A Study on the Influence of the Chemical Nature of Fillers on Rheological and Fatigue Behavior of Bitumen Emulsion Mastic
Abstract
1. Introduction
2. Materials and Methods
2.1. Basic Materials
2.2. Mastic Preparation
2.3. Experimental Program
2.3.1. Strain Sweep (SS) Test
2.3.2. Frequency–Temperature Sweep (FTS) Test
2.3.3. Time Sweep (TS) Test
2.3.4. Linear Amplitude Sweep (LAS) Test
2.3.5. Chemical Reactivity of Filler-Bitumen Emulsion
3. Results and Discussion
3.1. Chemical Reactivity Analysis of Filler-Bitumen Emulsion
3.2. Mastic Rheological Performance
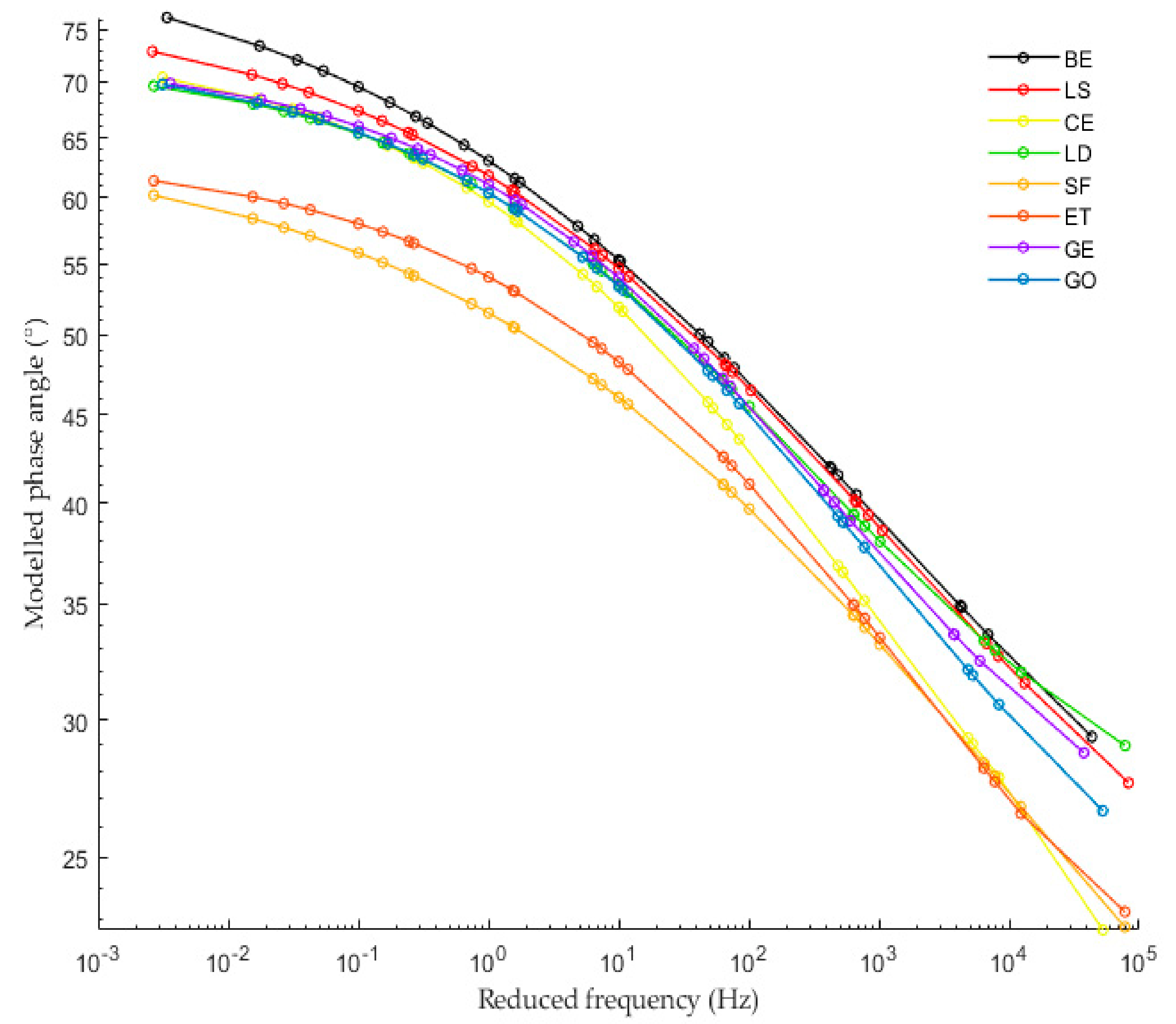
