Pyrolysis Kinetic Properties of Thermal Insulation Waste Extruded Polystyrene by Multiple Thermal Analysis Methods
Abstract
1. Introduction
2. Materials and Methods
2.1. Materials
2.2. Thermogravimetric Measurements
2.3. Pyrolysis Kinetics
2.4. Methods
2.4.1. Model-Free Methods
Flynn–Wall–Ozawa Method (FWO)
Starink Method
Tang Method
Distributed Activation Energy Model Method (DAEM)
2.4.2. Model-Fitting Methods
Coats–Redfern Method
The Iterative Procedure
Masterplots Method
2.4.3. Particle Swarm Optimization Method
3. Results and Discussion
3.1. Thermogravimetric Analysis
3.2. Kinetic Analysis by the Model-Free Methods
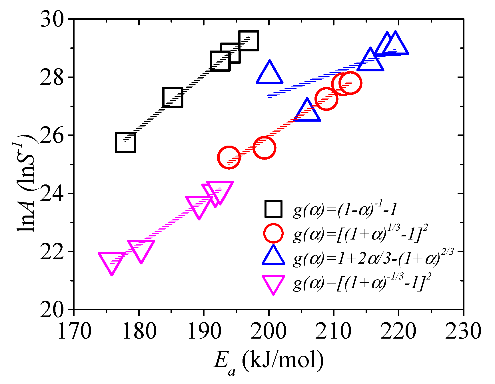
3.3. Establishment of Reaction Mechanisms
3.4. Comparison of Multiple Kinetic Methods
4. Conclusions
Author Contributions
Funding
Conflicts of Interest
References
- Ding, Y.; Zhang, J.; He, Q.; Huang, B.; Mao, S. The application and validity of various reaction kinetic models on woody biomass pyrolysis. Energy 2019, 179, 784–791. [Google Scholar] [CrossRef]
- Mavromatidis, G.; Orehounig, K.; Bollinger, L.; Hohmann, M.; Marquant, J.; Miglani, S.; Morvaj, B.; Murray, P.; Waibel, C.; Wang, D. Ten questions concerning modeling of distributed multi-energy systems. Build. Environ. 2019, 165, 106372. [Google Scholar] [CrossRef]
- Ibrahim, M.; Nocentini, K.; Stipetic, M.; Dantz, S.; Caiazzo, F.; Sayegh, H.; Bianco, L. Multi-field and multi-scale characterization of novel super insulating panels/systems based on silica aerogels: Thermal, hydric, mechanical, acoustic, and fire performance. Build. Environ. 2019, 151, 30–42. [Google Scholar] [CrossRef]
- Ni, X.; Wu, Z.; Zhang, W.; Lu, K.; Ding, Y.; Mao, S. Energy utilization of building insulation waste expanded polystyrene: Pyrolysis kinetic estimation by a new comprehensive method. Polymers 2020, 12, 1744. [Google Scholar] [CrossRef] [PubMed]
- Huang, X.; Sun, J.; Ji, J.; Zhang, Y.; Wang, Q.; Zhang, Y. Flame spread over the surface of thermal insulation materials in different environments. Chin. Sci. Bull. 2011, 56, 1617–1622. [Google Scholar] [CrossRef]
- Si, J.; Tawiah, B.; Sun, W.; Lin, B.; Wang, C.; Yuen, A.C.Y.; Yu, B.; Li, A.; Yang, W.; Lu, H. Functionalization of mxene nanosheets for polystyrene towards high thermal stability and flame retardant properties. Polymers 2019, 11, 976. [Google Scholar] [CrossRef]
- Krause, P.; Nowoświat, A. Experimental studies involving the impact of solar radiation on the properties of expanded graphite polystyrene. Energies 2019, 13, 75. [Google Scholar] [CrossRef]
- An, W.; Yin, X.; Cai, M.; Gao, Y.; Wang, H. Influence of vertical channel on downward flame spread over extruded polystyrene foam. Int. J. Therm. Sci. 2019, 145, 105991. [Google Scholar] [CrossRef]
