Damage Propagation Analysis in the Single Lap Shear and Single Lap Shear-Riveted CFRP Joints by Acoustic Emission and Pattern Recognition Approach
Abstract
1. Introduction
Research Significance
2. Materials and Methods
2.1. Materials
2.2. Testing Methods
2.3. Acoustic Emission Setup
2.4. Acoustic Emission Descriptors
2.5. Data Clustering Using k-means++ Pattern Recognition
- Step. 1
- Select a random point from the input dataset X. This random datapoint is considered as the first centroid (c1).
- Step. 2
- Compute the distance of all the datapoints from the centroid c1. The distance between the centroid cj and each datapoint m is stored as d(xm,cj).
- Step. 3
- The next centroid is selected with the following probability in random from the dataset X.
- Step. 4
- Choose center j by computing the distance between each datapoint of each dataset and the respective centroid.
- Step. 5
- Assign each datapoint to the closest centroid.
- Step. 6
- Repeat Steps 4 and 5 until all centroids k are chosen.
- Step. 7
- Calculate datapoint to cluster centroid distance for all the datapoints with respect to their assigned centroid.
- Step. 8
- Calculate the average of the datapoints in each cluster to obtain new (or optimal) centroid locations.
- Step. 9
- Repeat Steps 7 and 8 until the cluster assignments do not change (or the maximum number of iterations is reached).
3. Results and Discussions
3.1. Mechanical Test Results
3.2. Acoustic Emission Results
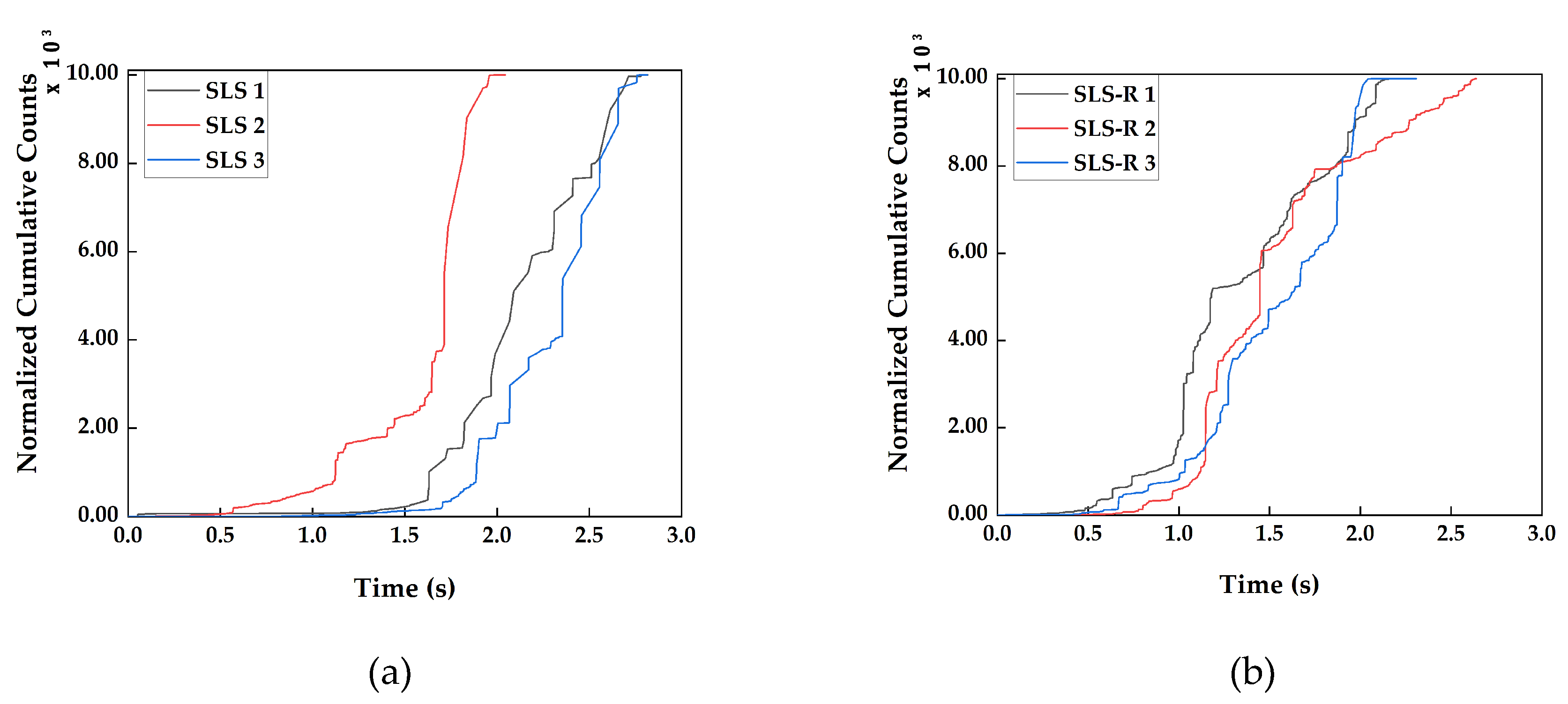
3.2.1. Cumulative Counts
3.2.2. Cumulative Energy
3.2.3. Peak Amplitude Distribution
3.2.4. Energy per Count
4. Conclusions
Author Contributions
Funding
Conflicts of Interest
References
- Ireman, T.; Nyman, T.; Hellbom, K. On design methods for bolted joints in composite aircraft structures. Compos. Struct. 1993, 25, 567–578. [Google Scholar] [CrossRef]
- Khudhayer, J.J.; Othman, A.R. Fiber reinforced composite structure with bolted joint—A review. Key Eng. Mater. 2011, 471–472, 939–944. [Google Scholar]
- Hart-Smith, L.J. Bolted and bonded joints. ASM Handb. 1998, 21, 167–176. [Google Scholar]
- Soykok, I.F. End geometry and pin-hole effects on axially loaded adhesively bonded composite joints. Compos. Part B Eng. 2015, 77, 129–138. [Google Scholar] [CrossRef]
- Chowdhury, N.M.; Chiu, W.K.; Wang, J.; Chang, P. Static and fatigue testing thin riveted, bonded & hybrid carbon fiber double lap joints used in aircraft structures. Compos. Struct. 2015, 121, 315–323. [Google Scholar]
- Chowdhury, N.M.; Chiu, W.K.; Wang, J.; Chang, P. Experimental and finite element studies of thin bonded and hybrid carbon fibre double lap joints used in aircraft structures. Compos. Part B Eng. 2016, 85, 233–242. [Google Scholar] [CrossRef]
