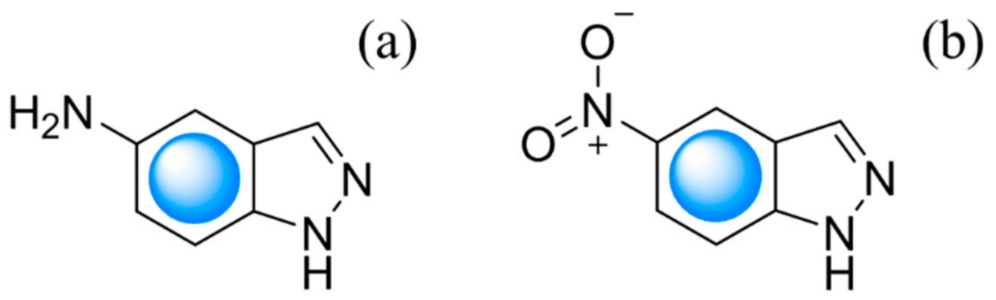
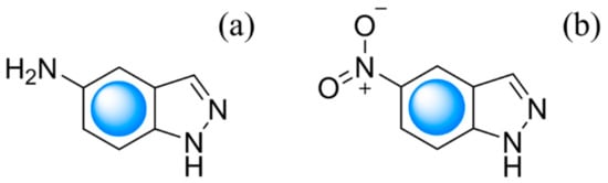
Experimental and Theoretical Studies on the Corrosion Inhibition of Carbon Steel by Two Indazole Derivatives in HCl Medium
Abstract
1. Introduction
2. Experimental Section
2.1. Material and Samples Preparation
2.2. Electrochemical Measurements
2.3. Scanning Electron Microscopy
2.4. Theoretical Simulations
3. Results and Discussion
3.1. Electrochemical Impedance Spectroscopy (EIS) Measurements
3.2. Potentiodynamic Polarization Measurements
3.3. Morphology Analysis
3.4. Computational Study
4. Conclusions
- (1)
- The results of electrochemical tests indicated that AIA and NIA are efficient inhibitors for carbon steel in 1M HCl. The inhibition efficiency increased with increasing concentrations of the inhibitors, and the optimal concentration of AIA and NIA is 2 mM. By comparison, the AIA exhibits better inhibition performance than NIA.
- (2)
- The values of the charge transfer resistance increased in the presence of AIA and NIA in EIS tests, indicating that they can protect steel from corrosion by forming a robust protective film. Additionally, the Tafel plots illustrated that both are mixed-type inhibitors.
- (3)
- The results of theoretical calculations explained that the protective effect was due to the electrostatic forces between the AIA-2H+ (or NIA-H+) and electronegative surface.
Author Contributions
Funding
Conflicts of Interest
References
- Feng, L.; Zhang, S.; Qiang, Y.; Xu, S.; Tan, B.; Chen, S. The synergistic corrosion inhibition study of different chain lengths ionic liquids as green inhibitors for X70 steel in acidic medium. Mater. Chem. Phys. 2018, 215, 229–241. [Google Scholar] [CrossRef]
- Guo, L.; Zhu, S.; Li, W.; Zhang, S. Electrochemical and Quantum Chemical Assessment of 2-Aminothiazole as Inhibitor for Carton Steel in Sulfuric Acid Solution. Asian J. Chem. 2015, 27, 2917–2923. [Google Scholar] [CrossRef]
- Tan, B.C.; Zhang, S.T.; Liu, H.Y.; Guo, Y.W.; Qiang, Y.J.; Li, W.P.; Guo, L.; Xu, C.L.; Chen, S.J. Corrosion inhibition of X65 steel in sulfuric acid by two food flavorants 2-isobutylthiazole and 1-(1,3-Thiazol-2-yl) ethanone as the green environmental corrosion inhibitors: Combination of experimental and theoretical researches. J. Colloid Interface Sci. 2019, 538, 519–529. [Google Scholar] [CrossRef] [PubMed]
- Tan, J.H.; Guo, L.; Lv, T.M.; Zhang, S.T. Experimental and Computational Evaluation of 3-indolebutyric Acid as a Corrosion Inhibitor for Mild Steel in Sulfuric Acid Solution. Int. J. Electrochem. Sci. 2015, 10, 823–837. [Google Scholar]
- Zhang, S.T.; Tao, Z.H.; Liao, S.G.; Wu, F.J. Substitutional adsorption isotherms and corrosion inhibitive properties of some oxadiazol-triazole derivative in acidic solution. Corros. Sci. 2010, 52, 3126–3132. [Google Scholar] [CrossRef]
