Ionic Transport Properties of P2O5-SiO2 Glassy Protonic Composites Doped with Polymer and Inorganic Titanium-based Fillers
Abstract
1. Introduction
2. Materials and Methods
2.1. Synthesis of Materials
2.2. Analytical Methods of Evaluating Samples
2.2.1. Molecular Spectroscopy
2.2.2. Porosimetry and Microstructure
2.2.3. Mechanical Properties
2.2.4. Thermal Analysis
2.2.5. Electrical and Electrochemical Measurements
- H2(I), Pt/C|30P2O5-70SiO2 + 0.5% PVA |Pt/C H2(II);
- H2(I), Pt/C|30P2O5-70SiO2 + 0.5% PVA+ 5% TiO2 (TEOT)|Pt/C H2(II).
2.2.6. Methods of Data Analysis Used for Measurements of Electric Properties
- σre— real part of the susceptibility (AC conductivity) of the sample;
- σDC—direct current conductivity of the sample;
- A, n—material parameters;
- ω—alternate current frequency.
3. Results
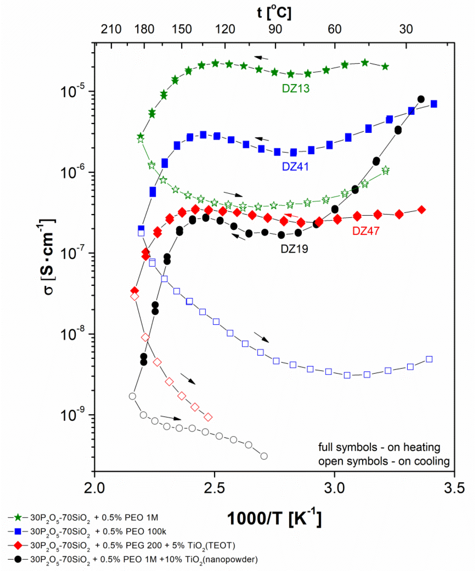
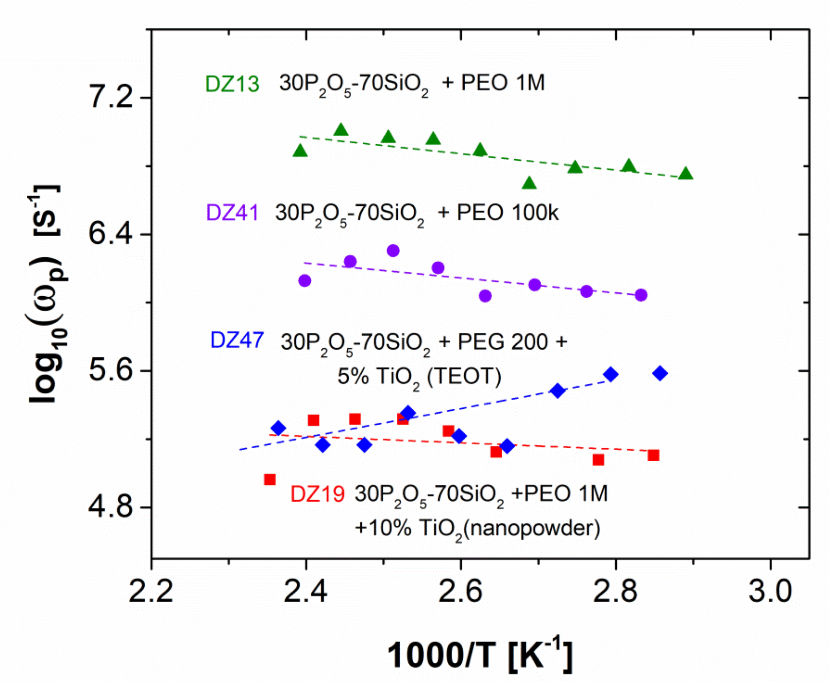
3.1. Results of Electrical Impedance Spectroscopy
- H2(I), Pt/C|30P2O5-70SiO2 + 0.5% PVA|Pt/C H2(II);
- H2(I), Pt/C|30P2O5-70SiO2 + 0.5% PVA + 5% TiO2 (TEOT)|Pt/C H2(II).
