Profile of CO2, CO, and H2 Emissions from Thermal Oxidation of Polish Coals
Abstract
1. Introduction
2. Materials and Methods
2.1. Measurement Method
2.2. Sample Characterization
3. Results and Discussion
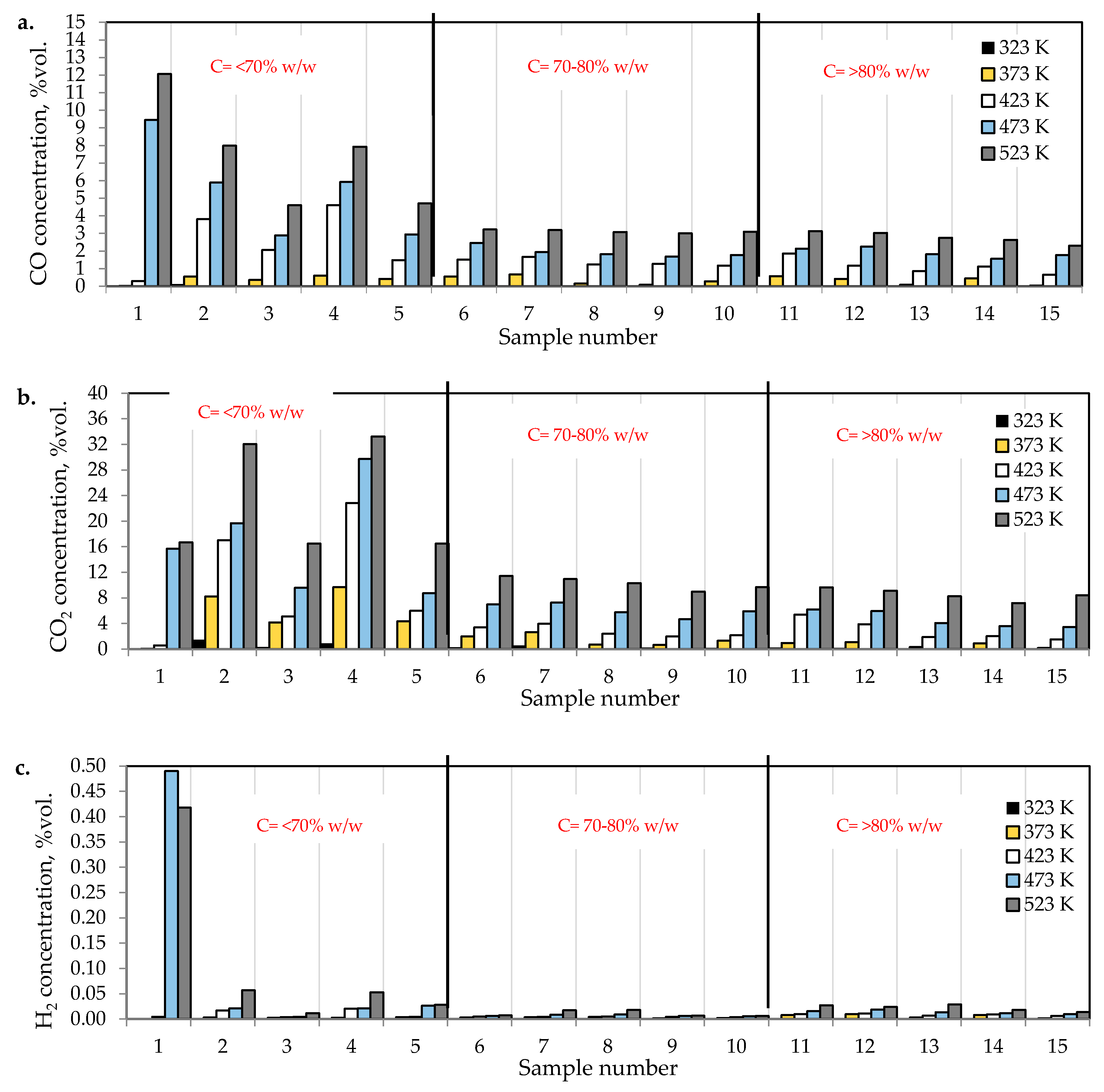
3.1. Gases Emission Profile
3.2. Influence of Coal Properties on the Amount of CO2, CO, and H2 Produced
3.2.1. Carbon Content
3.2.2. Oxygen Content
3.2.3. Ash and Sulfur Content
3.2.4. Maceral Content
3.3. Hierarchical Clustering Analysis
4. Conclusions
Author Contributions
Funding
Conflicts of Interest
References
- Stracher, G.B.; Taylor, T.P. Coal fires burning out of control around the world: Thermodynamic recipe for environmental catastrophe. Int. J. Coal. Geol. 2004, 59, 7–17. [Google Scholar] [CrossRef]
- State Mining Authority. Assessment of the State of Work Safety, Mining Rescue and Safety in Connection with Mining and Geological Activities in 2018; State Mining Authority: Katowice, Poland, 2019. [Google Scholar]
- Wang, H.; Dlugogorski, B.Z.; Kennedy, E.M. Thermal decomposition of solid oxygenated complexes formed by coal oxidation at low temperatures. Fuel 2002, 81, 1913–1923. [Google Scholar] [CrossRef]
- Mohalik, N.; Singh, R.; Singh, V.; Tripathi, D. Critical Appraisal to Assess the Extent of Fire in Old Abandoned Coal Mine Areas—Indian Context. In Proceedings of the 2009 Coal Operators’ Conference, Wollongong, Australia, 12–13 February 2009; pp. 271–280. [Google Scholar]
- Baris, K.; Kizgut, S.; Didari, V. Low-temperature oxidation of some Turkish coals. Fuel 2012, 93, 423–432. [Google Scholar] [CrossRef]
- Lu, P.; Liao, G.; Sun, J.; Li, P. Experimental research on index gas of the coal spontaneous combustion at low-temperature stage. J. Loss Prev. Process Ind. 2004, 17, 243–247. [Google Scholar] [CrossRef]
- Onifade, M.; Genc, B.; Wagner, N. Influence of organic and inorganic properties of coal-shale on spontaneous combustion liability. Int. J. Min. Sci. Technol. 2019, 6, 151–168. [Google Scholar] [CrossRef]
- Yuan, L.; Smith, A.C. CO and CO2 emissions from spontaneous heating of coal under different ventilation rates. Int. J. Coal Geol. 2011, 88, 24–30. [Google Scholar] [CrossRef]
- Wang, H.; Dlugogorski, B.Z.; Kennedy, E.M. Examination of CO2, CO, and H2O formation during low-temperature oxidation of a bituminous coal. Energy Fuel 2002, 16, 586–592. [Google Scholar] [CrossRef]
- Wang, H.; Dlugogorski, B.Z.; Kennedy, E.M. Pathways for production of CO2 and CO in low-temperature oxidation of coal. Energy Fuel 2003, 17, 150–158. [Google Scholar] [CrossRef]
