The Effect of Particle Shell on Cooling Rates in Oil-in-Oil Magnetic Pickering Emulsions
Abstract
1. Introduction
2. Materials and Methods
2.1. Particles and Oils
2.2. Ultrasound and the Electric Field in the Formation of Magnetic Pre-emulsions and Emulsions
2.3. Idea of the Experiment
2.4. Calorimetric Measurements under an AC Magnetic Field
3. Results
3.1. Temperature Increase and Decrease in Pre-Emulsions and Stable Emulsions under an AC Magnetic Field
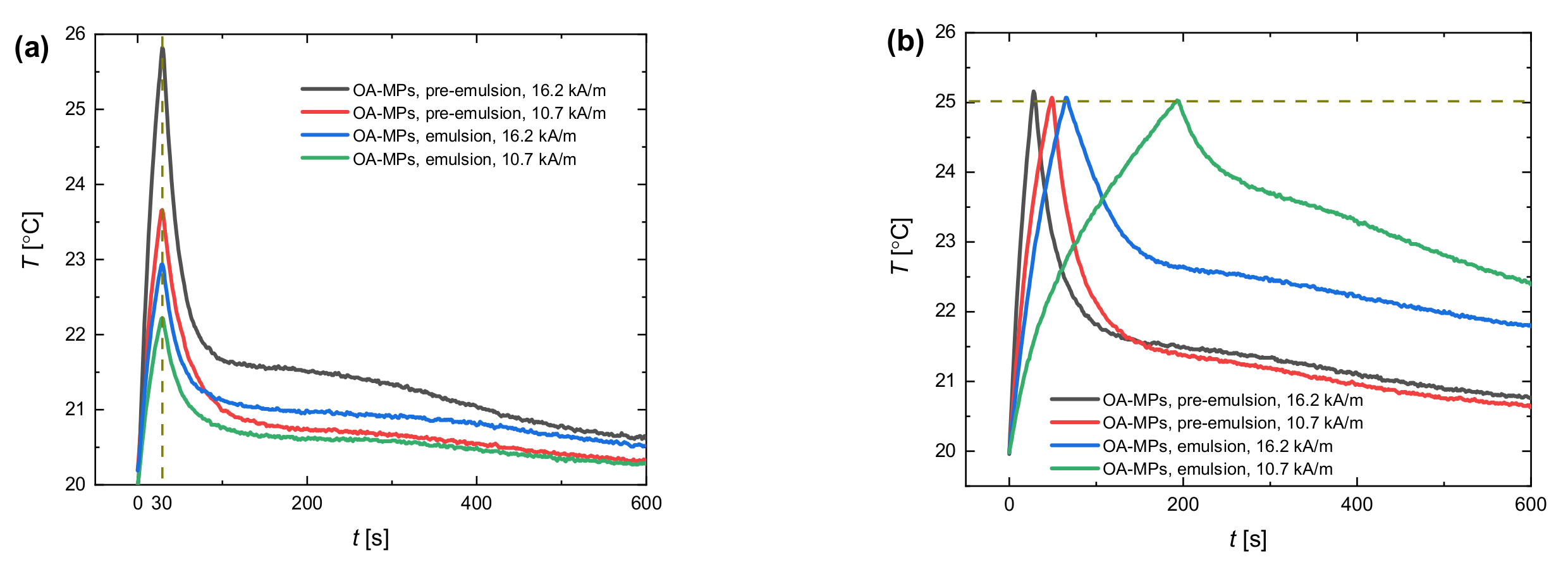
3.2. Cooling Process for Constant Time of Magnetic Heating
3.3. Cooling Process for Constant Maximum Temperature
4. Discussion
5. Conclusions
Author Contributions
Funding
Acknowledgments
Conflicts of Interest
References
- Feng, X.; Sun, Y.; Yang, Y.; Zhou, X.; Cen, K.; Yu, C.; Xu, T.; Tang, X. Zein nanoparticle stabilized Pickering emulsion enriched with cinnamon oil and its effects on pound cakes. LWT 2020, 122, 109025. [Google Scholar] [CrossRef]
- Skelhon, T.S.; Grossiord, N.; Morgan, A.R.; Bon, S.A. Quiescent water-in-oil Pickering emulsions as a route toward healthier fruit juice infused chocolate confectionary. J. Mater. Chem. 2012, 22, 19289–19295. [Google Scholar] [CrossRef]
- AfzaliTabar, M.; Alaei, M.; Bazmi, M.; Khojasteh, R.R.; Koolivand-Salooki, M.; Motiee, F.; Rashidi, A. Facile and economical preparation method of nanoporous graphene/silica nanohybrid and evaluation of its Pickering emulsion properties for Chemical Enhanced oil Recovery (C-EOR). Fuel 2017, 206, 453–466. [Google Scholar] [CrossRef]
- Lee, J.; Babadagli, T. Optimal design of pickering emulsions for heavy-oil recovery improvement. J. Dispers. Sci. Tech. 2019, 1–15. [Google Scholar] [CrossRef]
- Jiang, J.; Cao, J.; Wang, W.; Shen, H. Preparation of a synergistically stabilized oil-in-water paraffin Pickering emulsion for potential application in wood treatment. Holzforschung 2018, 72, 489–497. [Google Scholar] [CrossRef]
- Marto, J.; Ascenso, A.; Gonçalves, L.M.; Gouveia, L.F.; Manteigas, P.; Pinto, P.; Oliveira, E.; Almeida, A.J.; Ribeiro, H.M. Melatonin-based pickering emulsion for skin’s photoprotection. Drug Deliv. 2016, 23, 1594–1607. [Google Scholar] [CrossRef]
- Deschamps, F.; Harris, K.R.; Moine, L.; Li, W.; Tselikas, L.; Isoardo, T.; Lewandowski, R.J.; Paci, A.; Huang, N.; de Baere, T. Pickering-emulsion for liver trans-arterial chemo-embolization with oxaliplatin. Cardiovasc. Interv. Radiol. 2018, 41, 781–788. [Google Scholar] [CrossRef]
- Low, L.E.; Tan, L.T.-H.; Goh, B.-H.; Tey, B.T.; Ong, B.H.; Tang, S.Y. Magnetic cellulose nanocrystal stabilized Pickering emulsions for enhanced bioactive release and human colon cancer therapy. Int. J. Biol. Macromol. 2019, 127, 76–84. [Google Scholar] [CrossRef]
- Rosensweig, R.E. Heating magnetic fluid with alternating magnetic field. J. Magn. Magn. Mater. 2002, 252, 370–374. [Google Scholar] [CrossRef]
