Long-Term Sorption and Solubility of Zirconia-Impregnated PMMA Nanocomposite in Water and Artificial Saliva
Abstract
1. Introduction
2. Materials and Experimental Method
2.1. Materials
2.2. Preparation of Specimens
2.3. Sorption and Solubility Test Procedures
2.4. Statistical Analysis
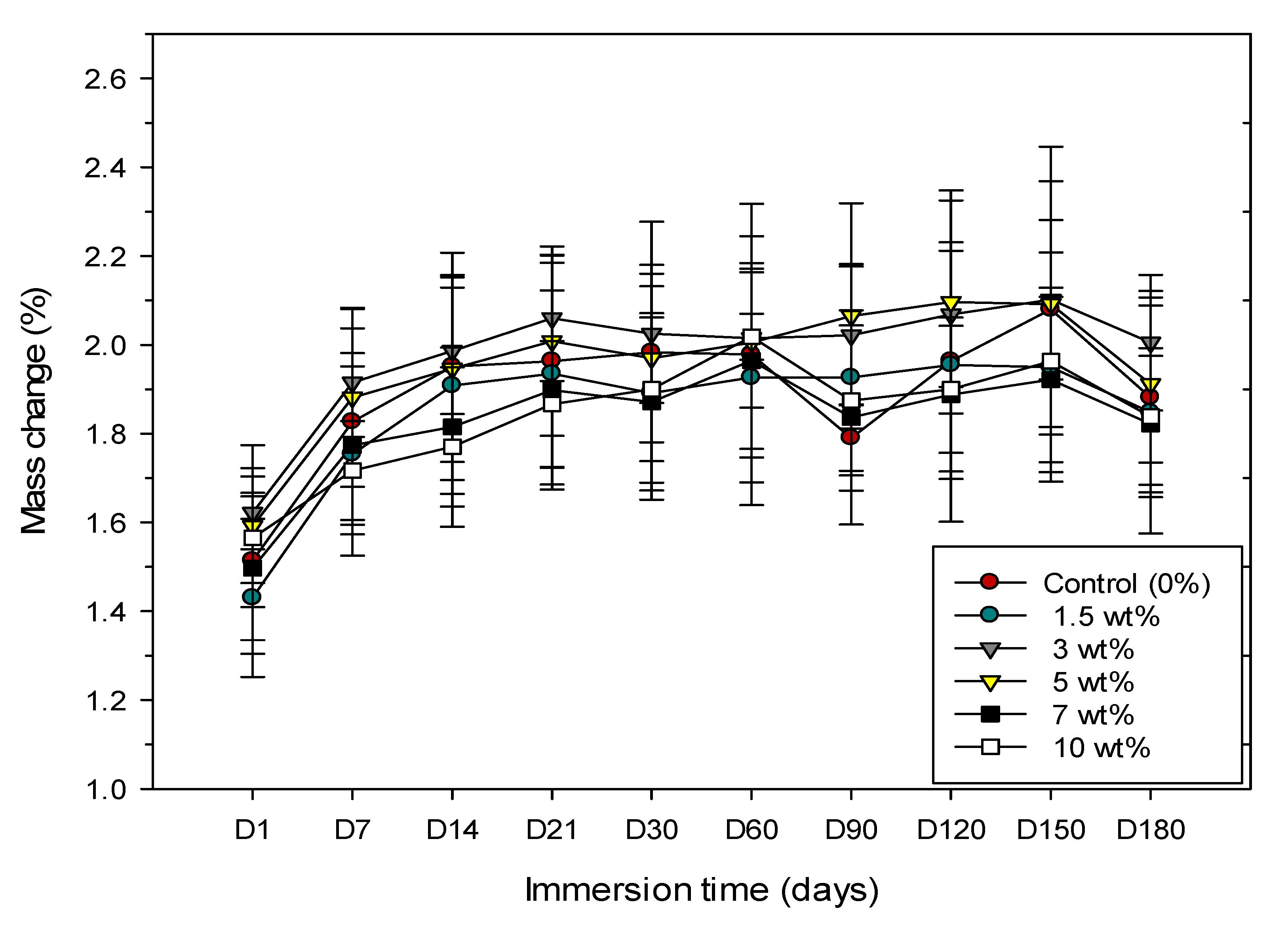
3. Results
4. Discussion
5. Clinical Implications
6. Conclusions
Author Contributions
Funding
Acknowledgments
Conflicts of Interest
Abbreviations
| PMMA | Polymethyl methacrylate |
| MMA | Methyl methacrylate |
| HI | High-impact heat-cured acrylic resin |
| SD | Standard deviation |
| SEM | Scanning electron microscope |
| AS | Artificial saliva |
| DW | Distilled water |
References
- Figuerôa, R.M.S.; Conterno, B.; Arrais, C.A.G.; Sugio, C.Y.C.; Urban, V.M.; Neppelenbroek, K.H. Porosity, water sorption and solubility of denture base acrylic resins polymerized conventionally or in microwave. J. Appl. Oral Sci. 2018, 23, 1–7. [Google Scholar] [CrossRef] [PubMed]
- Sasaki, H.; Hamanaka, I.; Takahashi, Y.; Kawaguchi, T. Effect of long-term water immersion or thermal shock on mechanical properties of high-impact acrylic denture base resins. Dent. Mater. J. 2016, 35, 204–209. [Google Scholar] [CrossRef] [PubMed]
- Rad, F.H.; Ghaffari, T.; Tamgaji, R. Evaluation of the color stability of methyl methacrylate and nylon base polymer. J. Dent. 2017, 18, 136–142. [Google Scholar]
- Tuna, S.H.; Keyf, F.; Gumus, H.O.; Uzun, C. The evaluation of water sorption/solubility on various acrylic resins. Eur. J. Dent. 2008, 2, 191–197. [Google Scholar] [CrossRef] [PubMed]
- Miettinen, V.M.; Vallittu, P.K. Water sorption and solubility of glass fiber-reinforced denture polymethyl methacrylate resin. J. Prosthet. Dent. 1996, 77, 531–534. [Google Scholar] [CrossRef]
- Polat, T.N.; Karacaer, Ö.; Tezvergil, A.; Lassila, L.V.; Vallittu, P.K. Water sorption, solubility and dimensional changes of denture base polymers reinforced with short glass fibers. J. Biomater. Appl. 2003, 17, 321–335. [Google Scholar] [CrossRef]
- Asar, N.V.; Albayrak, H.; Korkmaz, T.; Turkyilmaz, I. Influence of various metal oxides on mechanical and physical properties of heat-cured polymethyl methacrylate denture base resins. J. Adv. Prosthodont. 2013, 5, 241–247. [Google Scholar] [CrossRef]
- Alshali, R.Z.; Salim, N.A.; Satterthwaite, J.D.; Silikas, N. Long-term sorption and solubility of bulk-fill and conventional resin-composites in water and artificial saliva. J. Dent. 2015, 43, 1511–1518. [Google Scholar] [CrossRef]
- Zuo, W.; Feng, D.; Song, A.; Gong, H.; Zhu, S. Effects of organic-inorganic hybrid coating on the color stability of denture base resins. J. Prosthet. Dent. 2016, 115, 103–108. [Google Scholar] [CrossRef]