Master Curves
3.3. Fatigue Performance
3.3.1. Time Sweep Test
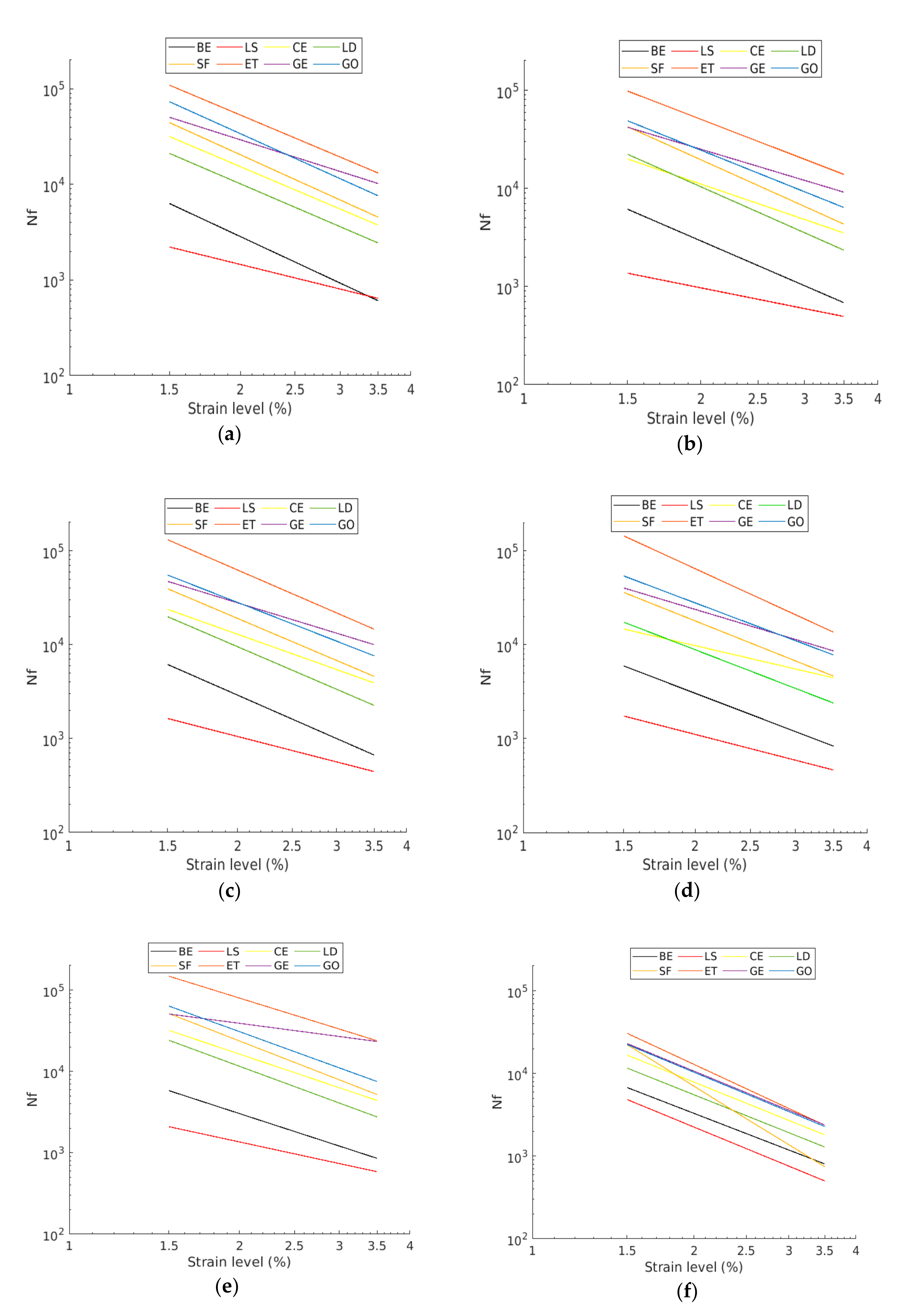
3.3.2. LAS Results Analysis
3.3.3. Fatigue Results Comparison
3.4. Physicochemical Interaction of CBE Mastic
4. Conclusions
- The chemical analysis was effectively used to identify the filler alkalinity and affinity to bitumen emulsion. It was found that the pH level was dependent on specific oxides content (i.e., CaO and SiO2). This observation can be employed with filler physical properties to estimate the filler influence on mastic rheological and fatigue characteristics.