- Wojtacha-Rychter, K.; Smoliński, A. The interaction between coal and multi-component gas mixtures in the process of coal heating at various temperatures: An experimental study. Fuel 2018, 213, 150–157. [Google Scholar] [CrossRef]
- Kaji, R.; Hishinuma, Y.; Nakamura, Y. Low temperature oxidation of coals. Fuel 1985, 64, 297–302. [Google Scholar] [CrossRef]
- Zhang, Y.; Wang, J.; Wu, J.; Xue, S.; Li, Z.; Chang, L. Modes and kinetics of CO2 and CO production from low-temperature oxidation of coal. Int. J. Coal Geol. 2015, 140, 1–8. [Google Scholar] [CrossRef]
- Xu, T. Heat effect of the oxygen-containing functional groups in coal during spontaneous combustion processes. Adv. Powder Technol. 2017, 28, 1841–1848. [Google Scholar] [CrossRef]
- Clemens, A.H.; Matheson, T.W.; Rogers, D.E. Low temperature oxidation studies of dried New Zealand coals. Fuel 1991, 70, 215–221. [Google Scholar] [CrossRef]
- Wang, H.; Dlugogorski, B.Z.; Kennedy, E.M. Coal oxidation at low temperatures: Oxygen consumption, oxidation products, reaction mechanism and kinetic modelling. Prog. Energy Combust. Sci. 2003, 29, 487–513. [Google Scholar] [CrossRef]
- Grossman, S.L.; Wegener, I.; Wanzl, W.; Davidi, S.; Cohen, H. Molecular hydrogen evolution as a consequence of atmospheric oxidation of coal: 3. Thermogravimetric flow reactor studies. Fuel 1994, 73, 762–767. [Google Scholar] [CrossRef]
- Grossman, S.L.; Davidi, S.; Cohen, H. Emission of toxic and fire hazardous gases from open air coal stockpiles. Fuel 1994, 73, 1184–1188. [Google Scholar] [CrossRef]
- Grossman, S.L.; Davidi, S.; Cohen, H. Molecular hydrogen evolution as a consequence of atmospheric oxidation of coal: 1. Batch reactor simulations. Fuel 1993, 72, 193–197. [Google Scholar] [CrossRef]
- Hitchcock, W.K.; Beamish, B.B.; Cliff, D. A Study of the Formation of Hydrogen Produced during the Oxidation of Bulk Coal under Laboratory Conditions. In Proceedings of the 2008 Coal Operators’ Conference, Wollongong, Australia, 14–15 February 2008; pp. 166–172. [Google Scholar]
- Bell, S.L.; Cliff, D.; Reinhart, D.; Rintoul, L. Research into the Continuous Detection of Low Levels of Hydrogen Gas in Coal Mines; SIMTARS Scientific Report, QSR9202; SIMTARS: Redbank, Australia, 1992.
- Xie, J.; Xue, S.; Cheng, W.; Wang, G. Early detection of spontaneous combustion of coal in underground coal mines with development of an ethylene enriching system. Int. J. Coal Geol. 2011, 85, 123–127. [Google Scholar] [CrossRef]