- Ding, Y.; Swann, J.; Sun, Q.; Stoliarov, S.; Kraemer, R. Development of a pyrolysis model for glass fiber reinforced polyamide 66 blended with red phosphorus: Relationship between flammability behavior and material composition. Compos. B Eng. 2019, 176, 107263. [Google Scholar] [CrossRef]
- Mehta, S.; Biederman, S.; Shivkumar, S. Thermal degradation of foamed polystyrene. J. Mater. Sci. 1995, 30, 2944–2949. [Google Scholar] [CrossRef]
- Li, K.; Huang, X.; Fleischmann, C.; Rein, G.; Ji, J. Pyrolysis of medium-density fiberboard: Optimized search for kinetics scheme and parameters via a genetic algorithm driven by Kissinger’s method. Energy Fuels 2014, 28, 6130–6139. [Google Scholar] [CrossRef]
- Jiang, L.; Xiao, H.; He, J.; Sun, Q.; Gong, L.; Sun, J. Application of genetic algorithm to pyrolysis of typical polymers. Fuel Process. Technol. 2015, 138, 48–55. [Google Scholar] [CrossRef]
- Zhang, W.; Zhang, J.; Ding, Y.; He, Q.; Lu, K.; Chen, H. Pyrolysis kinetics and reaction mechanism of expandable polystyrene by multiple kinetics methods. J. Clean. Prod. 2020, 125042. [Google Scholar] [CrossRef]
- Zhang, Q.; Cai, H.; Yi, W.; Lei, H.; Liu, H.; Wang, W.; Ruan, R. Biocomposites from organic solid wastes derived biochars: A review. Materials 2020, 13, 3923. [Google Scholar] [CrossRef]
- Sun, Y.; Wang, Y.; Liu, L.; Xiao, T. The preparation, thermal properties, and fire property of a phosphorus-containing flame-retardant styrene copolymer. Materials 2020, 13, 127. [Google Scholar] [CrossRef]
- Pan, L.; Jiang, Y. Evaluating the effects of KCl on thermal behavior and reaction kinetics of medium density fiberboard pyrolysis. Materials 2019, 12, 1826. [Google Scholar] [CrossRef]
- Faravelli, T.; Pinciroli, M.; Pisano, F.; Bozzano, G.; Dente, M.; Ranzi, E. Thermal degradation of polystyrene. J. Anal. Appl. Pyrolysis 2001, 60, 103–121. [Google Scholar] [CrossRef]
- Aguado, J.; Serrano, D.; San, M.; Castro, M.; Madrid, S. Feedstock recycling of polyethylene in a two-step thermo-catalytic reaction system. J. Anal. Appl. Pyrolysis 2007, 79, 415–423. [Google Scholar] [CrossRef]
- Cafiero, L.; Fabbri, D.; Trinca, E.; Tuffi, R.; Ciprioti, S. Thermal and spectroscopic (TG/DSC–FTIR) characterization of mixed plastics for materials and energy recovery under pyrolytic conditions. J. Therm. Anal. Calorim. 2015, 121, 1111–1119. [Google Scholar] [CrossRef]
- Benedetti, M.; Cafiero, L.; Angelis, D.; Dell’Era, A.; Pasquali, M.; Stendardo, S.; Tuffi, R.; Ciprioti, S. Pyrolysis of WEEE plastics using catalysts produced from fly ash of coal gasification. Front. Environ. Sci. Eng. 2017, 11, 11. [Google Scholar] [CrossRef]
- Panda, A.; Singh, R.; Mishra, D. Thermolysis of waste plastics to liquid fuel: A suitable method for plastic waste management and manufacture of value added products-A world prospective. Renew. Sustain. Energy Rev. 2010, 14, 233–248. [Google Scholar] [CrossRef]