- Kaczmarek, K.; Hornowski, T.; Antal, I.; Rajnak, M.; Timko, M.; Józefczak, A. Sono-magnetic heating in tumor phantom. J. Magn. Magn. Mater. 2020, 500, 166396. [Google Scholar] [CrossRef]
- Skumiel, A.; Kaczmarek, K.; Flak, D.; Rajnak, M.; Antal, I.; Brząkała, H. The influence of magnetic nanoparticle concentration with dextran polymers in agar gel on heating efficiency in magnetic hyperthermia. J. Mol. Liq. 2020, 304, 112734. [Google Scholar] [CrossRef]
- Martínez-Prieto, L.M.; Marbaix, J.; Asensio, J.M.; Cerezo-Navarrete, C.; Fazzini, P.-F.; Soulantica, K.; Chaudret, B.; Corma, A. Ultrastable Magnetic Nanoparticles Encapsulated in Carbon for Magnetically Induced Catalysis. ACS Appl. Nano Mater. 2020, 3, 7076–7087. [Google Scholar] [CrossRef]
- Binks, B.P.; Tyowua, A.T. Oil-in-oil emulsions stabilised solely by solid particles. Soft Matter 2016, 12, 876–887. [Google Scholar] [CrossRef] [PubMed]
- Rajnak, M.; Timko, M.; Kopcansky, P.; Paulovicova, K.; Kuchta, J.; Franko, M.; Kurimsky, J.; Dolnik, B.; Cimbala, R. Transformer oil-based magnetic nanofluid with high dielectric losses tested for cooling of a model transformer. IEEE Trans. Dielectr. Electr. Insul. 2019, 26, 1343–1349. [Google Scholar] [CrossRef]
- Rozynek, Z.; Bielas, R.; Józefczak, A. Efficient formation of oil-in-oil Pickering emulsions with narrow size distributions by using electric fields. Soft Matter 2018, 14, 5140–5149. [Google Scholar] [CrossRef] [PubMed]
- Davidzon, M.I. Newton’s law of cooling and its interpretation. Int. J. Heat Mass Transf. 2012, 55, 5397–5402. [Google Scholar] [CrossRef]
- Luo, S.; Schiffbauer, J.; Luo, T. Effect of cooling on droplet size in supersaturation-induced emulsions. Phys. Chem. Chem. Phys. 2017, 19, 29855–29861. [Google Scholar] [CrossRef]
- Wildeboer, R.; Southern, P.; Pankhurst, Q. On the reliable measurement of specific absorption rates and intrinsic loss parameters in magnetic hyperthermia materials. J. Phys. D Appl. Phys. 2014, 47, 495003. [Google Scholar] [CrossRef]
- Lahiri, B.; Ranoo, S.; Philip, J. Uncertainties in the estimation of specific absorption rate during radiofrequency alternating magnetic field induced non-adiabatic heating of ferrofluids. J. Phys. D Appl. Phys. 2017, 50, 455005. [Google Scholar] [CrossRef]
- Bielas, R.; Hornowski, T.; Paulovičová, K.; Rajňák, M.; Józefczak, A. The effect of magnetic particles covering the droplets on the heating rate of Pickering emulsions in the AC magnetic field. J. Mol. Liq. 2020, 320, 114388. [Google Scholar] [CrossRef]
- Grosu, Y.; Faik, A.; Ortega-Fernández, I.; D’Aguanno, B. Natural Magnetite for thermal energy storage: Excellent thermophysical properties, reversible latent heat transition and controlled thermal conductivity. Sol. Energy Mater. Sol. Cells 2017, 161, 170–176. [Google Scholar] [CrossRef]