- Koteras, A.; Checko, J.; Urych, T.; Magdziarczyk, M.; Smolinski, A. An Assessment of the Formations and Structures Suitable for Safe CO2 Geological Storage in the Upper Silesia Coal Basin in Poland in the Context of the Regulation Relating to the CCS. Energies 2020, 13, 195. [Google Scholar] [CrossRef]
- Timko, R.J.; Derick, R.L. Methods to determine the status of mine atmospheres—An overview. J. Mine Vent. Soc. S. Afr. 2006, 59, 1–9. [Google Scholar]
- Nehemia, V.; Davidi, S.; Cohen, H. Emission of hydrogen gas from weathered steam coal piles via formaldehyde as a precursor. Fuel 1999, 78, 775–780. [Google Scholar] [CrossRef]
- Czechowski, F.; Marzec, A.; Czajkowska, S. Hydrogen formation upon low-temperature oxidation of bituminous coal with air oxygen. Miner. Resour. Manag. 2007, 23, 61–74. [Google Scholar]
- Wang, Y.; Wu, J.; Xue, S.; Wang, J.; Zhang, Y. Experimental Study on the molecular hydrogen release mechanism during low-temperature oxidation of coal. Energy Fuels 2017, 31, 5498–5506. [Google Scholar] [CrossRef]
- Wojtacha-Rychter, K.; Smoliński, A. Multi-component gas mixture transport through porous structure of coal. Fuel 2018, 233, 37–44. [Google Scholar] [CrossRef]
- Flores, R.M. Coalification, Gasification, and Gas Storage. In Coal and Coalbed Gas; Elsevier: Amsterdam, The Netherlands, 2014; pp. 167–233. [Google Scholar] [CrossRef]
- Baris, K.; Didari, V. Low Temperature Oxidation of a High Volatile Bituminous Turkish Coal Effects of Temperature and Particle Size. In Proceedings of the 2009 Coal Operators’ Conference, Wollongong, Australia, 12–13 February 2009; pp. 296–302. [Google Scholar]
- Li, J.; Fu, P.; Zhu, Q.; Mao, Y.; Yang, C. A lab-scale experiment on low-temperature coal oxidation in context of underground coal fires. Appl. Therm. Eng. 2018, 141, 333–338. [Google Scholar] [CrossRef]
- Ptaszyński, B. Carbon dioxide concentration in mine workings. Min. Geo-Eng. 2006, 30, 47–59. [Google Scholar]
- Wojtacha-Rychter, K.; Smoliński, A. Sorption Characteristic of Coal as Regards of Gas Mixtures Emitted in the Process of the Self-Heating of Coal. In Proceedings of the 2017 International Conference Energy, Environment and Material Systems (EEMS), Polanica Zdrój, Poland, 13–15 September 2017; p. 1010. [Google Scholar] [CrossRef]
- Ceglarska-Stefańska, G.; Zarębska, K. Sorption of carbon dioxide–methane mixtures. Int. J. Coal Geol. 2005, 62, 211–222. [Google Scholar] [CrossRef]
- Kreiner, K.; Żyła, M. Binary character of surface of coal. Min. Geo-Eng. 2006, 3, 19–34. [Google Scholar]
- Ibarra, J.; Muñoz, E.; Moliner, R. FTIR study of the evolution of coal structure during the coalification process. Org. Geochem. 1996, 24, 725–735. [Google Scholar] [CrossRef]