- Zheng, X.W.; Zhang, S.T.; Li, W.P.; Yin, L.L.; He, J.H.; Wu, J.F. Investigation of 1-butyl-3-methyl-1H-benzimidazolium iodide as inhibitor for mild steel in sulfuric acid solution. Corros. Sci. 2014, 80, 383–392. [Google Scholar] [CrossRef]
- Qiang, Y.J.; Zhang, S.T.; Xu, S.Y.; Yin, L.L. The effect of 5-nitroindazole as an inhibitor for the corrosion of copper in a 3.0% NaCl solution. RSC Adv. 2015, 5, 63866–63873. [Google Scholar] [CrossRef]
- Qiang, Y.; Zhang, S.; Xiang, Q.; Tan, B.; Li, W.; Chen, S.; Guo, L. Halogeno-substituted indazoles against copper corrosion in industrial pickling process: A combined electrochemical, morphological and theoretical approach. RSC Adv. 2018, 8, 38860–38871. [Google Scholar] [CrossRef]
- Qiang, Y.; Zhang, S.; Yan, S.; Zou, X.; Chen, S. Three indazole derivatives as corrosion inhibitors of copper in a neutral chloride solution. Corros. Sci. 2017, 126, 295–304. [Google Scholar] [CrossRef]
- Kokalj, A. Formation and structure of inhibitive molecular film of imidazole on iron surface. Corros. Sci. 2013, 68, 195–203. [Google Scholar] [CrossRef]
- Kokalj, A.; Peljhan, S. Density Functional Theory Study of ATA, BTAH, and BTAOH as Copper Corrosion Inhibitors: Adsorption onto Cu(111) from Gas Phase. Langmuir 2010, 26, 14582–14593. [Google Scholar] [CrossRef]
- Kokalj, A.; Peljhan, S.; Koller, J. The Effect of Surface Geometry of Copper on Dehydrogenation of Benzotriazole. Part II. J. Phys. Chem. C 2014, 118, 944–954. [Google Scholar] [CrossRef]
- Tan, B.; Zhang, S.; Qiang, Y.; Guo, L.; Feng, L.; Liao, C.; Xu, Y.; Chen, S. A combined experimental and theoretical study of the inhibition effect of three disulfide-based flavouring agents for copper corrosion in 0.5 M sulfuric acid. J. Colloid Interface Sci. 2018, 526, 268–280. [Google Scholar] [CrossRef]
- Wang, J. The Inhibition Effect of a Novel Mannich Base on the Corrosion of A3 Mild Steel in 1.0 M Hydrochloric Acid Solution. Int. J. Electrochem. Sci. 2016, 11, 2621–2637. [Google Scholar] [CrossRef]
- Yadav, M.; Gope, L.; Kumari, N.; Yadav, P. Corrosion inhibition performance of pyranopyrazole derivatives for mild steel in HCl solution: Gravimetric, electrochemical and DFT studies. J. Mol. Liq. 2016, 216, 78–86. [Google Scholar] [CrossRef]
- Tao, Z.H.; Zhang, S.T.; Li, W.H.; Hou, B.R. Adsorption and Inhibitory Mechanism of 1H-1,2,4-Triazol-l-yl-methyl-2-(4-chlorophenoxy) Acetate on Corrosion of Mild Steel in Acidic Solution. Ind. Eng. Chem. Res. 2011, 50, 6082–6088. [Google Scholar] [CrossRef]
- Zhang, J. Inhibition Effect and Adsorption Behavior of Two Imidazolium- based Ionic Liquids on X70 Steel in Sulfuric Acid Solution. Int. J. Electrochem. Sci. 2018, 13, 8645–8656. [Google Scholar] [CrossRef]
- Ukpong, I.; Bamgboye, O.; Soriyan, O. Synergistic Inhibition of Mild Steel Corrosion in Seawater and Acidic Medium by Cathodic Protection and Monodora myristica Using Zinc Anode. Int. J. Corros. 2018, 2018, 1–8. [Google Scholar] [CrossRef]