- Low filler reactivity (i.e., LS) maintained the viscoelastic behavior because of added inert solid particles to the system, but the fatigue life was reduced due to fragile behavior.
- The fatigue resistance of the CBE binder was enhanced significantly by incorporating active fillers. However, fillers with high reactivity, such as CE filler, exhibited stiffer behavior at low temperature (high frequencies), which illustrated why the CE mastic had low fatigue crack resistance.
- Ettringite based binder (calcium sulfoaluminate binder) provided a mastic matrix with a dense crystalline network, which increased the complex modulus and decreased the phase angle at low and moderate frequencies. The obtained reinforcement interrupted the crack initiation, causing a significant improvement in fatigue crack resistance.
- Both TS and LAS tests were successfully applied to the CBE mastic and gave comparable results. The expected fatigue lives with time sweep tests were generally longer than that of the LAS predictions. However, both testing procedures showed the same outcomes regarding filler impact (similar overall ranking).
Author Contributions
Funding
Conflicts of Interest
References
- Giani, M.I.; Dotelli, G.; Brandini, N.; Zampori, L. Comparative life cycle assessment of asphalt pavements using reclaimed asphalt, warm mix technology and cold in-place recycling. Resour. Conserv. Recycl. 2015, 104, 224–238. [Google Scholar] [CrossRef]
- Turk, J.; Mauko Pranjić, A.; Mladenovič, A.; Cotič, Z.; Jurjavčič, P. Environmental comparison of two alternative road pavement rehabilitation techniques: Cold-in-place-recycling versus traditional reconstruction. J. Clean. Prod. 2016, 121, 45–55. [Google Scholar] [CrossRef]
- Lesueur, D.; Teixeira, A.; Lázaro, M.M.; Andaluz, D.; Ruiz, A. A simple test method in order to assess the effect of mineral fillers on bitumen ageing. Constr. Build. Mater. 2016, 117, 182–189. [Google Scholar] [CrossRef]
- Yan, K.Z.; Bin Xu, H.; Zhang, H.L. Effect of mineral filler on properties of warm asphalt mastic containing Sasobit. Constr. Build. Mater. 2013, 48, 622–627. [Google Scholar] [CrossRef]
- Al-Mohammedawi, A.; Mollenhauer, K. Viscoelastic Response of Bitumen Emulsion Mastic with Various Active Fillers. In Proceedings of the 9th International Conference on Maintenance and Rehabilitation of Pavements and Technological Control, MAIERAPAV9, Dubendorf, Switzerland, 1–3 July 2020; Springer: Basel, Switzerland, 2020; Volume 76. 985p. [Google Scholar]
- Buczyński, P.; Iwański, M. Inactive Mineral Filler as a Stiffness Modulus Regulator in Foamed Bitumen-Modified Recycled Base Layers. IOP Conf. Ser. Mater. Sci. Eng. 2017, 245, 032042. [Google Scholar] [CrossRef]
- Kakade, V.B.; Reddy, M.A.; Reddy, K.S. Rutting performance of hydrated lime modified bituminous mixes. Constr. Build. Mater. 2018, 186, 1–10. [Google Scholar] [CrossRef]
- Temuujin, J.; van Riessen, A.; Williams, R. Influence of calcium compounds on the mechanical properties of fly ash geopolymer pastes. J. Hazard. Mater. 2009, 167, 82–88. [Google Scholar] [CrossRef]
- Dutta, D.; Thokchom, S.; Ghosh, P.; Ghosh, S. Effect of silica fume additions on porosity of fly ash geopolymers. J. Eng. Appl. Sci. 2010, 5, 74–79. [Google Scholar]
- Steveson, M.; Sagoe-Crentsil, K. Relationships between composition, structure and strength of inorganic polymers. J. Mater. Sci. 2005, 40, 2023–2036. [Google Scholar] [CrossRef]