3.2. FTIR and FT-Raman Spectroscopy Results
3.3. Meyer–Neldel Rule Calculations vs. DTA Calorimetric Results
3.4. Analysis of Porosimetric Parameters
3.5. Comparative Studies: Porosity vs. Dielectric Properties
3.6. Results of Mechanical Tests Using the Continuous Wave Technique
4. Conclusions
Author Contributions
Funding
Acknowledgments
Conflicts of Interest
References
- Lakshminarayana, G.; Nogami, M.; Kityk, I.V. Synthesis and characterization of anhydrous proton conducting inorganic–organic composite membranes for medium temperature proton exchange membrane fuel cells (PEMFCs). Energy 2010, 35, 5260–5268. [Google Scholar] [CrossRef]
- Kim, S.; Hong, I. Effects of humidity and temperature on a proton exchange membrane fuel cell (PEMFC) stack. J. Ind. Eng. Chem. 2008, 14, 357–364. [Google Scholar] [CrossRef]
- Yang, Z.; Du, Q.; Jia, Z.; Yang, C.; Jiao, K. Effects of operating conditions on water and heat management by a transient multi-dimensional PEMFC system model. Energy 2019, 183, 462–476. [Google Scholar] [CrossRef]
- Zhan, Y.; Guo, Y.; Zhu, J.; Li, L. Current short circuit implementation for performance improvement and lifetime extension of proton exchange membrane fuel cell. J. Power Sources 2014, 270, 183–192. [Google Scholar] [CrossRef][Green Version]
- Kim, J.; Kim, D.M.; Kim, S.Y.; Nam, S.W.; Kim, T. Humidification of polymer electrolyte membrane fuel cell using short circuit control for unmanned aerial vehicle applications. Int. J. Hydrog. Energy 2014, 39, 7925–7930. [Google Scholar] [CrossRef]
- Hwang, K.; Kim, J.H.; Kim, S.Y.; Byun, H. Preparation of polybenzimidazole-based membranes and their potential applications in the fuel cell system. Energies 2014, 7, 1721–1732. [Google Scholar] [CrossRef]
- Xing, P.; Robertson, G.P.; Guiver, M.D.; Mikhailenko, S.D.; Wang, K.; Kaliaguine, S. Synthesis and characterization of sulfonated poly(ether ether ketone) for proton exchange membranes. J. Membr. Sci. 2004, 229, 95–106. [Google Scholar] [CrossRef]
- Lufrano, F.; Squadrito, G.; Patti, A.; Passalacqua, E. Sulfonated polysulfone as promising membranes for polymer electrolyte fuel cells. J. Appl. Polym. Sci. 2000, 77, 1250–1256. [Google Scholar] [CrossRef]
- Cha, M.S.; Lee, J.Y.; Kim, T.H.; Jeong, H.Y.; Shin, H.Y.; Oh, S.G.; Hong, Y.T. Preparation and characterization of crosslinked anion exchange membrane (AEM) materials with poly(phenylene ether)-based short hydrophilic block for use in electrochemical applications. J. Membr. Sci. 2017, 530, 73–83. [Google Scholar] [CrossRef]
- Ran, J.; Wu, L.; Ru, Y.; Hu, M.; Din, L.; Xu, T. Anion exchange membranes (AEMs) based on poly(2,6-dimethyl-1,4-phenylene oxide) (PPO) and its derivatives. Polym. Chem. 2015, 6, 5809–5826. [Google Scholar] [CrossRef]
- He, Y.; Wang, J.; Zhang, H.; Zhang, T.; Zhang, B.; Cao, S.; Liu, J. Polydopamine-modified graphene oxide nanocomposite membrane for proton exchange membrane fuel cell under anhydrous conditions. J. Mater. Chem. A 2014, 2, 9548–9558. [Google Scholar] [CrossRef]
- Cao, L.; Sun, Q.; Gao, Y.; Liu, L.; Shi, H. Novel acid-base hybrid membrane based on amine-functionalized reduced graphene oxide and sulfonated polyimide for vanadium redox flow battery. Electrochim. Acta 2015, 158, 24–34. [Google Scholar] [CrossRef]
- Takamuku, S.; Jannasch, P. Multiblock copolymers with highly sulfonated blocks containing di- and tetrasulfonated arylene sulfone segments for proton exchange membrane fuel cell applications. Adv. Energy Mater. 2012, 2, 129–140. [Google Scholar] [CrossRef]