- Kalaiselvi, K.; Chung, I.-M.; Kim, S.-H.; Prabakaran, M. Corrosion resistance of mild steel in sulphuric acid solution by Coreopsis tinctoria extract: electrochemical and surface studies. Anti Corros. Methods Mater. 2018, 65, 408–416. [Google Scholar] [CrossRef]
- Paramasivam, S. Corrosion Inhibition of Mild Steel in Hydrochloric Acid using4- (pyridin-2yl)-N-p-tolylpiperazine-1-carboxamide. Int. J. Electrochem. Sci. 2016, 11, 3393–3414. [Google Scholar] [CrossRef]
- Ma, X.; Jiang, X.; Xia, S.; Shan, M.; Li, X.; Yu, L.; Tang, Q. New corrosion inhibitor acrylamide methyl ether for mild steel in 1 M HCl. Appl. Surf. Sci. 2016, 371, 248–257. [Google Scholar] [CrossRef]
- Tasic, Z.Z.; Mihajlovic, M.B.P.; Radovanovic, M.B.; Antonijevic, M.M. Effect of gelatine and 5-methyl-1H-benzotriazole on corrosion behaviour of copper in sulphuric acid containing Cl− ions. J. Adhes. Sci. Technol. 2017, 31, 2592–2610. [Google Scholar] [CrossRef]
- Jiang, L.; Ma, H.; Zhang, J.; Lu, Y.; Lu, H.; Meng, X. Electro Polymerization of Polypyrrole Coatings Doped with Different Proton Acids for Corrosion Protection of 304 Stainless Steel. MATEC Web Conf. 2017, 109, 03007. [Google Scholar] [CrossRef]
- El-Sayed Shehata, O. Effect of acetamide derivative and its Mn-complex as corrosion inhibitor for mild steel in sulphuric acid. Egypt. J.Chem. 2017, 60, 243–259. [Google Scholar] [CrossRef][Green Version]
- Loto, R.T.; Loto, C.A.; Fedotova, T. Electrochemical studies of mild steel corrosion inhibition in sulfuric acid chloride by aniline. Res. Chem. Int. 2014, 40, 1501–1516. [Google Scholar] [CrossRef]
- Tamilarasan, R.; Sreekanth, A. Spectroscopic and DFT investigations on the corrosion inhibition behavior of tris(5-methyl-2-thioxo-1,3,4-thiadiazole) borate on high carbon steel and aluminium in HCl media. RSC Adv. 2013, 3, 23681–23691. [Google Scholar] [CrossRef]
- Tang, Y.-M.; Yang, W.-Z.; Yin, X.-S.; Liu, Y.; Wan, R.; Wang, J.-T. Phenyl-substituted amino thiadiazoles as corrosion inhibitors for copper in 0.5 M H2SO4. Mater. Chem. Phys. 2009, 116, 479–483. [Google Scholar] [CrossRef]
- Kovacevic, N.; Kokalj, A. DFT Study of Interaction of Azoles with Cu(111) and Al(111) Surfaces: Role of Azole Nitrogen Atoms and Dipole–Dipole Interactions. J. Phys. Chem. C 2011, 115, 24189–24197. [Google Scholar] [CrossRef]
- Loto, R.T.; Loto, C.A. Pitting corrosion inhibition of type 304 austenitic stainless steel by 2-amino-5-ethyl-1,3,4-thiadiazole in dilute sulphuric acid. Prot. Met. Phys. Chem. Surfaces 2015, 51, 693–700. [Google Scholar] [CrossRef]
- Bensabra, H.; Azzouz, N.; Chopart, J.P. Effect of zinc phosphating treatment on the pitting corrosion resistance of steel reinforcement. Rev. De Metall. Cah. D Inf. Technol. 2013, 110, 153–163. [Google Scholar]