- Criado, M.; Aperador, W.; Sobrados, I. Microstructural and mechanical properties of alkali activated Colombian raw materials. Materials 2016, 9, 158. [Google Scholar] [CrossRef]
- Choi, S.C.; Lee, W.K. Effect of Fe2O3 on the physical property of geopolymer paste. Adv. Mater. Res. 2012, 586, 126–129. [Google Scholar] [CrossRef]
- Clopotel, C.; Velasquez, R.; Bahia, H. Measuring physico-chemical interaction in mastics using glass transition. Road Mater. Pavement Des. 2012, 13, 304–320. [Google Scholar] [CrossRef]
- Kim, M.; Buttlar, W.G. Stiffening mechanisms of asphalt-aggregate mixtures: From binder to mixture. Transp. Res. Rec. 2010, 2181, 98–108. [Google Scholar] [CrossRef]
- Underwood, B.S.; Kim, Y.R. Experimental investigation into the multiscale behaviour of asphalt concrete. Int. J. Pavement Eng. 2011, 12, 357–370. [Google Scholar] [CrossRef]
- Rigden, P.J. The use of fillers in bituminous road surfacings. A study of filler-binder systems in relation to filler characteristics. J. Soc. Chem. Ind. 1947, 66, 299–309. [Google Scholar] [CrossRef]
- Nikolaides, A.F. Bituminous Mixtures & Pavements VI. In Proceedings of the 6th International Conference on Bituminous Mixtures and Pavements, ICONFBMP 2015, Thessaloniki, Greece, 10–12 June 2015; Taylor & Francis: London, UK, 2015. [Google Scholar]
- Fang, X.; Garcia, A.; Lura, P. Overview on cold cement bitumen emulsion asphalt. RILEM Tech. Lett. 2016, 1, 116–121. [Google Scholar] [CrossRef]
- Dai, Q.; Sadd, M.H. Parametric Model Study of Microstructure Effects on Damage Behavior of Asphalt Samples. Int. J. Pavement Eng. 2004, 5, 19–30. [Google Scholar] [CrossRef]
- Anderson, D.A.; Goetz, W.H. Mechanical behavior and reinforcement of mineral filler-asphalt mixtures. J. Assoc. Asph. Paving Technol. 1973, 42, 37–66. [Google Scholar]
- Anderson, D.A.; Tarris, J.P.; Brock, J.D. Dust collector fines and their influence on mixture design. J. Assoc. Asph. Paving Technol. 1982, 51, 363–397. [Google Scholar]
- Kandhal, P.S. Evaluation of baghouse fines in bituminous paving mixtures (with discussion). Assoc. Asph. Paving Technol. Proc. 1981, 50, 150–210. [Google Scholar]
- Ziyani, L.; Gaudefroy, V.; Ferber, V.; Deneele, D.; Hammoum, F. Chemical reactivity of mineral aggregates in aqueous solution: Relationship with bitumen emulsion breaking. J. Mater. Sci. 2013, 49, 2465–2476. [Google Scholar] [CrossRef]
- Zizi, Z.; Oulahna, D.; Benhassaine, A.; Sainton, A.; Pelon, M. Emulsion—Fine siliceous solids’ system. The physical breaking of the emulsion. Bull. Lab. Ponts Chaussees 1997, 207, 5–12. [Google Scholar]
- Gaestel, C. The breaking mechanism of cationic bitumen emulsions. Chem. Ind. 1967, 6, 221–224. [Google Scholar]
- Luo, R.; Zhang, D.; Zeng, Z.; Lytton, R.L. Effect of surface tension on the measurement of surface energy components of asphalt binders using the Wilhelmy Plate Method. Constr. Build. Mater. 2015, 98, 900–909. [Google Scholar] [CrossRef]
- Al-Mohammedawi, A.; Mollenhauer, K. A Study on The Fatigue Behavior Of Bitumen Emulsion Mastic, Modified with Various Active Fillers. In Proceedings of the RILEM International Symposium on Bituminous Materials, 1st ed.; Di Benedetto, S., Baaj, H., Chailleux, H., Tebaldi, E., Sauzeat, G., Mangiafico, C., Eds.; Springer: Lyon, France, 2020; Available online: https://www.springer.com/gp/book/9783030464547 (accessed on 15 October 2020).