- Januszewicz, K.; Kazimierski, P.; Suchocki, T.; Kardas, D.; Lewandowski, W.; Klugmann-Radziemska, E.; Luczak, J. Waste rubber pyrolysis: Product yields and limonene concentration. Materials 2020, 13, 4435. [Google Scholar] [CrossRef] [PubMed]
- Jiao, L.; Xu, G.; Wang, Q.; Xu, Q.; Sun, J. Kinetics and volatile products of thermal degradation of building insulation materials. Thermochim. Acta 2012, 547, 120–125. [Google Scholar] [CrossRef]
- Jiao, L.; Sun, J. A thermal degradation study of insulation materials extruded polystyrene. Procedia Eng. 2014, 71, 622–628. [Google Scholar] [CrossRef]
- Jiang, L.; Zhang, D.; Li, M.; He, J.; Gao, Z.; Zhou, Y.; Sun, J. Pyrolytic behavior of waste extruded polystyrene and rigid polyurethane by multi kinetics methods and Py-GC/MS. Fuel 2018, 222, 11–20. [Google Scholar] [CrossRef]
- Farjas, J.; Roura, P. Isoconversional analysis of solid state transformations. J. Therm. Anal. Calorim. 2011, 105, 757–766. [Google Scholar] [CrossRef]
- Vyazovkin, S.; Dollimore, D. Linear and nonlinear procedures in isoconversional computations of the activation energy of nonisothermal reactions in solids. J. Chem. Inf. Comput. Sci. 1996, 36, 42–45. [Google Scholar] [CrossRef]
- Ding, Y.; Zhou, R.; Wang, C.; Lu, K.; Lu, S. Modeling and analysis of bench-scale pyrolysis of lignocellulosic biomass based on merge thickness. Bioresour. Technol. 2018, 268, 77–80. [Google Scholar] [CrossRef]
- Ding, Y.; Fukumoto, K.; Ezekoye, O.; Lu, S.; Wang, C.; Li, C. Experimental and numerical simulation of multi-component combustion of typical charring material. Combust. Flame 2020, 211, 417–429. [Google Scholar] [CrossRef]
- Cepeliogullar, O.; Haykiriacma, H.; Yaman, S. Kinetic modelling of RDF pyrolysis: Model-fitting and model-free approaches. Waste Manag. 2016, 48, 275–284. [Google Scholar] [CrossRef]
- Vyazovkin, S.; Burnham, A.; Criado, J.; Pérez-Maqueda, L.; Popescu, C.; Sbirrazzuoli, N. ICTAC Kinetics Committee recommendations for performing kinetic computations on thermal analysis data. Thermochim. Acta 2011, 520, 1–19. [Google Scholar] [CrossRef]
- Ding, Y.; Ezekoye, O.; Lu, S.; Wang, C.; Zhou, R. Comparative pyrolysis behaviors and reaction mechanisms of hardwood and softwood. Energy Convers. Manag. 2017, 132, 102–109. [Google Scholar] [CrossRef]
- Jiang, H.; Wang, J.; Wu, S.; Wang, B.; Wang, Z. Pyrolysis kinetics of phenol–formaldehyde resin by non-isothermal thermogravimetry. Carbon 2010, 48, 352–358. [Google Scholar] [CrossRef]
- Vlaev, L.; Nedelchev, N.; Gyurova, K.; Zagorcheva, M. A comparative study of non-isothermal kinetics of decomposition of calcium oxalate monohydrate. J. Anal. Appl. Pyrolysis 2008, 81, 253–262. [Google Scholar] [CrossRef]