- Machado Cucci, A.L.; Vergani, C.E.; Giampaolo, E.T.; da Silveira Ferreira Afonso, M.C. Water sorption, solubility, and bond strength of two autopolymerizing acrylic resins and one heat-polymerizing acrylic resin. J. Prosthet. Dent. 1998, 80, 434–438. [Google Scholar] [CrossRef]
- Jang, D.-E.; Lee, J.-Y.; Jang, H.-S.; Lee, J.-J.; Son, M.-K. Color stability, water sorption and cytotoxicity of thermoplastic acrylic resin for non metal clasp denture. J. Adv. Prosthodont. 2015, 7, 278–287. [Google Scholar] [CrossRef] [PubMed]
- Standards, B. Dentistry-Base Polymers; BS EN ISO 20795-1; Biritish Standards Institution (BSI): London, UK, 2008; p. 36. [Google Scholar]
- Arikan, A.; Ozkan, Y.K.; Arda, T.; Akalin, B. An in vitro investigation of water sorption and solubility of two acetal denture base materials. Eur. J. Prosthodont. Restorat. Dent. 2005, 13, 119–122. [Google Scholar]
- Pfeiffer, P.; Rosenbauer, E.-U. Residual methyl methacrylate monomer, water sorption, and water solubility of hypoallergenic denture base materials. J. Prosthet. Dent. 2004, 92, 72–78. [Google Scholar] [CrossRef] [PubMed]
- Gad, M.M.; Abualsaud, R. Behavior of PMMA denture base materials containing titanium dioxide nanoparticles: A literature review. Int. J. Biomater. 2019, 2019, 1–14. [Google Scholar] [CrossRef] [PubMed]
- Zidan, S.; Silikas, N.; Alhotan, A.; Haider, J.; Yates, J. Investigating the mechanical properties of ZrO2-impregnated PMMA nanocomposite for denture–based applications. Materials 2019, 12, 1344. [Google Scholar] [CrossRef] [PubMed]
- Williams, J.A.; Billington, R.W.; Pearson, G.J. A long term study of fluoride release from metal-containing conventional and resin-modified glass–ionomer cements. J. Oral Rehabil. 2001, 28, 41–47. [Google Scholar] [CrossRef] [PubMed]
- Garcia, L.D.F.R.; Roselino, L.D.M.R.; Mundim, F.M.; Pires-de-Souza, F.D.C.P.; Consani, S. Influence of artificial accelerated aging on dimensional stability of acrylic resins submitted to different storage protocols. J. Prosthodont. Implant Esthet. Reconst. Dent. 2010, 19, 432–437. [Google Scholar] [CrossRef]
- Doǧan, A.; Bek, B.; Cevik, N.; Usanmaz, A. The effect of preparation conditions of acrylic denture base materials on the level of residual monomer, mechanical properties and water absorption. J. Dent. 1995, 23, 313–318. [Google Scholar] [CrossRef]
- Wong, D.M.; Cheng, L.Y.; Chow, T.; Clark, R.K. Effect of processing method on the dimensional accuracy and water sorption of acrylic resin dentures. J. Prosthet. Dent. 1999, 81, 300–304. [Google Scholar] [CrossRef]
- Santos, C.; Clarke, R.; Braden, M.; Guitian, F.; Davy, K. Water absorption characteristics of dental composites incorporating hydroxyapatite filler. Biomaterials 2002, 23, 1897–1904. [Google Scholar] [CrossRef]