- Vinogradov, A.N. Physicochemical and Acoustic Properties of Water-Based Magnetic Colloid. Coll. J. 2004, 66, 29–37. [Google Scholar] [CrossRef]
- Bielas, R.; Rozynek, Z.; Hornowski, T.; Józefczak, A. Ultrasound control of oil-in-oil Pickering emulsions preparation. J. Phys. D Appl. Phys. 2020, 53, 085301. [Google Scholar] [CrossRef]
- Teran, F.J.; Casado, C.; Mikuszeit, N.; Salas, G.; Bollero, A.; Morales, M.P.; Camarero, J.; Miranda, R. Accurate determination of the specific absorption rate in superparamagnetic nanoparticles under non-adiabatic conditions. Appl. Phys. Lett. 2012, 101, 062413. [Google Scholar] [CrossRef]
- Chiu-Lam, A.; Rinaldi, C. Nanoscale Thermal Phenomena in the Vicinity of Magnetic Nanoparticles in Alternating Magnetic Fields. Adv. Funct. Mater. 2016, 26, 3933–3941. [Google Scholar] [CrossRef] [PubMed]
- Faure, S.; Mille, N.; Kale, S.; Asensio, J.M.; Marbaix, J.; Farger, P.; Stoian, D.; van Beek, W.; Fazzini, P.-F.; Soulantica, K.; et al. Internal Temperature Measurements by X-ray Diffraction on Magnetic Nanoparticles Heated by a High-Frequency Magnetic Field. J. Phys. Chem. C 2020, 124, 22259–22265. [Google Scholar] [CrossRef]
- Zia, A.; Pentzer, E.; Thickett, S.; Kempe, K. Advances and Opportunities of Oil-in-Oil Emulsions. ACS Appl. Mater. Inter. 2020, 12, 38845–38861. [Google Scholar] [CrossRef]






| Castor Oil | Silicone Oil | Magnetite Particles | |
|---|---|---|---|
| Dynamic viscosity [mPa·s] | 700 | 50 | - |
| Thermal conductivity [W/m·K] | 0.18 | 0.15 | 5.0 [21] |
| Specific heat [J/kg·K] | 1800 | 1460 | 950 (OA-MPs, calculated 1) 650 (pristine MPs, [22]) |
| Magnetization saturation [emu/g] | - | - | 63.67 (OA-MPs, measured, [20]) 89.46 (nMPs, measured, [20]) 85.06 (µMPs, measured, [20]) |
Publisher’s Note: MDPI stays neutral with regard to jurisdictional claims in published maps and institutional affiliations. |
© 2020 by the authors. Licensee MDPI, Basel, Switzerland. This article is an open access article distributed under the terms and conditions of the Creative Commons Attribution (CC BY) license (http://creativecommons.org/licenses/by/4.0/).
Share and Cite
Bielas, R.; Józefczak, A. The Effect of Particle Shell on Cooling Rates in Oil-in-Oil Magnetic Pickering Emulsions. Materials 2020, 13, 4783. https://doi.org/10.3390/ma13214783
Bielas R, Józefczak A. The Effect of Particle Shell on Cooling Rates in Oil-in-Oil Magnetic Pickering Emulsions. Materials. 2020; 13(21):4783. https://doi.org/10.3390/ma13214783
Chicago/Turabian StyleBielas, Rafał, and Arkadiusz Józefczak. 2020. "The Effect of Particle Shell on Cooling Rates in Oil-in-Oil Magnetic Pickering Emulsions" Materials 13, no. 21: 4783. https://doi.org/10.3390/ma13214783
APA StyleBielas, R., & Józefczak, A. (2020). The Effect of Particle Shell on Cooling Rates in Oil-in-Oil Magnetic Pickering Emulsions. Materials, 13(21), 4783. https://doi.org/10.3390/ma13214783