- Flynn, J.; Wall, L. A quick, direct method for the determination of activation energy from thermogravimetric data. J. Polym. Sci. Part C Polym. Lett. 1966, 4, 323–328. [Google Scholar] [CrossRef]
- Ozawa, T. A new method of analyzing thermogravimetric data. Bull. Chem. Soc. Jpn. 1965, 38, 1881–1886. [Google Scholar] [CrossRef]
- Starink, M. The determination of activation energy from linear heating rate experiments: A comparison of the accuracy of isoconversion methods. Thermochim. Acta 2003, 404, 163–176. [Google Scholar] [CrossRef]
- Tang, W.; Liu, Y.; Zhang, H.; Wang, C. New approximate formula for Arrhenius temperature integral. Thermochim. Acta 2003, 408, 39–43. [Google Scholar] [CrossRef]
- Sonobe, T.; Worasuwannarak, N. Kinetic analyses of biomass pyrolysis using the distributed activation energy model. Fuel 2008, 87, 414–421. [Google Scholar] [CrossRef]
- Miura, K. A new and simple method to estimate f(E) and k0(E) in the distributed activation energy model from three sets of experimental data. Energy Fuels 1995, 9, 302–307. [Google Scholar] [CrossRef]
- Slopiecka, K.; Bartocci, P.; Fantozzi, F. Thermogravimetric analysis and kinetic study of poplar wood pyrolysis. Appl. Energy 2012, 97, 491–497. [Google Scholar] [CrossRef]
- Ding, Y.; Wang, C.; Chaos, M.; Chen, R.; Lu, S. Estimation of beech pyrolysis kinetic parameters by Shuffled Complex Evolution. Bioresour. Technol. 2016, 200, 658–665. [Google Scholar] [CrossRef] [PubMed]
- Ding, Y.; Zhang, Y.; Zhang, J.; Zhou, R.; Ren, Z.; Guo, H. Kinetic parameters estimation of pinus sylvestris pyrolysis by Kissinger-Kai method coupled with particle swarm optimization and global sensitivity analysis. Bioresour. Technol. 2019, 293, 122079. [Google Scholar] [CrossRef] [PubMed]
- Ding, Y.; Zhang, W.; Yu, L.; Lu, K. The accuracy and efficiency of GA and PSO optimization schemes on estimating reaction kinetic parameters of biomass pyrolysis. Energy 2019, 176, 582–588. [Google Scholar] [CrossRef]
- Coats, A.; Redfern, J. Kinetic parameters from thermogravimetric data. Nature 1964, 201, 68–69. [Google Scholar] [CrossRef]
- Li, L.; Chen, D. Application of iso-temperature method of multiple rate to kinetic analysis. J. Therm. Anal. Calorim. 2004, 78, 283–293. [Google Scholar]
- Shahcheraghi, S.; Khayati, G.; Ranjbar, M. An advanced reaction model determination methodology in solid-state kinetics based on Arrhenius parameters variation. J. Therm. Anal. Calorim. 2015, 122, 175–188. [Google Scholar] [CrossRef]
- Criado, J.; Ortega, A.; Gotor, F. Correlation between the shape of controlled-rate thermal analysis curves and the kinetics of solid-state reactions. Thermochim. Acta 1990, 157, 171–179. [Google Scholar] [CrossRef]
- Ding, Y.; Huang, B.; Wu, C.; He, Q.; Lu, K. Kinetic model and parameters study of lignocellulosic biomass oxidative pyrolysis. Energy 2019, 181, 11–17. [Google Scholar] [CrossRef]