- Mazzoni, G.; Stimilli, A.; Cardone, F.; Canestrari, F. Fatigue, self-healing and thixotropy of bituminous mastics including aged modified bitumens and different filler contents. Constr. Build. Mater. 2017, 131, 496–502. [Google Scholar] [CrossRef]
- Marasteanu, M.; Ghosh, D.; Falchetto, A.C.; Turos, M. Testing protocol to obtain failure properties of asphalt binders at low temperature using creep compliance and stress-controlled strength test. Road Mater. Pavement Des. 2017, 18, 352–367. [Google Scholar] [CrossRef]
- Tayebali, A.A.; Rowe, G.M.; Sousa, J.B. Fatigue response of asphalt-aggregate mixtures. J. Assoc. Asph. Paving Technol. 1992, 61, 333–360. [Google Scholar]
- Pronk, A.C. Comparison of 2 and 4 point fatigue tests and healing in 4 point dynamic bending test based on the dissipated energy concept. In Proceedings of the 8th International Conference on Asphalt Pavements, Seattle, WA, USA, 10–14 August 1997. [Google Scholar]
- Rowe, G.M. Application of the Dissipated Energy Concept to Fatigue Cracking in Asphalt Pavements. Ph.D. Thesis, University of Notthingham, Notthingham, UK, 1996. [Google Scholar]
- Mitchell, D.; Witczak, M.; Mamlouk, M.; Kaloush, M.; Kaloush, K. Validation of Initial and Failure Stiffness Definitions in Flexure Fatigue Test for Hot Mix Asphalt. J. Test. Eval. 2007, 35, 95–102. [Google Scholar] [CrossRef]
- Kim, Y.R.; Little, D.N.; Lytton, R. Fatigue and Healing Characterization of Asphalt Mixtures. J. Mater. Civ. Eng. 2003, 15, 75–83. [Google Scholar] [CrossRef]
- Wen, H.; Bahia, H. Characterizing Fatigue of Asphalt Binders with Viscoelastic Continuum Damage Mechanics. Transp. Res. Rec. 2009, 2126, 55–62. [Google Scholar] [CrossRef]
- Nguyen, H.; Adesanya, E.; Ohenoja, K.; Kriskova, L.; Pontikes, Y.; Kinnunen, P.; Illikainen, M. Byproduct-based ettringite binder—A synergy between ladle slag and gypsum. Constr. Build. Mater. 2019, 197, 143–151. [Google Scholar] [CrossRef]
- Kim, Y.R. Modeling of Asphalt Concrete; ASCE Press: Reston, VA, USA, 2009. [Google Scholar]
- Papagiannakis, A.T.; Masad, E.A. Pavement Design and Materials; Wiley: Hoboken, NJ, USA, 2008. [Google Scholar]
- Rowe, G.M.; Bouldin, M.G. Improved Techniques to Evaluate the Fatigue Resistance of Asphaltic Mixtures. In Proceedings of the 2nd Eurasphalt Eurobitume Congress, Barcelona, Spain, 20–22 September 2000. [Google Scholar]
- Hintz, C.; Velasquez, R.; Johnson, C.; Bahia, H. Modification and validation of linear amplitude sweep test for binder fatigue specification. Transp. Res. Rec. 2011, 2207, 99–106. [Google Scholar] [CrossRef]
- Johnson, C. Estimating Asphalt Binder Fatigue Resistance Using an Accelerated Test Method. Ph.D. Thesis, University of Wisconsin, Madison, WI, USA, 2010. [Google Scholar]
