Fabrication of High Permittivity Resin Composite for Vat Photopolymerization 3D Printing: Morphology, Thermal, Dynamic Mechanical and Dielectric Properties
Abstract
1. Introduction
2. Materials and Methods
2.1. Preparation of the Composite Photopolymer Precursor
2.2. Characterisation Techniques
2.2.1. Vat Viscosity Measurements
2.2.2. Structural Characterisation
2.2.3. Thermal Dynamic Characterisation
2.2.4. Dielectric Characterisation
3. Results and Discussion
3.1. Precursor Characterization
3.2. Characterization of 3D Printed Samples
3.2.1. Surface Structure of 3D Printed Photopolymer Composites
3.2.2. Dielectric Properties of the 3D Printed Photopolymer Composites
3.2.3. Thermal Analysis of the 3D Printed Photopolymers
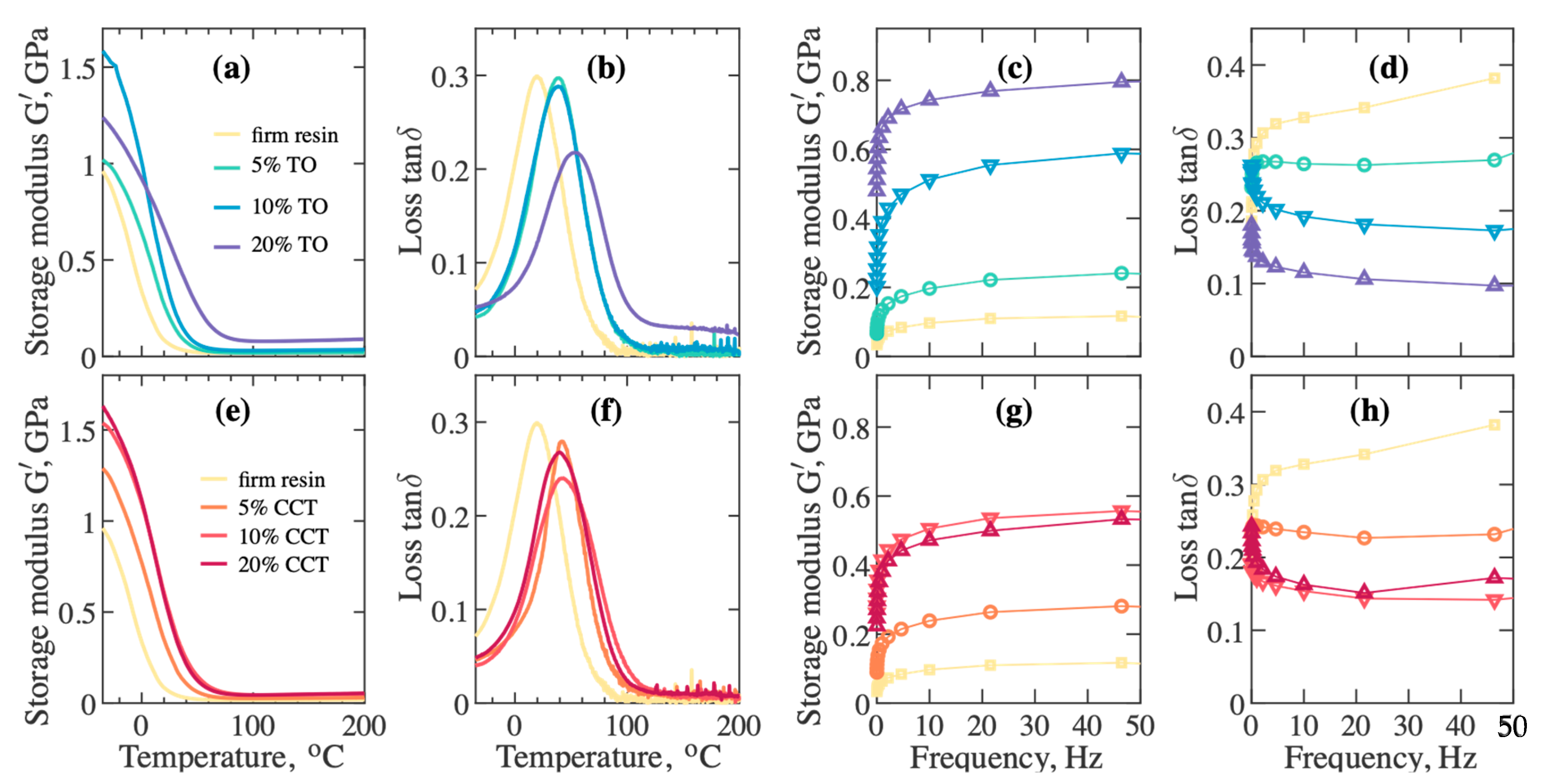
3.2.4. Dynamic Mechanical Analysis of the 3D Printed Photopolymer and Its Composites
4. Conclusions
Author Contributions
Funding
Conflicts of Interest
References
- ISO/ASTM 52900: Additive Manufacturing—General Principles—Terminology. Available online: https://www.iso.org/obp/ui/#iso:std:iso-astm:52900:ed-1:v1:en (accessed on 18 November 2019).
- Live Science. Available online: https://www.livescience.com/39810-fused-deposition-modeling.html (accessed on 18 November 2019).