- Kokalj, A. On the HSAB based estimate of charge transfer between adsorbates and metal surfaces. Chem. Phys. 2012, 393, 1–12. [Google Scholar] [CrossRef]
- Kokalj, A.; Peljhan, S.; Finsgar, M.; Milosev, I. What Determines the Inhibition Effectiveness of ATA, BTAH, and BTAOH Corrosion Inhibitors on Copper? J. Am. Chem. Soc. 2010, 132, 16657–16668. [Google Scholar]
- Obot, I.B.; Obi-Egbedi, N. 2,3-Diphenylbenzoquinoxaline: A new corrosion inhibitor for mild steel in sulphuric acid. Corros. Sci. 2010, 52, 282–285. [Google Scholar] [CrossRef]
- Umoren, S.; Obot, I.B.; Gasem, Z.; Odewunmi, N.A. Experimental and Theoretical Studies of Red Apple Fruit Extract as Green Corrosion Inhibitor for Mild Steel in HCl Solution. J. Dispers. Sci. Technol. 2015, 36, 789–802. [Google Scholar] [CrossRef]
- Umoren, S.A.; Obot, I.B.; Madhankumar, A.; Gasem, Z.M. Effect of degree of hydrolysis of polyvinyl alcohol on the corrosion inhibition of steel: Theoretical and experimental studies. J. Adhes. Sci. Technol. 2015, 29, 271–295. [Google Scholar] [CrossRef]
- Ren, X.L.; Xu, S.Y.; Chen, S.Y.; Chen, N.X.; Zhang, S.T. Experimental and theoretical studies of triisopropanolamine as an inhibitor for aluminum alloy in 3% NaCl solution. RSC Adv. 2015, 5, 101693–101700. [Google Scholar] [CrossRef]
- Pearson, R.G. Hard and Soft Acids and Bases. J. Am. Chem. Soc. 1963, 85, 3533–3539. [Google Scholar] [CrossRef]
- Pearson, R.G. Absolute electronegativity and hardness: Application to inorganic chemistry. Inorg. Chem. 1988, 27, 734–740. [Google Scholar] [CrossRef]
- Obot, I.B.; Kaya, S.; Kaya, C.; Tuzun, B. Theoretical evaluation of triazine derivatives as steel corrosion inhibitors: DFT and Monte Carlo simulation approaches. Res. Chem. Intermed. 2016, 42, 4963–4983. [Google Scholar] [CrossRef]
- Khadraoui, A.; Khelifa, A.; Hadjmeliani, M.; Mehdaoui, R.; Hachama, K.; Tidu, A.; Azari, Z.; Obot, I.; Zarrouk, A. Extraction, characterization and anti-corrosion activity of Mentha pulegium oil: Weight loss, electrochemical, thermodynamic and surface studies. J. Mol. Liq. 2016, 216, 724–731. [Google Scholar] [CrossRef]
- Belghiti, M.E.; Karzazi, Y.; Dafali, A.; Obot, I.B.; Ebenso, E.E.; Emran, K.M.; Bahadur, I.; Hammouti, B.; Bentiss, F. Anti-corrosive properties of 4-amino-3,5-bis(disubstituted)-1,2,4-triazole derivatives on mild steel corrosion in 2 M H3PO4 solution: Experimental and theoretical studies. J. Mol. Liq. 2016, 216, 874–886. [Google Scholar] [CrossRef]
- Obot, I.B.; Gasem, Z.M.; Umoren, S.A. Understanding the Mechanism of 2-mercaptobenzimidazole Adsorption on Fe(110), Cu(111) and Al(111) Surfaces: DFT and Molecular Dynamics Simulations Approaches. Int. J. Electrochem. Sci. 2014, 9, 2367–2378. [Google Scholar]
- Kovacevic, N.; Milosev, I.; Kokalj, A. The roles of mercapto, benzene, and methyl groups in the corrosion inhibition of imidazoles on copper: II. Inhibitor-copper bonding. Corros. Sci. 2015, 98, 457–470. [Google Scholar]