- Czapliński, A. Hard Coal; AGH University of Science and Technology: Krakow, Poland, 1994. [Google Scholar]
- Beamish, B.; Lin, Z.; Beamish, R. Investigating the Influence of Reactive Pyrite on Coal Self-Heating. In Proceedings of the 12th Coal Operators’ Conference, Wollongong, Australia, 16–17 February 2012; pp. 294–299. [Google Scholar]
- Arisoy, A.; Beamish, B. Mutual effects of pyrite and moisture on coal self-heating rates and reaction rate data for pyrite oxidation. Fuel 2015, 139, 107–114. [Google Scholar] [CrossRef]
- Onifade, M.; Genc, B. Spontaneous combustion of coals and coal-shales. Int. J. Min. Sci. Technol. 2018, 28, 933–940. [Google Scholar] [CrossRef]
- Kaymakçi, E.; Didari, V. Relations between coal properties and spontaneous combustion parameters. Turk. J. Eng. Environ. Sci. 2002, 26, 59–64. [Google Scholar]
- Harris, L.; Yust, C. Transmission electron microscope observations of porosity in coal. Fuel 1976, 55, 233–236. [Google Scholar] [CrossRef]
- Unsworth, J.F.; Fowler, C.S.; Jones, L.F. Moisture in coal. Fuel 1989, 68, 18–26. [Google Scholar] [CrossRef]
- Rodrigues, C.F.; Lemos de Sousa, M.J. The measurement of coal porosity with different gases. Int. J. Coal Geol. 2002, 48, 245–251. [Google Scholar] [CrossRef]
- Xie, K.C. Geological Characteristics of Coal. In Structure and Reactivity of Coal: A Survey of Selected Chinese Coals; Springer: Berlin, Germany, 2015. [Google Scholar] [CrossRef]
- Vandeginste, B.G.M.; Massart, D.L.; Buydens, L.M.C.; de Jong, S.; Lewi, P.J.; Smeyers-Verbeke, J. Handbook of Chemometrics and Qualimetrics: Part B; Elsevier: Amsterdam, The Netherlands, 1998. [Google Scholar]
- Romesburg, H.C. Cluster Analysis for Researchers; Lifetime Learning Publications: Belmont, CA, USA, 1984. [Google Scholar]
- Smoliński, A.; Stańczyk, K.; Kapusta, K.; Howaniec, N. Chemometric Study of the Ex Situ Underground Coal Gasification Wastewater Experimental Data. Water Air Soil Pollut. 2012, 223, 5745–5758. [Google Scholar] [CrossRef][Green Version]
- Howaniec, N.; Smolinski, A.; Cempa-Balewicz, M. Experimental study on application of high temperature reactor excess heat in the process of coal and biomass co-gasification to hydrogen-rich gas. Energy 2015, 84, 455–461. [Google Scholar] [CrossRef]
- Nikolic, K.; Filipic, S.; Smoliński, A.; Kaliszan, R.; Agbaba, D. Partial Least Square and Hierarchical Clustering in ADMET Modeling: Prediction of Blood—Brain Barrier Permeation of α-Adrenergic and Imidazoline Receptor Ligands. J. Pharm. Pharm. Sci. 2013, 16, 622–647. [Google Scholar] [CrossRef]