- Jun, H.; Oh, S.; Lee, H.; Kim, H. A kinetic analysis of the thermal-oxidative decomposition of expandable polystyrene. Korean J. Chem. Eng. 2006, 23, 761–766. [Google Scholar] [CrossRef]
- Liu, J.; Zhong, F.; Niu, W.; Su, J.; Gao, Z.; Zhang, K. Effects of heating rate and gas atmosphere on the pyrolysis and combustion characteristics of different crop residues and the kinetics analysis. Energy 2019, 175, 320–332. [Google Scholar] [CrossRef]
- Xu, F.; Wang, B.; Yang, D.; Hao, J.; Qiao, Y.; Tian, Y. Thermal degradation of typical plastics under high heating rate conditions by TG-FTIR: Pyrolysis behaviors and kinetic analysis. Energy Convers. Manag. 2018, 171, 1106–1115. [Google Scholar] [CrossRef]
- Sbirrazzuoli, N. Is the Friedman method applicable to transformations with temperature dependent reaction heat? Macromol. Chem. Phys. 2007, 208, 1592–1597. [Google Scholar] [CrossRef]
- Boonchom, B. Kinetic and thermodynamic studies of MgHPO4· 3H2O by non-isothermal decomposition data. J. Therm. Anal. Calorim. 2009, 98, 863–871. [Google Scholar] [CrossRef]
- Cao, H.; Jiang, L.; Duan, Q.; Zhang, D.; Chen, H.; Sun, J. An experimental and theoretical study of optimized selection and model reconstruction for ammonium nitrate pyrolysis. J. Hazard. Mater. 2019, 364, 539–547. [Google Scholar] [CrossRef]
- Chen, R.; Li, Q.; Xu, X.; Zhang, D. Pyrolysis kinetics and reaction mechanism of representative non-charring polymer waste with micron particle size. Energy Convers. Manag. 2019, 198, 111923. [Google Scholar] [CrossRef]
- Ding, Y.; Huang, B.; Li, K.; Du, W.; Lu, K.; Zhang, Y. Thermal interaction analysis of isolated hemicellulose and cellulose by kinetic parameters during biomass pyrolysis. Energy 2020, 195, 117010. [Google Scholar] [CrossRef]
- Song, Z.; Li, M.; Pan, Y.; Shu, C. A generalized differential method to calculate lumped kinetic triplet of the nth order model for the global one-step heterogeneous reaction using TG data. J. Loss Prev. Process Indust. 2020, 104094. [Google Scholar] [CrossRef]




| No. | g(α) | f(α) | Rate-Determining Model |
|---|---|---|---|
| 1 | 1 − (1 − α)2/3 | 3/2(1 − α)1/3 | Chemical Reaction |
| 2 | 1 − (1 − α)1/4 | 4(1 − α)3/4 | Chemical Reaction |
| 3 | (1 − α)−1/2 − 1 | 2(1 − α)3/2 | Chemical Reaction |
| 4 | (1 − α)−1 − 1 | (1 − α)2 | Chemical Reaction |
| 5 | (1 − α)−2 − 1 | 1/2(1 − α)3 | Chemical Reaction |
| 6 | α3/2 | 2/3α−1/2 | Nucleation |
| 7 | −ln(1 − α) | 1 − α | First Order, n = 1 |
| 8 | [−ln(1 − α)]2/3 | 3/2(1 − α)[−ln(1 − α)]1/3 | Avrami–Erofeev |
| 9 | [−ln(1 − α)]1/2 | 2(1 − α)[−ln(1 − α)]1/2 | Avrami–Erofeev |
| 10 | α | 1 | Contracting Disk |
| 11 | 1 − (1 − α)1/2 | 2(1 − α)1/2 | Contracting Cylinder |
| 12 | 1 − (1 − α)1/3 | 3(1 − α)2/3 | Contracting Sphere |