- Adjemian, K.T.; Lee, S.J.; Srinivasan, S.; Benziger, J.; Bocarsly, A.B. Silicon Oxide Nafion Composite Membranes for Proton-Exchange Membrane Fuel Cell Operation at 80-140°C. J. Electrochem. Soc. 2002, 149, 256. [Google Scholar] [CrossRef]
- Krishnan, N.N.; Lee, S.; Ghorpade, R.V.; Konovalova, A.; Jang, J.H.; Kim, H.J.; Han, J.; Henkensmeier, D.; Han, H. Polybenzimidazole (PBI-OO) based composite membranes using sulfophenylated TiO2 as both filler and crosslinker, and their use in the HT-PEM fuel cell. J. Membr. Sci. 2018, 560, 11–20. [Google Scholar] [CrossRef]
- Eguizábal, A.; Lemus, J.; Urbiztondo, M.; Garrido, O.; Soler, J.; Blazquez, J.A.; Pina, M.P. Novel hybrid membranes based on polybenzimidazole and ETS-10 titanosilicate type material for high temperature proton exchange membrane fuel cells: A comprehensive study on dense and porous systems. J. Power Sources 2011, 196, 8994–9007. [Google Scholar] [CrossRef]
- Kim, D.J.; Choi, D.H.; Park, C.H.; Nam, S.Y. Characterization of the sulfonated PEEK/sulfonated nanoparticles composite membrane for the fuel cell application. Int. J. Hydrog. Energy 2016, 41, 5793–5802. [Google Scholar] [CrossRef]
- Mossayebi, Z.; Saririchi, T.; Rowshanzamir, S.; Parnian, M.J. Investigation and optimization of physicochemical properties of sulfated zirconia/sulfonated poly (ether ether ketone) nanocomposite membranes for medium temperature proton exchange membrane fuel cells. Int. J. Hydrog. Energy 2016, 41, 12293–12306. [Google Scholar] [CrossRef]
- Devrim, Y.; Erkan, S.; Baç, N.; Eroǧlu, I. Preparation and characterization of sulfonated polysulfone/titanium dioxide composite membranes for proton exchange membrane fuel cells. Int. J. Hydrog. Energy 2009, 34, 3467–3475. [Google Scholar] [CrossRef]
- Wu, Y.; Wu, C.; Varcoe, J.R.; Poynton, S.D.; Xu, T.; Fu, Y. Novel silica/poly(2,6-dimethyl-1,4-phenylene oxide) hybrid anion-exchange membranes for alkaline fuel cells: Effect of silica content and the single cell performance. J. Power Sources 2010, 195, 3069–3076. [Google Scholar] [CrossRef]
- Yang, C.; Srinivasan, S.; Aricò, A.S.; Cretì, P.; Baglio, V.; Antonucci, V. Composite Nafion/zirconium phosphate membranes for direct methanol fuel cell operation at high temperature. Electrochem. Solid-State Lett. 2001, 4, A31. [Google Scholar] [CrossRef]
- Uma, T.; Nogami, M. Development of new glass composite membranes and their properties for low temperature H2/O2 fuel cells. Chemphyschem 2007, 8, 2227–2234. [Google Scholar] [CrossRef] [PubMed]
- Itoh, T.; Hirai, K.; Tamura, M.; Uno, T.; Kubo, M.; Aihara, Y. Anhydrous proton-conducting electrolyte membranes based on hyperbranched polymer with phosphonic acid groups for high-temperature fuel cells. J. Power Sources 2008, 178, 627–633. [Google Scholar] [CrossRef]
- Uma, T.; Nogami, M. Influence of TiO on proton conductivity in fuel cell electrolytes based on sol–gel derived PO–SiO glasses. J. Non-Cryst. Solids 2005, 351, 3325–3333. [Google Scholar] [CrossRef]
- Tung, S.P.; Hwang, B.J. High proton conductive glass electrolyte synthesized by an accelerated sol-gel process with water/vapor management. J. Membr. Sci. 2004, 241, 315–323. [Google Scholar] [CrossRef]
- Tung, S.P.; Hwang, B.J. Synthesis and characterization of hydrated phosphor–silicate glass membrane prepared by an accelerated sol–gel process with water/vapor management. J. Mater. Chem. 2005, 15, 3532. [Google Scholar] [CrossRef]