| No | Ultimate Analysis | Proximate Analysis | Petrographic Analysis | ||||||||||
|---|---|---|---|---|---|---|---|---|---|---|---|---|---|
| Ca1 | Ha2 | Oa3 | Na4 | Sa5 | Aa6 | Wa7 | Va8 | MMa9 | Ro a10 | Va11 | La12 | Ia13 | |
| 1 | 61.54 | 3.66 | 4.79 | 1.04 | 0.50 | 26.98 | 1.11 | 17.65 | 16 | 0.59 | 69 | 1 | 30 |
| 2 | 63.98 | 4.12 | 9.43 | 0.89 | 1.57 | 12.06 | 8.08 | 29.2 | 10 | 0.55 | 55 | 14 | 31 |
| 3 | 64.18 | 4.13 | 12.78 | 0.90 | 0.85 | 7.52 | 9.69 | 30.55 | 3 | 0.52 | 70 | 8 | 22 |
| 4 | 64.37 | 3.68 | 9.26 | 0.85 | 1.32 | 12.73 | 7.84 | 23.38 | 10 | 0.51 | 44 | 5 | 51 |
| 5 | 67.10 | 3.92 | 11.32 | 1.07 | 0.89 | 5.17 | 9.68 | 30.66 | 3 | 0.57 | 61 | 6 | 33 |
| 6 | 74.16 | 4.18 | 8.19 | 1.23 | 0.17 | 10.54 | 1.53 | 25.62 | 13 | 0.93 | 52 | 4 | 44 |
| 7 | 74.66 | 4.16 | 9.02 | 1.41 | 0.32 | 7.44 | 3.02 | 29.76 | 1 | 0.76 | 45 | 11 | 44 |
| 8 | 75.17 | 4.22 | 8.89 | 1.41 | 0.41 | 8.44 | 3.02 | 29.25 | 1 | 0.83 | 51 | 5 | 39 |
| 9 | 76.89 | 4.31 | 6.35 | 1.36 | 0.42 | 9.15 | 1.67 | 28.12 | 3 | 0.91 | 62 | 6 | 32 |
| 10 | 79.59 | 4.68 | 7.34 | 1.48 | 0.40 | 4.61 | 2.15 | 29.29 | 1 | 0.88 | 59 | 7 | 35 |
| 11 | 80.10 | 4.66 | 6.61 | 1.33 | 0.34 | 5.05 | 2.11 | 27.65 | 1 | 0.87 | 36 | 7 | 57 |
| 12 | 80.65 | 4.90 | 4.90 | 1.45 | 0.22 | 4.34 | 1.70 | 29.05 | 1 | 0.95 | 49 | 7 | 44 |
| 13 | 81.01 | 4.26 | 6.83 | 1.32 | 0.57 | 5.06 | 1.34 | 28.33 | 0 | 0.88 | 26 | 16 | 58 |
| 14 | 85.42 | 4.42 | 3.38 | 1.46 | 0.51 | 3.84 | 0.99 | 20.38 | 1 | 1.15 | 72 | 2 | 25 |
| 15 | 89.11 | 4.16 | 1.09 | 1.39 | 0.34 | 3.15 | 0.93 | 19.68 | 2 | 1.28 | 53 | 1 | 46 |
© 2020 by the authors. Licensee MDPI, Basel, Switzerland. This article is an open access article distributed under the terms and conditions of the Creative Commons Attribution (CC BY) license (http://creativecommons.org/licenses/by/4.0/).
Share and Cite
Wojtacha-Rychter, K.; Smoliński, A. Profile of CO2, CO, and H2 Emissions from Thermal Oxidation of Polish Coals. Materials 2020, 13, 848. https://doi.org/10.3390/ma13040848
Wojtacha-Rychter K, Smoliński A. Profile of CO2, CO, and H2 Emissions from Thermal Oxidation of Polish Coals. Materials. 2020; 13(4):848. https://doi.org/10.3390/ma13040848
Chicago/Turabian StyleWojtacha-Rychter, Karolina, and Adam Smoliński. 2020. "Profile of CO2, CO, and H2 Emissions from Thermal Oxidation of Polish Coals" Materials 13, no. 4: 848. https://doi.org/10.3390/ma13040848
APA StyleWojtacha-Rychter, K., & Smoliński, A. (2020). Profile of CO2, CO, and H2 Emissions from Thermal Oxidation of Polish Coals. Materials, 13(4), 848. https://doi.org/10.3390/ma13040848