- Johnson, C.; Bahia, H. Evaluation of an accelerated procedure for fatigue characterization of asphalt binders. Road Mater. Pavement Des. 2010. submitted for publication. [Google Scholar]
- Schapery, R.A. Correspondence principles and a generalized J integral for large deformation and fracture analysis of viscoelastic media. Int. J. Fract. 1984, 25, 195–223. [Google Scholar] [CrossRef]
- Bessa, I.; Vasconcelos, K.; Branco, V.T.F.C.; Bernucci, L.L.B. Fatigue resistance of asphalt binders and the correlation with asphalt mixture behaviour. Road Mater. Pavement Des. 2019, 20, S695–S709. [Google Scholar] [CrossRef]
- Liao, M.C.; Chen, J.S.; Tsou, K.W. Fatigue characteristics of bitumen-filler mastics and asphalt mixtures. J. Mater. Civ. Eng. 2012, 24, 916–923. [Google Scholar] [CrossRef]
- Little, D.N.; Petersen, J.C. Unique Effects of Hydrated Lime Filler on the Performance-Related Properties of Asphalt Cements: Physical and Chemical Interactions Revisited. J. Mater. Civ. Eng. 2005, 17, 207–218. [Google Scholar] [CrossRef]
- Mehta, P.K. Morphology of Calcium Sulfoaluminate Hydrates. J. Am. Ceram. Soc. 1969, 52, 521–522. [Google Scholar] [CrossRef]
- Quennoz, A. Hydration of C3A with Calcium Sulfate Alone and in the Presence of Calcium Silicate. EPFL 2011, 5035, 8–10. [Google Scholar]
- Sjoblom, J. Emulsions and Emulsion Stability: Surfactant Science Series/61, 2nd ed.; Taylor & Francis: Boca Raton, FL, USA, 2005. [Google Scholar]













| Filler | SiO2 | Al2O3 | CaO | SO3 | CaCO3 | Fe2O3 | Other Oxides (%) | Density (g/cm3) | 1 ∆ R&B (°C) |
| LS | 0.53 | 0.16 | 0 | 0.08 | 98.03 | 0.08 | 1.12 | 2.73 | 1 |
| CE | 20.86 | 4.97 | 64.74 | 3.30 | - | 3.86 | 2.27 | 3.14 | 2.5 |
| LD | 8.33 | 28.91 | 52.41 | 1.83 | - | 1.39 | 7.13 | 2.58 | 1 |
| SF | 97.57 | 0.06 | 0.71 | 0.12 | - | 0.06 | 1.48 | 2.27 | 3 |
| ET | 6.29 | 20.30 | 49.18 | 18.02 | - | 1.02 | 5.18 | 2.62 | 2 |
| GE | 31.29 | 25.30 | 29.22 | 1.02 | - | 6.27 | 6.91 | 2.46 | 2 |
| GO | 31.29 | 25.30 | 29.22 | 1.02 | - | 6.27 | 6.91 | 2.46 | 2 |
| Sample | Strain Level (%) | Fatigue Failure Criteria | |||||
|---|---|---|---|---|---|---|---|
| RDEC | G50% | DER | DPA | ESR | LAS | ||
| 1.5 | 5930 | 6325 | 6151 | 6142 | 5805 | 6766 | |
| BE | 2.5 | 1810 | 1540 | 1612 | 1636 | 1827 | 1875 |
| 3.5 | 828 | 608 | 668 | 684 | 853 | 805 | |
| 1.5 | 1738 | 2219 | 1634 | 1369 | 2093 | 4843 | |
| LS | 2.5 | 781 | 1052 | 746 | 742 | 970 | 1234 |
| 3.5 | 462 | 643 | 445 | 496 | 585 | 501 | |
| 1.5 | 14,661 | 31,745 | 23,768 | 19,978 | 31,967 | 16,704 | |
| CE | 2.5 | 7124 | 8767 | 8007 | 7011 | 9658 | 4368 |