- Mroczkowska-Szerszeń, M.; Siekierski, M.; Letmanowski, R.; Zabost, D.; Piszcz, M.; Żukowska, G.; Sasim, E.; Wieczorek, W.; Dudek, M.; Struzik, M. Synthetic preparation of proton conducting polyvinyl alcohol and TiO2-doped inorganic glasses for hydrogen fuel cell applications. Electrochim. Acta 2013, 104, 487–495. [Google Scholar] [CrossRef]
- Peighambardoust, S.J.; Rowshanzamir, S.; Amjadi, M. Review of the proton exchange membranes for fuel cell applications. Int. J. Hydrog. Energy 2010, 35, 9349–9384. [Google Scholar] [CrossRef]
- Nogami, M.; Matsushita, H.; Goto, Y.; Kasuga, T. A Sol-Gel-Derived Glass as a Fuel Cell Electrolyte. Adv. Mater. 2000, 8555, 1370–1372. [Google Scholar] [CrossRef]
- Inamuddin; Mohammad, A.; Asiri, A.M. Organic-Inorganic Composite Polymer Electrolyte Membranes. In Organic-Inorganic Composite Polymer Electrolyte Membranes-Preparation, Properties, and Fuel Cell Applications; Springer International Publishing AG: Cham, Switzerland, 2017; p. 474. ISBN 9783319527383. [Google Scholar] [CrossRef]
- Junoh, H.; Jaafar, J.; Nik Abdul, N.A.H.; Ismail, A.F.; Othman, M.H.D.; Rahman, M.A.; Aziz, F.; Yusof, N. Performance of polymer electrolyte membrane for direct methanol fuel cell application: Perspective on morphological structure. Membranes 2020, 10, 34. [Google Scholar] [CrossRef]
- Nogami, M. Proton conduction in nanopore-controlled silica glasses. J. Sol-Gel Sci. Technol. 2004, 31, 359–364. [Google Scholar] [CrossRef]
- Ciosek, M.; Sannier, L.; Siekierski, M.; Golodnitsky, D.; Peled, E.; Scrosati, B.; Głowinkowski, S.; Wieczorek, W. Ion transport phenomena in polymeric electrolytes. Electrochim. Acta 2007, 53, 1409–1416. [Google Scholar] [CrossRef]
- Muszyńska, M.; Wycilik, H.; Siekierski, M. Composite polymeric electrolytes based on poly(ethylene oxide) matrix and metallic aluminum filler. Solid State Ion. 2002, 147, 281–287. [Google Scholar] [CrossRef]
- Siekierski, M.; Wałkiewicz, A.; Celemencka, A.; Wyciślik, H. Conductivity and structural studies of composite polymeric-electrolytes based on PEO-LiCF3SO3 matrix and SiC filler modified by the surface oxidation. J. New Mater. Electrochem. Syst. 2006, 9, 367–374. [Google Scholar]
- Cappadonia, M.; Erning, J.W.; Niaki, S.M.S.; Stimming, U. Conductance of Nafion 117 membranes as a function of temperature and water content. Solid State Ion. 1995, 77, 65–69. [Google Scholar] [CrossRef]
- Martos, A.M.; Biasizzo, M.; Trotta, F.; del Río, C.; Várez, A.; Levenfeld, B. Synthesis and characterization of sulfonated PEEK-WC-PES copolymers for fuel cell proton exchange membrane application. Eur. Polym. J. 2017, 93, 390–402. [Google Scholar] [CrossRef]
- Caprarescu, S.; Radu, A.L.; Purcar, V.; Ianchis, R.; Sarbu, A.; Ghiurea, M.; Nicolae, C.; Modrogan, C.; Vaireanu, D.I.; Périchaud, A.; et al. Adsorbents/ion exchangers-PVA blend membranes: Preparation, characterization and performance for the removal of Zn2+ by electrodialysis. Appl. Surf. Sci. 2015, 329, 65–75. [Google Scholar] [CrossRef]
- Caprarescu, S.; Radu, A.L.; Purcar, V.; Sarbu, A.; Vaireanu, D.I.; Ianchis, R.; Ghiurea, M. Removal of copper ions from simulated wastewaters using different bicomponent polymer membranes. Water Air Soil Pollut. 2014, 225, 2079. [Google Scholar] [CrossRef]