| Inhibitor | Cinh (mM) | Rs (Ω cm2) | Rct (Ω cm2) | CPE | Cdl | ηEIS (%) | |
|---|---|---|---|---|---|---|---|
| Y0 × 10−6 (S sn cm−2) n | (μF cm−2) | ||||||
| Blank | / | 1.43 | 20.1 | 504.6 | 0.85 | 215.4 | / |
| AIA | 0.25 | 1.26 | 55.3 | 214.5 | 0.85 | 188.8 | 62.1 |
| 0.50 | 1.11 | 109.9 | 159.6 | 0.88 | 140.4 | 80.9 | |
| 1.00 | 1.22 | 238.0 | 120.3 | 0.87 | 104.7 | 91.2 | |
| 2.00 | 1.36 | 271.6 | 113.4 | 0.87 | 98.7 | 92.3 | |
| NIA | 0.25 | 1.23 | 39.6 | 280.4 | 0.88 | 246.8 | 47.1 |
| 0.50 | 1.34 | 63.4 | 265 | 0.84 | 222.6 | 66.9 | |
| 1.00 | 1.22 | 86.9 | 247.4 | 0.84 | 207.8 | 75.9 | |
| 2.00 | 1.14 | 156.2 | 185.9 | 0.83 | 154.3 | 86.6 | |
| Inhibitor | Cinh (mM) | Ecorr (V vs. SCE) | βc (mV dec−1) | βa (mV dec−1) | Icorr (μA cm−2) | ηp (%) |
|---|---|---|---|---|---|---|
| Blank | / | −0.48 | 119.4 | 95.3 | 754.4 | / |
| AIA | 0.25 | −0.47 | 112.0 | 73.9 | 231.1 | 69.4 |
| 0.50 | −0.48 | 70.38 | 78.7 | 72.2 | 90.4 | |
| 1.00 | −0.47 | 115.3 | 78.7 | 59.8 | 92.1 | |
| 2.00 | −0.48 | 81.95 | 82.7 | 34.5 | 95.4 | |
| NIA | 0.25 | −0.48 | 122.6 | 82.8 | 363.7 | 51.8 |
| 0.50 | −0.47 | 127.7 | 85.6 | 248.8 | 67.0 | |
| 1.00 | −0.46 | 132.8 | 85.8 | 239.9 | 68.2 | |
| 2.00 | −0.45 | 107.2 | 74.6 | 117.4 | 84.4 |
| Inhibitor | EHOMO (eV) | ELUMO (eV) | ΔE (eV) | μ (Debye) | I (eV) | A (eV) | χ (eV) | γ (eV) | ΔN |
|---|---|---|---|---|---|---|---|---|---|
| AIA | −9.6 | −6.2 | 3.4 | 5.4 | 9.6 | 6.2 | 7.9 | 1.7 | −0.25 |
| NIA | −11.7 | −7.1 | 4.6 | 14.3 | 11.7 | 7.1 | 9.4 | 2.3 | −0.53 |
© 2019 by the authors. Licensee MDPI, Basel, Switzerland. This article is an open access article distributed under the terms and conditions of the Creative Commons Attribution (CC BY) license (http://creativecommons.org/licenses/by/4.0/).
Share and Cite
Xu, S.; Zhang, S.; Guo, L.; Feng, L.; Tan, B. Experimental and Theoretical Studies on the Corrosion Inhibition of Carbon Steel by Two Indazole Derivatives in HCl Medium. Materials 2019, 12, 1339. https://doi.org/10.3390/ma12081339
Xu S, Zhang S, Guo L, Feng L, Tan B. Experimental and Theoretical Studies on the Corrosion Inhibition of Carbon Steel by Two Indazole Derivatives in HCl Medium. Materials. 2019; 12(8):1339. https://doi.org/10.3390/ma12081339
Chicago/Turabian StyleXu, Shenying, Shengtao Zhang, Lei Guo, Li Feng, and Bochuan Tan. 2019. "Experimental and Theoretical Studies on the Corrosion Inhibition of Carbon Steel by Two Indazole Derivatives in HCl Medium" Materials 12, no. 8: 1339. https://doi.org/10.3390/ma12081339
APA StyleXu, S., Zhang, S., Guo, L., Feng, L., & Tan, B. (2019). Experimental and Theoretical Studies on the Corrosion Inhibition of Carbon Steel by Two Indazole Derivatives in HCl Medium. Materials, 12(8), 1339. https://doi.org/10.3390/ma12081339