- Khan, M.; Shaik, M.R.; Khan, S.T.; Adil, S.F.; Kuniyil, M.; Khan, M.; Al-Warthan, A.A.; Siddiqui, M.R.H.; Nawaz Tahir, M. Enhanced antimicrobial activity of biofunctionalized zirconia nanoparticles. ACS Omega 2020, 5, 1987–1996. [Google Scholar] [CrossRef] [PubMed]
- Siddiquey, I.A.; Furusawa, T.; Sato, M.; Bahadur, N.M.; Uddin, M.N.; Suzuki, N. A rapid method for the preparation of silica-coated ZrO2 nanoparticles by microwave irradiation. Ceram. Int. 2011, 37, 1755–1760. [Google Scholar] [CrossRef]
- Lüthy, H.; Loeffel, O.; Hammerle, C.H. Effect of thermocycling on bond strength of luting cements to zirconia ceramic. Dent. Mater. 2006, 22, 195–200. [Google Scholar] [CrossRef] [PubMed]
- Zidan, S.; Silikas, N.; Haider, J.; Alhotan, A.; Jahantigh, J.; Yates, J. Evaluation of Equivalent Flexural Strength for Complete Removable Dentures Made of Zirconia-Impregnated PMMA Nanocomposites. Materials 2020, 13, 2580. [Google Scholar] [CrossRef]
- Lung, C.Y.K.; Sarfraz, Z.; Habib, A.; Khan, A.S.; Matinlinna, J.P. Effect of silanization of hydroxyapatite fillers on physical and mechanical properties of a bis-GMA based resin composite. J. Mech. Behav. Biomed. Mater. 2016, 54, 283–294. [Google Scholar] [CrossRef]
- Al-Mulla, M.; Murphy, W.; Huggett, R.; Brooks, S. Effect of water and artificial saliva on mechanical properties of some denture-base materials. Dent. Mater. 1989, 5, 399–402. [Google Scholar] [CrossRef]
- Parker, S.; Riggs, P.D.; Braden, M.; Kalachandra, S.; Taylor, D.F. Water uptake of soft lining materials from osmotic solutions. J. Dent. 1997, 25, 297–304. [Google Scholar] [CrossRef]
- Jagger, R. Effect of the curing cycle on some properties of a polymethylmethacrylate denture base material. J. Oral Rehabil. 1978, 5, 151–157. [Google Scholar] [CrossRef]
- Alsharif, S.O.; Hazizan, M.A.; El-Aziz, N.A.A.; Ahmad, Z.A. Simulated body fluid sorption and solubility of silica reinforced dental resin composites. Adv. Mater. Res. 2013, 795, 626–630. [Google Scholar] [CrossRef]
- Ergun, G.; Sahin, Z.; Ataol, A.S. The effects of adding various ratios of zirconium oxide nanoparticles to poly (methyl methacrylate) on physical and mechanical properties. J. Oral. Sci. 2018, 60, 304–315. [Google Scholar] [CrossRef]
- Kundie, F.; Azhari, C.H.; Ahmad, Z.A. Effect of nano-and micro-alumina fillers on some properties of poly (methyl methacrylate) denture base composites. J. Serb. Chem. Soc. 2018, 83, 75–91. [Google Scholar] [CrossRef]
- Silva, E.M.; Almeida, G.S.; Poskus, L.T.; Guimarães, J.G.A. Relationship between the degree of conversion, solubility and salivary sorption of a hybrid and a nanofilled resin composite. J. Appl. Oral Sci. 2008, 16, 161–166. [Google Scholar] [CrossRef] [PubMed]





| Compound | Amount (g/L) | Manufacturer | CAS |
