to produce new photoactivity | [26] |
| TEMPO-based RAIL | 1,2-dimethyl-3-(4-(2,2,6,6-tetramethyl-1-oxyl-4-piperidoxyl)-pentyl)imidazolium | TFSI | Viscous liquid | RAIL in DEGDME | Lithium–oxygen batteries | [27] |
| Methoxycarbonyl-based RAIL | 1-ethyl4-(methylcarbonyl)pyridinium | TFSI | Viscous liquid at RT | RAIL in DMF containing 0.1 M TBAPF6 | Visible light-driven B12 catalytic reactions | [34] |
| Ferrocenyl sulfonium-based RAIL | dimethylferrocenylsulfonium | TFSI | Viscous liquid | RAIL in EMIM TFSI | N/A | [33] |
| Ferrocene- and viologen-based RAILs composite | FcC6IMC1 + C4VC7 | TFSI | Viscous liquid at RT | RAIL in acetonitrile containing 0.1 M potassium TFSI | Electrochromism | [19] |
| Iron-based RAIL | Fe(OHCH2CH2)2NH)6 | CF3SO3 | Viscous liquid at RT | 0.0111 M solution of RAIL in BMIm-PF6 | Nonaqueous RFBs | [35] |
| Fe(EA)6−m(FcEA)m | CF3SO3/I | Solid or Viscous liquid at RT * | RAIL in PC with 0.5 M Li TFSI | Nonaqueous RFBs | [15] | |
| Anthraquinone-based RAIL | Phosphonium—Imidazolium Ammonium—Piperidinium pyrrolidinium | 9,10-Anthraquinone-2-sulfonate (AQS) | Only P14 6 6 6 Was liquid at RT | RAIL in acetonitrile and TBA TFB electrolyte | N/A | [28] |
| Dimethoxybenzene-based RAIL | BMIM | 2,5-ditert-butyl-1,4-dimethoxybenzene TFSI | Solid at RT | RAIL in carbonated based electrolyte | Li-ion batteries | [30] |
| Anthraquinone and TEMPO-based RAIL | EMIM TEMPO | AQ-TFSI | Solid at RT | RAIL in acetonitrile containing 0.1 M TBAPF6 | supercapacitors | [29] |
| Ferrocene- | Ferrocene | TSFI | Solid at RT | N/A | N/A | [23] |
| Viologen-based RAIL | Viologen | TSFI | Solid at RT | N/A | Electrochromism | [24] |
| Vanadate | N-dodecylpyridinium | vanadate | Solid at RT | N/A | Alcohol oxidation by H2O2 | [25] |
Publisher’s Note: MDPI stays neutral with regard to jurisdictional claims in published maps and institutional affiliations. |
© 2021 by the authors. Licensee MDPI, Basel, Switzerland. This article is an open access article distributed under the terms and conditions of the Creative Commons Attribution (CC BY) license (https://creativecommons.org/licenses/by/4.0/).
Share and Cite
Aidoudi, F.H.; Sinopoli, A.; Arunachalam, M.; Merzougui, B.; Aïssa, B. Synthesis and Characterization of a Novel Hydroquinone Sulfonate-Based Redox Active Ionic Liquid. Materials 2021, 14, 3259. https://doi.org/10.3390/ma14123259
Aidoudi FH, Sinopoli A, Arunachalam M, Merzougui B, Aïssa B. Synthesis and Characterization of a Novel Hydroquinone Sulfonate-Based Redox Active Ionic Liquid. Materials. 2021; 14(12):3259. https://doi.org/10.3390/ma14123259
Chicago/Turabian StyleAidoudi, Farida H., Alessandro Sinopoli, Muthumeenal Arunachalam, Belabbes Merzougui, and Brahim Aïssa. 2021. "Synthesis and Characterization of a Novel Hydroquinone Sulfonate-Based Redox Active Ionic Liquid" Materials 14, no. 12: 3259. https://doi.org/10.3390/ma14123259
APA StyleAidoudi, F. H., Sinopoli, A., Arunachalam, M., Merzougui, B., & Aïssa, B. (2021). Synthesis and Characterization of a Novel Hydroquinone Sulfonate-Based Redox Active Ionic Liquid. Materials, 14(12), 3259. https://doi.org/10.3390/ma14123259