- Dudek, M.; Lis, B.; Lach, R.; Daugėla, S.; Šalkus, T.; Kežionis, A.; Mosiałek, M.; Socha, R.P.; Morgiel, J.; Gajek, M.; et al. Ba 0.95 Ca 0.05 Ce 0.9 Y 0.1 O 3 as an electrolyte for proton-conducting ceramic fuel cells. Electrochim. Acta 2019, 304, 70–79. [Google Scholar] [CrossRef]
- Shimakawa, K.; Abdel-Wahab, F. The Meyer-Neldel rule in chalcogenide glasses. Appl. Phys. Lett. 1997, 70, 652–654. [Google Scholar] [CrossRef]
- Mehta, N. Meyer–Neldel rule in chalcogenide glasses: Recent observations and their consequences. Curr. Opin. Solid State Mater. Sci. 2010, 14, 95–106. [Google Scholar] [CrossRef]
- Jonscher, A. Dielectric Relaxation in Solids. In Dielectric Relaxation in Solids; Chelsea Dielectric Press: London, UK, 1983; p. 380. [Google Scholar]
- Abe, Y.; Hosono, H.; Osamu, A. Protonic Conduction in Phosphate Glasses. J. Electrochem. Soc. 1994, 141, L64–L65. [Google Scholar] [CrossRef]
- Colomer, M.T. Nanoporous anatase thin films as fast proton-conducting materials. Adv. Mater. 2006, 18, 371–374. [Google Scholar] [CrossRef]
- Nogami, M.; Suwa, M.; Kasuga, T. Proton conductivity in sol–gel-derived P2O5–TiO2–SiO2 glasses. Solid State Ion. 2004, 166, 39–43. [Google Scholar] [CrossRef]
- Uma, T.; Nogami, M. On the development of proton conducting P2O5–TiO2–SiO2 glasses for fuel cell electrolytes. Mater. Chem. Phys. 2006, 98, 382–388. [Google Scholar] [CrossRef]
- Uma, T.; Nogami, M. Synthesis and characterization of P2O5–SiO2–X (X=phosphotungstic acid) glasses as electrolyte for low temperature H2/O2 fuel cell application. J. Membr. Sci. 2006, 280, 744–751. [Google Scholar] [CrossRef]
- Uma, T.; Izuhara, S.; Nogami, M. Structural and proton conductivity study of P2O5-TiO2-SiO2 glasses. J. Eur. Ceram. Soc. 2006, 26, 2365–2372. [Google Scholar] [CrossRef]
- Nes, O.M.; Horsrud, P.; Sonstebo, E.F.; Holt, R.M.; Ese, A.M.; Okland, D.; Kjorholt, H. Rig Site and Laboratory Use of CWT Acoustic Velocity Measurements on Cuttings. SPE Reserv. Eval. Eng. 1998, 1, 282–287. [Google Scholar] [CrossRef]
- Marzantowicz, M.; Dygas, J.R.; Jenninger, W.; Alig, I. Equivalent circuit analysis of impedance spectra of semicrystalline polymer. Solid State Ion. 2005, 176, 2115–2121. [Google Scholar] [CrossRef]
- Siracusano, S.; Trocino, S.; Briguglio, N.; Baglio, V.; Aricò, A.S. Electrochemical impedance spectroscopy as a diagnostic tool in polymer electrolyte membrane electrolysis. Materials 2018, 11, 1368. [Google Scholar] [CrossRef]
- Zhang, J.; Zhang, H.; Wu, J.; Zhang, J. Techniques for PEM Fuel Cell Testing and Diagnosis. In Pem Fuel Cell Testing and Diagnosis; Zhang, J., Zhang, H., Wu, J., Zhang, J., Eds.; Elsevier: Amsterdam, The Netherlands; Oxford, UK, 2013; pp. 81–119. ISBN 9780444536884. [Google Scholar]
- Almond, D.P.; West, A.R. Entropy effects in ionic conductivity. Solid State Ion. 1986, 18, 1105–1109. [Google Scholar] [CrossRef]
- Miyairi, K.; Ohta, Y.; Ieda, M. The compensation law in electric conduction and dielectric relaxation for polyvinyl chloride. J. Phys. D Appl. Phys. 1988, 21, 1519–1523. [Google Scholar] [CrossRef]
- Baranovski, S.; Rubel, O. Description of Charge Transport in Amorphous Semiconductors. In Charge Transport in Disordered Solids with Applications in Electronics; Baranovski, S., Ed.; John Wiley & Sons, Ltd.: Chichester, UK, 2006; pp. 49–93. ISBN 9780470095041. [Google Scholar]
- Lasia, A. Modeling of impedance of porous electrodes in Modern Aspects of electrochemistry. In Modeling and Numerical Simulations; Schlesinger, M., Ed.; Springer: New York, NY, USA, 2009; Volume 43, pp. 67–137. [Google Scholar] [CrossRef]