| 13 | α2 | 1/2α | 1-D Diffusion |
| 14 | α + (1 − α)ln(1 − α) | [−ln(1 − α)]−1 | 2-D Diffusion |
| 15 | [1 − (1 − α)1/3]2 | (3/2)(1 − α)2/3[1 − (1 − α)−1/3]−1 | 3-D Diffusion |
| 16 | 1 − 2α/3 − (1 − α)2/3 | (3/2)[(1 − α)−1/3 − 1]−1 | 3-D Diffusion |
| 17 | [(1 + α)1/3 − 1]2 | (3/2)(1 + α)2/3[(1 + α)1/3 − 1]−1 | 3-D Diffusion |
| 18 | 1 + 2α/3 − (1+α)2/3 | (3/2)[(1 + α)−1/3 − 1]−1 | 3-D Diffusion |
| 19 | [(1 + α)−1/3 − 1]2 | (3/2)(1 + α)4/3[(1 + α)−1/3 − 1]−1 | 3-D Diffusion |
| α | Ea (kJ/mol) | |||||
|---|---|---|---|---|---|---|
| FWO | DAEM | Starink | Tang | Jiao et al. [24] | Jiang et al. [12] | |
| 0.1 | 180.9 | 179.4 | 176.7 | 178.5 | 147.4 | 368 |
| 0.2 | 212.1 | 211.7 | 212.0 | 210.7 | 164.6 | 298 |
| 0.3 | 211.5 | 211.0 | 211.3 | 208.4 | 165.0 | 277 |
| 0.4 | 205.4 | 204.4 | 204.7 | 203.8 | 164.1 | 270 |
| 0.5 | 201.2 | 199.9 | 200.2 | 199.4 | 163.3 | 270 |
| 0.6 | 197.3 | 195.6 | 196.0 | 196.0 | 161.8 | 263 |
| 0.7 | 195.6 | 193.7 | 194.0 | 194.0 | 161.1 | 256 |
| 0.8 | 208.1 | 206.7 | 207.0 | 207.0 | 164.1 | 253 |
| Average | 201.5 | 200.3 | 200.2 | 199.7 | 161.4 | 281.9 |
| Value a | 15.5% | 16.1% | 17.6% | 16.1% | 10.9% | 40.8% |
| No. | g(α) | Ea (kJ/mol) | |||||
|---|---|---|---|---|---|---|---|
| 5 K/min | 20 K/min | 40 K/min | 60 K/min | 80 K/min | Average | ||
| 1 | 1 − (1 − α)2/3 | 111.2 | 121.5 | 120.1 | 122.4 | 114.5 | 117.9 |
| 2 | 1 − (1 − α)1/4 | 125.3 | 136.9 | 135.4 | 138.2 | 129.5 | 133.1 |
| 3 | (1 − α)−1/2 − 1 | 155.1 | 169.2 | 167.7 | 171.4 | 161.0 | 164.9 |
| 4 | (1 − α)−1 − 1 | 178.0 | 194.1 | 192.5 | 196.9 | 185.2 | 189.3 |
| 5 | (1 − α)−2 − 1 | 230.1 | 250.7 | 249.1 | 255.2 | 240.5 | 245.1 |
| 6 | α3/2 | 157.2 | 171.5 | 169.5 | 172.6 | 161.8 | 166.5 |
| 7 | −ln(1 − α) | 134.6 | 147.0 | 145.5 | 148.5 | 139.4 | 143.0 |
| 8 | [−ln(1 − α)]2/3 | 86.0 | 94.1 | 93.1 | 95.0 | 88.9 | 91.4 |
| 9 | [−ln(1 − α)]1/2 | 61.7 | 67.7 | 66.8 | 68.3 | 63.63 | 65.6 |
| 10 | α | 101.1 | 110.5 | 109.1 | 111.1 | 103.8 | 107.1 |
| 11 | 1 − (1 − α)1/2 | 116.6 | 127.4 | 126.0 | 128.5 | 120.8 | 123.9 |
| 12 | 1 − (1 − α)1/3 | 122.4 | 133.7 | 132.2 | 134.8 | 126.4 | 129.9 |
| 13 | α2 | 213.3 | 232.6 | 229.9 | 234.1 | 219.7 | 225.9 |
| 14 | α + (1 − α)ln(1 − α) | 232.7 | 253.7 | 251.0 | 255.7 | 240.2 | 246.7 |
| 15 | [1 − (1 − α)1/3]2 | 255.9 | 278.9 | 276.2 | 281.7 | 264.8 | 271.5 |
| 16 | 1 − 2α/3 − (1 − α)2/3 | 240.3 | 262.0 | 259.3 | 264.3 | 248.4 | 254.9 |
| 17 | [(1 + α)1/3 − 1]2 | 193.9 | 211.4 | 208.9 | 212.6 | 199.3 | 205.2 |
| 18 | 1 + 2α/3 − (1 + α)2/3 | 200.1 | 218.2 | 215.6 | 219.5 | 205.9 | 210.0 |
| 19 | [(1 + α)−1/3 − 1]2 | 175.8 | 191.8 | 189.3 | 192.5 | 180.4 | 186.0 |
| No. | g(α) | Masterplots | ln(g(α)) vs. lnβ | |||||
|---|---|---|---|---|---|---|---|---|