- Hart-Smith, L.J. Bonded-bolted composite joints. J. Aircr. 1985, 22, 993–1000. [Google Scholar] [CrossRef]
- Grosse, C. Introduction. In Acoustic Emission Testing; Grosse, C., Ohtsu, M., Eds.; Springer: Berlin, Heidelberg, 2008; Volume 333, p. 334. [Google Scholar]
- Balázs, G.L.; Grosse, C.; Koch, R.; Reinhardt, H.W. Damage accumulation on deformed steel bar to concrete 335 interaction detected by acoustic emission technique. Mag. Concr. Res. 1996, 48, 311–320. [Google Scholar] [CrossRef]
- Grosse, C.; Linzer, L. Signal-based AE analysis. In Acoustic Emission Testing; Grosse, C., Ohtsu, M., Eds.; Springer: Berlin/Heidelberg, Germany, 2008; Volume 337. [Google Scholar]
- Cheng, Y.; Diao, S.; Hanif, A.; Parthasarathy, P.; Li, Z. Development and application of a novel low-cost capacitive sensor for accurate rebar position detection. Constr. Build. Mater. 2020, 257, 119506. [Google Scholar] [CrossRef]
- Chang, Y.; Gao, F.; Hanif, A.; Lu, Z.; Li, Z. Development of a capacitive sensor for concrete structure health monitoring. Constr. Build. Mater. 2017, 149, 659–668. [Google Scholar] [CrossRef]
- Barile, C.; Casavola, C.; Pappalettera, G.; Pappalettere, C. Hybrid thermography and acoustic emissions testing of fatigue crack propagation in Aluminum Samples. In Conference Proceedings of the Society for Experimental Mechanics Series; Springer: Cham, Switzerland, 2015. [Google Scholar]
- Barile, C.; Casavola, C.; Moramarco, V.; Pappalettere, C.; Vimalathithan, P.K. Bonding Characteristics of Single-Lap and Joggled-Lap CFRP Specimens: Mechanical and Acoustic Investigations. Appl. Sci. 2020, 10, 1782. [Google Scholar] [CrossRef]
- Liu, P.F.; Chu, J.K.; Liu, Y.L.; Zheng, J.Y. A study on the failure mechanisms of carbon fiber/epoxy 351 composite laminates using acoustic emission. Mater. Design 2012, 37, 228–235. [Google Scholar] [CrossRef]
- Saeedifar, M.; Zarouchas, D. Damage characterization of laminated composites using acoustic emission: A review. Compos. Part B Eng. 2020, 195, 108039. [Google Scholar] [CrossRef]
- Fotouhi, M.; Suwarta, P.; Jalalvand, M.; Czel, G.; Wisnom, M.R. Detection of fibre fracture and ply fragmentation in thin-ply UD carbon/glass hybrid laminates using acoustic emission. Compos. Part A Appl. Sci. 2016, 86, 66–76. [Google Scholar] [CrossRef]
- Barile, C.; Casavola, C.; Pappalettera, G.; Vimalathithan, P.K. Application of different acoustic emission descriptors in damage assessment of fiber reinforced plastics: A comprehensive review. Eng. Fract. Mech. 2020, 107083. [Google Scholar] [CrossRef]
- ASTM D5868-01(2014), Standard Test Method for Lap Shear Adhesion for Fiber Reinforced Plastic (FRP) 361 Bonding; ASTM International: West Conshohocken, PA, USA, 2014.