- Kreuer, K.D.; Rabenau, A. Vehicle Mechanism, A New Model for the Interpretation of the Conductivity of Fast Proton Conductors. Angew. Chem. Int. Ed. Engl. 1982, 21, 208–209. [Google Scholar] [CrossRef]
- Kim, D.J.; Jo, M.J.; Nam, S.Y. A review of polymer–nanocomposite electrolyte membranes for fuel cell application. J. Ind. Eng. Chem. 2015, 21, 36–52. [Google Scholar] [CrossRef]
- De Grotthuss, C.J.T. Sur la décomposition de l’eau et des corps qu’elle tient en dissolution à l’aide de l’électricité galvanique, (in french language). Ann. Chim. 1806, 58, 54–73. [Google Scholar]
- De Grotthuss, C.J.T. Memoir on the decomposition of water and of the bodies that it holds in solution by means of galvanic electricity. Biochim. Biophys. Acta Bioenerg. 2006, 1757, 871–875. [Google Scholar] [CrossRef]
- Aguiar, H.; Serra, J.; González, P.; León, B. Structural study of sol–gel silicate glasses by IR and Raman spectroscopies. J. Non-Cryst. Solids 2009, 355, 475–480. [Google Scholar] [CrossRef]
- Elisa, M.; Sava, B.A.; Vasiliu, I.C.; Nastase, F.; Nastase, C.; Volceanov, A.; Stoleriu, S. Structural and morphological characterization of Pr3+ and Er3+-containing SiO2–P2O5 sol–gel thin films. Mater. Chem. Phys. 2012, 131, 647–665. [Google Scholar] [CrossRef]
- Lenza, R.F.S.; Vasconcelos, W.L. Preparation of silica by sol-gel method using formamide. Mater. Res. 2001, 4, 189–194. [Google Scholar] [CrossRef]
- Sava, B.A.; Elisa, M.; Vasiliu, I.C.; Nastase, F.; Simon, S. Investigations on sol–gel process and structural characterization of SiO2-P2O5 powders. J. Non-Cryst. Solids 2012, 358, 2877–2885. [Google Scholar] [CrossRef]
- NIST Chemistry WebBook. 2020. Available online: http://webbook.nist.gov/chemistry/ (accessed on 6 January 2020).
- Henych, J.; Štengl, V.; Slušná, M. Degradation of Trimethyl Phosphate on TiZrCe Mixed Oxides. Int. Proc. Chem. Biol. Environ. Eng. 2014, 78, 12–16. [Google Scholar] [CrossRef]
- Li, H.; Jin, D.; Kong, X.; Tu, H.; Yu, Q.; Jiang, F. High proton-conducting monolithic phosphosilicate glass membranes. Microporous Mesoporous Mater. 2011, 138, 63–67. [Google Scholar] [CrossRef]
- Vasiliu, I.; Gartner, M.; Anastasescu, M.; Todan, L.; Predoana, L.; Elisa, M.; Grigorescu, C.; Negrila, C.; Logofatu, C.; Enculescu, M.; et al. SiOx-P2O5 films—Promising components in photonic structure. Opt. Quantum Electron. 2007, 39, 511–521. [Google Scholar] [CrossRef]
- Gao, X.; Wachs, I.E. Titania—Silica as catalysts: Molecular structural characteristics and physico-chemical properties. Catal. Today 1999, 51, 233–254. [Google Scholar] [CrossRef]
- Mirabedini, A.; Mirabedini, S.M.; Babalou, A.A.; Pazokifard, S. Synthesis, characterization and enhanced photocatalytic activity of TiO2/SiO2 nanocomposite in an aqueous solution and acrylic-based coatings. Prog. Org. Coat. 2011, 72, 453–460. [Google Scholar] [CrossRef]
- MacDonald, S.A.; Schradt, C.R.; Masiello, D.J.; Simmons Joseph, H. Dispersion analysis of FTIR reflection measurements in silicate glasses. J. Non-Cryst. Solids 2000, 275, 72–82. [Google Scholar] [CrossRef]
- Streck, R.; Barnes, A.J.; Herreboutc, A.; van der Veken, B.J. Conformational behaviour of trimethyl phosphate infrared spectroscopy. J. Mol. Struct. 1996, 376, 277–287. [Google Scholar] [CrossRef]
- SDBS Spectral Database for Organic Compounds. Available online: http://riodb01.ibase.aist.go.jp/sdbs/cgi-bin/cre_index.cgi?lang=eng (accessed on 2 February 2020).