|---|---|---|---|
| Sodium chloride (NaCl) | 0.400 | Acros Organics | 7647-14-5 |
| Potassium chloride (KCl) | 0.400 | Fisher Chemical | 7447-40-7 |
| Calcium chloride (CaCl2) | 0.795 | Acros Organics | 10043-52-4 |
| Sodium dihydrogen phosphate (H2NaO4P) | 0.690 | Alfa Aesa | 7558-80-7 |
| Sodium sulphide hydrate (Na2SxH2O) | 0.005 | Acros Organics | 27610-45-3 |
| Experimental Group | Water Sorption (%) | Water Sorption (µg/mm3) | Water Solubility (%) | Water Solubility (µg/mm3) |
|---|---|---|---|---|
| Control 0% | 1.79 (0.07) a | 27.05 (4.55) a | 0.75 (0.52) a | 8.01 (5.48) a |
| 1.5% | 1.92 (0.25) a | 25.16 (2.00) a | 0.45 (0.43) a | 4.78 (4.57) a |
| 3% | 2.02 (0.15) a | 24.80 (1.29) a | 0.36 (0.25) a | 3.78 (2.64) a |
| 5% | 2.06 (0.25) a | 26.18 (2.68) a | 0.42 (0.18) a | 5.06 (0.60) a |
| 7% | 1.83 (0.24)a | 25.83 (2.51) a | 0.59 (0.04) a | 6.28 (0.46) a |
| 10% | 1.87 (0.16) a | 25.90 (2.69) a | 0.71 (0.25) a | 7.55 (2.71) a |
| Experimental Group. | Saliva Sorption (%) | Saliva Sorption (µg/mm3) | Saliva Solubility (%) | Saliva Solubility (µg/mm3) |
|---|---|---|---|---|
| Control 0% | 2.46 (0.14) a | 25.17 (2.12) a | −0.20 (0.07) a | −2.32 (0.89) a |
| 1.5% | 2.51 (0.08) a | 24.99 (1.13) a | −0.22 (0.02) a | −2.40 (0.28) a |
| 3% | 2.42 (0.14) a | 24.22 (1.72) a | −0.26 (0.07) a | −3.03 (0.95) a |
| 5% | 2.26 (0.19) a | 23.77 (1.68) a | −0.14 (0.04) a,b | −1.56 (0.46) a,b |
| 7% | 2.40 (0.16) a | 25.16 (1.76) a | −0.14 (0.03) a,b | −1.68 (0.36) a,b |
| 10% | 2.10 (0.10) a | 23.61 (1.20) a | −0.05 (0.03) b | −0.58 (0.46) b |
© 2020 by the authors. Licensee MDPI, Basel, Switzerland. This article is an open access article distributed under the terms and conditions of the Creative Commons Attribution (CC BY) license (http://creativecommons.org/licenses/by/4.0/).
Share and Cite
Zidan, S.; Silikas, N.; Haider, J.; Yates, J. Long-Term Sorption and Solubility of Zirconia-Impregnated PMMA Nanocomposite in Water and Artificial Saliva. Materials 2020, 13, 3732. https://doi.org/10.3390/ma13173732
Zidan S, Silikas N, Haider J, Yates J. Long-Term Sorption and Solubility of Zirconia-Impregnated PMMA Nanocomposite in Water and Artificial Saliva. Materials. 2020; 13(17):3732. https://doi.org/10.3390/ma13173732
Chicago/Turabian StyleZidan, Saleh, Nikolaos Silikas, Julfikar Haider, and Julian Yates. 2020. "Long-Term Sorption and Solubility of Zirconia-Impregnated PMMA Nanocomposite in Water and Artificial Saliva" Materials 13, no. 17: 3732. https://doi.org/10.3390/ma13173732
APA StyleZidan, S., Silikas, N., Haider, J., & Yates, J. (2020). Long-Term Sorption and Solubility of Zirconia-Impregnated PMMA Nanocomposite in Water and Artificial Saliva. Materials, 13(17), 3732. https://doi.org/10.3390/ma13173732