- Li, L.; Lomov, S.V.; Yan, X.; Carvelli, V. Cluster analysis of acoustic emission signals for 2D and 3D woven glass/epoxy composites. Compos. Struct. 2014, 116, 286–299. [Google Scholar] [CrossRef]
- Chandarana, N.; Sanchez, D.M.; Soutis, C.; Gresil, M. Early Damage Detection in Composites during Fabrication and Mechanical Testing. Materials 2017, 10, 685. [Google Scholar] [CrossRef]
- Barile, C.; Casavola, C.; Pappalettera, G.; Vimalathithan, P.K. Damage characterization in composite materials using acoustic emission signal-based and parameter-based data. Compos. Part B Eng. 2019, 178, 107469. [Google Scholar] [CrossRef]
- Hamstad, M.A. Frequencies and amplitudes of AE signals in a plate as a function of source rise time. In Proceedings of the 29th European Conference on Acoustic Emission Testing, Vienna, Austria, 8–10 September 2010; Available online: https://www.ndt.net/events/EWGAE%202010/proceedings/papers/20_Hamstad.pdf (accessed on 6 September 2020).
- Harris, D.O.; Bell, R.L. The measurement and significance of energy in acoustic-emission testing. Exp. Mech. 1977, 17, 347–353. [Google Scholar] [CrossRef]
- Oz, F.E.; Ersoy, N.; Lomov, S.V. Do high frequency acoustic emission events always represent fibre failure in CFRP laminates? Compos. Part A Appl. Sci. 2017, 103, 230–235. [Google Scholar] [CrossRef]
- Roundi, W.; El Mahi, A.; El Gharad, A.; Rebiere, J. Acoustic emission monitoring of damage progression in Glass/Epoxy composites during static and fatigue tensile tests. Appl. Acoust. 2018, 132, 124–134. [Google Scholar] [CrossRef]
- MathWork. Available online: https://uk.mathworks.com/help/stats/clustering.evaluation.daviesbouldinevaluation-class.html (accessed on 9 June 2020).
- Godin, N.; Huguet, S.; Gaertner, R.; Salmon, L. Clustering of acoustic emission signals collected during tensile tests on unidirectional glass/polyester composite using supervised and unsupervised classifiers. NDT E Int. 2004, 37, 253–264. [Google Scholar] [CrossRef]
- Fotouhi, M.; Sadeghi, S.; Jalalvand, M.; Ahmadi, M. Analysis of the damage mechanisms in mixed-mode delamination of laminated composites using acoustic emission data clustering. J. Thermoplast. Compos. 2017, 30, 318–340. [Google Scholar] [CrossRef]
- Tong, L.; Steven, G.P. Analysis and Design of Structural Bonded Joints; Kluwer Academic Publishers: New York, NY, USA, 1999. [Google Scholar]
- Duttaguru, B.; Everett, R.A., Jr.; Whitcomb, J.D.; Johnson, W.S. Geometrically Non Linear Analysis of Adhesively Bonded Joints. J. Eng. Mater. Technol. 1984, 106, 59–65. [Google Scholar] [CrossRef]
- Panigrahi, S.K.; Pradhan, B. Three Dimensional Failure Analysis and Damage Propagation Behavior of Adhesively Bonded Single Lap Joints in Laminated FRP Composites. J. Reinf. Plast. Comps. 2007, 26, 183–201. [Google Scholar] [CrossRef]
- Downs, K.S.; Hamstad, M.A. Acoustic emission from depressurization to detect/evaluate significance of impact damage to graphite/epoxy pressure vessels. J. Compos. Mater. 1998, 32, 258–306. [Google Scholar] [CrossRef]
- Barile, C.; Casavola, C.; Pappalettera, G.; Vimalathithan, P.K. Acoustic emission descriptors for the mechanical behavior of selective laser melted samples: An innovative approach. Mech. Mater. 2020, 148, 103448. [Google Scholar] [CrossRef]
- Botvina, L.R.; Tyutin, M.R. New acoustic parameter characterizing loading history effects. Eng. Fract. Mech. 2019, 210, 358–366. [Google Scholar] [CrossRef]
- Botvina, L.R.; Tyutin, M.R.; Petersen, T.B.; Levin, V.P.; Soldatenkov, A.P.; Prosvirnin, D.V. Residual Strength, Microhardness, and acoustic properties of low-carbon steel after cyclic loading. J. Mach. Manuf. Reliab. 2018, 47, 516–524. [Google Scholar] [CrossRef]