- McNaught Alan, D. Wilkinson Andrew International Union of Pure and Applied Chemistry Compendium of Chemical Terminology—Gold Book; McNaught, A.D., Ed.; Royal Society of Chemistry: Cambridge, UK, 1997; pp. 1–1670. ISBN 0-9678550-9-8. [Google Scholar]
- Uma, T.; Nogami, M. Low-temperature operation of H2/O2 fuel cells using proton-conducting glasses containing heteropolyacid. Ionics 2006, 12, 167–173. [Google Scholar] [CrossRef]
- Funke, K.; Roling, B.; Lange, M. Dynamics of mobile ions in crystals, glasses and melts. Solid State Ion. 1998, 105, 195–208. [Google Scholar] [CrossRef]
- Funke, K.; Banhatti, R.D.; Bruckner, S.; Cramer, C.; Wilmer, D. Dynamics of mobile ions in crystals, glasses and melts, describedby the concept of mismatch and relaxation. Solid State Ion. 2002, 154–155, 65. [Google Scholar] [CrossRef]
- Jach, K.; Owsik, J.; Świerczyński, R. Komputerowe Modelowanie Zjawisk Niszczenia Osłon Szklanych i Ceramicznych; WNT: Warszawa, Poland, 2011; pp. 1–136. ISBN 9788320437010. [Google Scholar]
- Panowicz, R.; Jach, K.; Mroczkowski, M.; Morka, A. Komputerowe Modelowanie Dynamicznych Oddziaływań ciał Metodą Punktów Swobodnych; Jach, K., Ed.; PWN: Warszawa, Poland, 2001; pp. 1–287. ISBN 83-01-13378-3. [Google Scholar]
- Abe, Y.; Takahashi, M. Protonic conduction model in glasses—A quadratic relation between conductivity and proton concentration. Chem. Phys. Lett. 2005, 411, 302–305. [Google Scholar] [CrossRef]













| Sample Code and Material Composition Description | Ea | ||||
|---|---|---|---|---|---|
| Heating Subcycle | Cooling Subcycle | ||||
| eV | kJ/mol | eV | kJ/mol | ||
| RL 31 | 30P2O5-70SiO2 + 0.5% PVA (ultrasonificated) | 0.092 | 8.9 | 0.416 | 40.1 |
| RL61 | 30P2O5-70SiO2 + 0.5% PVA + 5% TiO2 (nanopowder) | 0.059 | 5.7 | 0.298 | 28.8 |
| RL52 | 30P2O5-70SiO2 + 0.5% PVA | 0.093 | 9.0 | 0.429 | 41.4 |
| RL59 | 30P2O5-70SiO2 + 0.5% PVA + 5% TiO2 (TEOT) | 0.269 | 25.9 | 1.007 | 97.2 |
| DZ 13 | 30P2O5-70SiO2 + 0.5% PEO 1 M | 0.123 | 11.9 | 0.317 | 30.6 |
| DZ 41 | 30P2O5-70SiO2 + 0.5% PEO 100 k | 0.180 | 17.4 | 0.280 | 27.0 |
| DZ 19 | 30P2O5-70SiO2 + 0.5% PEO 1 M + 10%TiO2 (nanopowder) | 0.254 | 16.9 | 0.220 | 21.2 |
| DZ 47 | 30P2O5-70SiO2 + 0.5% PEG 200 + 5% TiO2 (TEOT) | 0.116 | 13.5 | 0.767 | 74.0 |
| Vibration Mode Assignments | FTIR ATR Band Maxima Positions (cm−1) | FTIR DR Band Maxima Positions (cm−1) | FT-Raman Band Maxima Positions (cm−1) | References |
|---|---|---|---|---|
| νOH: (molecular water), Si–OH | 3000–3600 | 3000–3600 | [64,65] | |