| 5 K/min | 20 K/min | 40 K/min | 60 K/min | 80 K/min | Slope | R2 | ||
| 1 | 1 − (1 − α)2/3 | 3.96 | 5.14 | 1.51 | 4.11 | 9.46 | 0.639 | 0.992 |
| 2 | 1 − (1 − α)1/4 | 1.54 | 2.78 | 1.24 | 2.29 | 4.25 | 0.717 | 0.995 |
| 3 | (1 − α)−1/2 − 1 | 11.64 | 0.19 | 0.61 | 0.04 | 1.13 | 0.877 | 0.995 |
| 4 | (1 − α)−1 − 1 | 102.66 | 4.37 | 0.18 | 2.61 | 17.48 | 0.999 | 0.992 |
| 5 | (1 − α)−2 − 1 | 1335.39 | 87.80 | 0.98 | 61.10 | 271.06 | 1.277 | 0.981 |
| 6 | α3/2 | 11.61 | 2.78 | 1.26 | 2.38 | 4.33 | 0.876 | 0.988 |
| 7 | −ln(1 − α) | 4.18 | 1.47 | 1.05 | 1.24 | 1.70 | 0.767 | 0.996 |
| 8 | [−ln(1 − α)]2/3 | 40.12 | 5.94 | 1.57 | 4.63 | 11.30 | 0.511 | 0.996 |
| 9 | [−ln(1 − α)]1/2 | 69.58 | 8.91 | 1.82 | 6.82 | 18.38 | 0.384 | 0.996 |
| 10 | α | 48.30 | 6.93 | 1.69 | 5.47 | 13.64 | 0.584 | 0.988 |
| 11 | 1 − (1 − α)1/2 | 23.50 | 4.19 | 1.41 | 3.39 | 7.32 | 0.669 | 0.994 |
| 12 | 1 − (1 − α)1/3 | 15.82 | 3.24 | 1.30 | 2.65 | 5.24 | 0.701 | 0.995 |
| 13 | α2 | 0.63 | 0.299 | 0.83 | 0.40 | 0.15 | 1.167 | 0.988 |
| 14 | α + (1 − α)ln(1 − α) | 21.53 | 0.31 | 0.50 | 0.17 | 2.78 | 1.274 | 0.992 |
| 15 | [1 − (1 − α)1/3]2 | 121.99 | 5.37 | 0.14 | 3.41 | 21.38 | 1.401 | 0.995 |
| 16 | 1 − 2α/3 − (1 − α)2/3 | 43.19 | 1.17 | 0.37 | 0.67 | 6.53 | 1.316 | 0.993 |
| 17 | [(1+α)1/3 − 1]2 | 2.92 | 1.44 | 1.08 | 1.35 | 1.75 | 1.059 | 0.984 |
| 18 | 1 + 2α/3 − (1+α)2/3 | 1 | 1 | 1 | 1 | 1 | 1.094 | 0.985 |
| 19 | [(1 + α)−1/3 − 1]2 | 13.17 | 3.00 | 1.30 | 2.58 | 4.84 | 0.959 | 0.979 |
Publisher’s Note: MDPI stays neutral with regard to jurisdictional claims in published maps and institutional affiliations. |
© 2020 by the authors. Licensee MDPI, Basel, Switzerland. This article is an open access article distributed under the terms and conditions of the Creative Commons Attribution (CC BY) license (http://creativecommons.org/licenses/by/4.0/).
Share and Cite
Li, A.; Zhang, W.; Zhang, J.; Ding, Y.; Zhou, R. Pyrolysis Kinetic Properties of Thermal Insulation Waste Extruded Polystyrene by Multiple Thermal Analysis Methods. Materials 2020, 13, 5595. https://doi.org/10.3390/ma13245595
Li A, Zhang W, Zhang J, Ding Y, Zhou R. Pyrolysis Kinetic Properties of Thermal Insulation Waste Extruded Polystyrene by Multiple Thermal Analysis Methods. Materials. 2020; 13(24):5595. https://doi.org/10.3390/ma13245595
Chicago/Turabian StyleLi, Ang, Wenlong Zhang, Juan Zhang, Yanming Ding, and Ru Zhou. 2020. "Pyrolysis Kinetic Properties of Thermal Insulation Waste Extruded Polystyrene by Multiple Thermal Analysis Methods" Materials 13, no. 24: 5595. https://doi.org/10.3390/ma13245595
APA StyleLi, A., Zhang, W., Zhang, J., Ding, Y., & Zhou, R. (2020). Pyrolysis Kinetic Properties of Thermal Insulation Waste Extruded Polystyrene by Multiple Thermal Analysis Methods. Materials, 13(24), 5595. https://doi.org/10.3390/ma13245595