| 3.5 | 4428 | 3756 | 3910 | 3517 | 4391 | 1806 | |
| 1.5 | 17,347 | 21,148 | 19,847 | 22,298 | 24,098 | 11,636 | |
| LD | 2.5 | 5239 | 5757 | 5346 | 5739 | 6517 | 3087 |
| 3.5 | 2381 | 2444 | 2253 | 2347 | 2754 | 1288 | |
| 1.5 | 36,011 | 44,432 | 39,389 | 42,515 | 51,422 | 22,413 | |
| SF | 2.5 | 10,434 | 11,244 | 10,778 | 10,721 | 12,900 | 2837 |
| 3.5 | 4614 | 4548 | 4590 | 4326 | 5188 | 745 | |
| 1.5 | 143,888 | 109,384 | 131,017 | 98,243 | 147,797 | 30,629 | |
| ET | 2.5 | 34,599 | 30,549 | 34,893 | 30,203 | 49,106 | 6544 |
| 3.5 | 13,532 | 13,186 | 14,597 | 13,888 | 23,765 | 2368 | |
| 1.5 | 40,124 | 50,493 | 47,179 | 42,030 | 50,728 | 23,042 | |
| GE | 2.5 | 15,811 | 19,287 | 18,497 | 16,767 | 31,739 | 5857 |
| 3.5 | 8562 | 10,232 | 9983 | 9153 | 23,305 | 2377 | |
| 1.5 | 53,856 | 73,435 | 55,072 | 48,932 | 63,505 | 22,439 | |
| GO | 2.5 | 16,719 | 18,736 | 16,673 | 14,331 | 17,502 | 5651 |
| 3.5 | 7737 | 7620 | 7590 | 6382 | 7489 | 2278 | |
| Sample | Complex Shear Modulus (Pa) | Phase Angle (°) | Nf (G50%) |
|---|---|---|---|
| BE | 3.48 × 106 | 57 | 1.54 × 103 |
| LS | 2.78 × 106 | 55 | 1.05 × 103 |
| CE | 9.73 × 106 | 54 | 8.77 × 103 |
| LD | 3.37 × 106 | 59 | 1.87 × 104 |
| SF | 6.52 × 106 | 48 | 1.12 × 104 |
| ET | 1.04 × 107 | 49 | 3.05 × 104 |
| GE | 4.00 × 106 | 56 | 1.93 × 104 |
| GO | 6.00 × 106 | 55 | 5.76 × 103 |
Publisher’s Note: MDPI stays neutral with regard to jurisdictional claims in published maps and institutional affiliations. |
© 2020 by the authors. Licensee MDPI, Basel, Switzerland. This article is an open access article distributed under the terms and conditions of the Creative Commons Attribution (CC BY) license (http://creativecommons.org/licenses/by/4.0/).
Share and Cite
Al-Mohammedawi, A.; Mollenhauer, K. A Study on the Influence of the Chemical Nature of Fillers on Rheological and Fatigue Behavior of Bitumen Emulsion Mastic. Materials 2020, 13, 4627. https://doi.org/10.3390/ma13204627
Al-Mohammedawi A, Mollenhauer K. A Study on the Influence of the Chemical Nature of Fillers on Rheological and Fatigue Behavior of Bitumen Emulsion Mastic. Materials. 2020; 13(20):4627. https://doi.org/10.3390/ma13204627
Chicago/Turabian StyleAl-Mohammedawi, Ahmed, and Konrad Mollenhauer. 2020. "A Study on the Influence of the Chemical Nature of Fillers on Rheological and Fatigue Behavior of Bitumen Emulsion Mastic" Materials 13, no. 20: 4627. https://doi.org/10.3390/ma13204627
APA StyleAl-Mohammedawi, A., & Mollenhauer, K. (2020). A Study on the Influence of the Chemical Nature of Fillers on Rheological and Fatigue Behavior of Bitumen Emulsion Mastic. Materials, 13(20), 4627. https://doi.org/10.3390/ma13204627