| νCH3 in TMP molecule | 2860, 2963 | 2860, 2963 | 2860, 2963 | [66,67] |
| δOH: (molecular water) | 1635 | 1640 | [64,65] | |
| νasym. (CO3)2−, (CH3O) | 1454,1463 | 1463 | [62,67] | |
| νasym (Si–O–Si), νsym. (Si–O–P), νasym (PO4) | 1050, 1160 | 1085 1150 | [25,62,65,68,69] [68], | |
| νsym Si–O:Si–OH-silanol, νasym(PO4) | 950, 960 | 960 | [62,64,65,68,69,70,71,72] | |
| νsym (Si–O–Si), ν(P–O–P) | 800 | 800 | [62,64,65,72] | |
| ν(P–O–P), (PO3) in TMP, δasym(CO3)2− | 741 | 756, 741 | [73,74] [62] |
| Polymeric Additive Type in 30P2O5-70SiO2 Glass Sample | Young’s Modulus (GPa) | Poisson’s Ratio |
|---|---|---|
| no additive | 2.73 | 0.15 |
| additive PVA 85,000–124,000 g/mol in amount of 0.5 (wt.%) of the glass mass | 1.67 | 0.25 |
| additive PEO 1,000,000 g/mol in amount 0.5 (wt.%) of the glass mass | 6.09 | 0.31 |
© 2020 by the authors. Licensee MDPI, Basel, Switzerland. This article is an open access article distributed under the terms and conditions of the Creative Commons Attribution (CC BY) license (http://creativecommons.org/licenses/by/4.0/).
Share and Cite
Siekierski, M.; Mroczkowska-Szerszeń, M.; Letmanowski, R.; Zabost, D.; Piszcz, M.; Dudek, L.; Struzik, M.M.; Winkowska-Struzik, M.; Cicha-Szot, R.; Dudek, M. Ionic Transport Properties of P2O5-SiO2 Glassy Protonic Composites Doped with Polymer and Inorganic Titanium-based Fillers. Materials 2020, 13, 3004. https://doi.org/10.3390/ma13133004
Siekierski M, Mroczkowska-Szerszeń M, Letmanowski R, Zabost D, Piszcz M, Dudek L, Struzik MM, Winkowska-Struzik M, Cicha-Szot R, Dudek M. Ionic Transport Properties of P2O5-SiO2 Glassy Protonic Composites Doped with Polymer and Inorganic Titanium-based Fillers. Materials. 2020; 13(13):3004. https://doi.org/10.3390/ma13133004
Chicago/Turabian StyleSiekierski, Maciej, Maja Mroczkowska-Szerszeń, Rafał Letmanowski, Dariusz Zabost, Michał Piszcz, Lidia Dudek, Michał M. Struzik, Magdalena Winkowska-Struzik, Renata Cicha-Szot, and Magdalena Dudek. 2020. "Ionic Transport Properties of P2O5-SiO2 Glassy Protonic Composites Doped with Polymer and Inorganic Titanium-based Fillers" Materials 13, no. 13: 3004. https://doi.org/10.3390/ma13133004
APA StyleSiekierski, M., Mroczkowska-Szerszeń, M., Letmanowski, R., Zabost, D., Piszcz, M., Dudek, L., Struzik, M. M., Winkowska-Struzik, M., Cicha-Szot, R., & Dudek, M. (2020). Ionic Transport Properties of P2O5-SiO2 Glassy Protonic Composites Doped with Polymer and Inorganic Titanium-based Fillers. Materials, 13(13), 3004. https://doi.org/10.3390/ma13133004