- Adams, R.D.; Mallik, V. A Method for the Stress Analysis of Lap Joints. J. Adhes. 1992, 38, 199–217. [Google Scholar] [CrossRef]
- Andruet, R.H.; Dillard, D.A.; Holzer, S.M. Two and Three Dimensional Geometrical Non Linear Finite Elements for Analysis of Adhesive Joints. Int. J. Adhes. Adhes. 2001, 21, 17–34. [Google Scholar] [CrossRef]
- Pitta, S.; de la Mora Carles, V.; Roure, F.; Crespo, D.; Rojas, J.I. On the static strength of aluminum and carbon fibre aircraft lap joint repairs. Compos. Struct. 2018, 201, 276–290. [Google Scholar] [CrossRef]











| AE Descriptors | Definition |
|---|---|
| Acoustic Event | A local material change or straining that gives rise to an acoustic emission |
| Amplitude | The largest voltage peak in the recorded AE waveform, which is customarily expressed in decibels relative to the 1 µV preamplifier input |
| Counts | The number of times AE signal crosses the detection threshold |
| Energy | The total elastic energy released by the acoustic event which is above the detection threshold |
| Upper Adherend | ||||
| Length lu (mm) | Width bu (mm) | Thickness hu (mm) | No. of Plies | Stacking Sequence |
| 101.6 ± 0.11 | 25.33 ± 0.12 | 1.3 ± 0.05 | 5 | +45/+45/+45/−45/+45 |
| Lower Adherend | ||||
| Length ll (mm) | Width bl (mm) | Thickness hl (mm) | No. of Plies | Stacking Sequence |
| 101.6 ± 0.09 | 25.33 ± 0.14 | 6.4 ± 0.12 | 26 | +45/[+45/−45]12/+45 |
| Overlapping Region | ||||
| Length lor (mm) | Width bor (mm) | Thickness hor (mm) | ||
| 26 ± 0.12 | 25.33 ± 0.25 | 8.5 ± 0.11 | ||
| Upper Adherend | ||||
| Length lu (mm) | Width bu (mm) | Thickness hu (mm) | No. of Plies | Stacking Sequence |
| 101.6 ± 0.09 | 25.34 ± 0.10 | 1.3 ± 0.07 | 5 | +45/+45/+45/−45/+45 |
| Lower Adherend | ||||
| Length ll (mm) | Width bl (mm) | Thickness hl (mm) | No. of Plies | Stacking Sequence |
| 101.6 ± 0.14 | 25.32 ± 0.16 | 6.4 ± 0.10 | 26 | +45/[+45/−45]12/+45 |
| Overlapping Region | ||||
| Length lor (mm) | Width bor (mm) | Thickness hor (mm) | ||
| 25.40 ± 0.06 | 23.32 ± 0.12 | 8.27 ± 0.08 | ||
© 2020 by the authors. Licensee MDPI, Basel, Switzerland. This article is an open access article distributed under the terms and conditions of the Creative Commons Attribution (CC BY) license (http://creativecommons.org/licenses/by/4.0/).
Share and Cite
Barile, C.; Casavola, C.; Pappalettera, G.; Vimalathithan, P.K. Damage Propagation Analysis in the Single Lap Shear and Single Lap Shear-Riveted CFRP Joints by Acoustic Emission and Pattern Recognition Approach. Materials 2020, 13, 3963. https://doi.org/10.3390/ma13183963
Barile C, Casavola C, Pappalettera G, Vimalathithan PK. Damage Propagation Analysis in the Single Lap Shear and Single Lap Shear-Riveted CFRP Joints by Acoustic Emission and Pattern Recognition Approach. Materials. 2020; 13(18):3963. https://doi.org/10.3390/ma13183963
Chicago/Turabian StyleBarile, Claudia, Caterina Casavola, Giovanni Pappalettera, and Paramsamy Kannan Vimalathithan. 2020. "Damage Propagation Analysis in the Single Lap Shear and Single Lap Shear-Riveted CFRP Joints by Acoustic Emission and Pattern Recognition Approach" Materials 13, no. 18: 3963. https://doi.org/10.3390/ma13183963
APA StyleBarile, C., Casavola, C., Pappalettera, G., & Vimalathithan, P. K. (2020). Damage Propagation Analysis in the Single Lap Shear and Single Lap Shear-Riveted CFRP Joints by Acoustic Emission and Pattern Recognition Approach. Materials, 13(18), 3963. https://doi.org/10.3390/ma13183963