- Live Science. Available online: https://www.livescience.com/38190-stereolithography.html (accessed on 18 November 2019).
- Gibson, I.; Rosen, D.; Stucker, B. Additive Manufacturing Technologies, 2nd ed.; Springer: New York, NY, USA, 2010. [Google Scholar] [CrossRef]
- Assefa, B.G.; Pekkarinen, M.; Partanen, H.; Biskop, J.; Turunen, J.; Saarinen, J. Imaging-quality 3D-printed centimeter-scale lens. Opt. Express 2019, 27, 12630–12637. [Google Scholar] [CrossRef] [PubMed]
- Vogt, D.W.; Anthony, J.; Leonhardt, R. Metallic and 3D-printed dielectric helical terahertz waveguides. Opt. Express 2015, 23, 33359–33369. [Google Scholar] [CrossRef] [PubMed]
- Van Putten, L.D.; Gorecki, J.; Fokoua, E.N.; Apostolopoulos, V.; Poletti, F. 3D-printed polymer antiresonant waveguides for short-reach terahertz applications. Appl. Opt. 2018, 57, 3953–3958. [Google Scholar] [CrossRef] [PubMed]
- Wu, Y.; Grant, P.S.; Isakov, D. 3D-printed λ/4 phase plate for broadband microwave applications. Opt. Express 2018, 26, 29068–29073. [Google Scholar] [CrossRef] [PubMed]
- Isakov, D.; Stevens, C.J.; Castles, F.; Grant, P.S. 3D-Printed High Dielectric Contrast Gradient Index Flat Lens for a Directive Antenna with Reduced Dimensions. Adv. Mater. Technol. 2016. [Google Scholar] [CrossRef]
- Monkevich, J.M.; Le Sage, G.P. Design and Fabrication of a Custom-Dielectric Fresnel Multi-Zone Plate Lens Antenna Using Additive Manufacturing Techniques. IEEE Access 2019, 7, 61452–61460. [Google Scholar] [CrossRef]
- Deffenbaugh, P.I.; Rumpf, R.C.; Church, K.H. Broadband Microwave Frequency Characterization of 3-D Printed Materials. IEEE Trans. Compon. Packag. Manuf. Technol. 2013, 3, 2147–2155. [Google Scholar] [CrossRef]
- Wu, Y.; Isakov, D.; Grant, P.S. Fabrication of Composite Filaments with High Dielectric Permittivity for Fused Deposition 3D Printing. Materials 2017, 10, 1218. [Google Scholar] [CrossRef]
- Tiller, B.; Reid, A.; Zhu, B.; Guerreiro, J.; Domingo-Roca, R.; Jackson, J.C.; Windmill, J.F.C. Piezoelectric microphone via a digital light processing 3D printing process. Mater. Des. 2019, 165, 107593. [Google Scholar] [CrossRef]
- Isakov, D.; Lei, Q.; Castles, F.; Stevens, C.J.; Grovenor, C.R.M.; Grant, P.S. 3D printed anisotropic dielectric composite with meta-material features. Mater. Des. 2016, 93, 423–430. [Google Scholar] [CrossRef]
- Shafranek, R.T.; Millik, C.; Smith, P.T.; Lee, C.U.; Boydston, A.J.; Nelson, A. Stimuli-responsive materials in additive manufacturing. Prog. Polym. Sci. 2019, 93, 36–67. [Google Scholar] [CrossRef]
- Melchels, F.; Feijen, J.; Grijpma, D. A Review on Stereolithography and Its Applications in Biomedical Engineering. Biomaterials 2010, 31, 6121–6130. [Google Scholar] [CrossRef] [PubMed]
- Choi, J.S.; Kang, H.W.; Lee, I.H.; Ko, T.J.; Cho, D.W. Development of Micro-Stereolithography Technology Using a UV Lamp and Optical Fiber. Int. J. Adv. Manuf. Technol. 2009, 41, 281–286. [Google Scholar] [CrossRef]
- Pham, D.T.; Ji, C. Design for Stereolithography. Proc. Inst. Mech. Eng. Part C J. Mech. Eng. Sci. 2000, 214, 635–640. [Google Scholar] [CrossRef]
- Ghoshal, S. Polymer/Carbon Nanotubes (CNT) Nanocomposites Processing Using Additive Manufacturing (Three-Dimensional Printing) Technique: An Overview. Fibers 2017, 5, 40. [Google Scholar] [CrossRef]
- Fu, K.; Yao, Y.Y.; Dai, J.Q.; Hu, L.B. Progress in 3D Printing of Carbon Materials for Energy Related Applications. Adv. Mater. 2017, 29. [Google Scholar] [CrossRef]
- Jin, Y.F.; Liu, C.C.; Chai, W.X.; Compaan, A.; Huang, Y. Self-Supporting Nanoclay as Internal Scaffold Material for Direct Printing of Soft Hydrogel Composite Structures in Air. ACS Appl. Mater. Interface 2017, 9, 17456–17465. [Google Scholar] [CrossRef]
- Zhai, X.Y.; Ma, Y.F.; Hou, C.Y.; Gao, F.; Zhang, Y.Y.; Ruan, C.S.; Pan, H.B.; Lu, W.J.; Liu, W.G. 3D-Printed High Strength Bioactive Supramolecular Polymer/Clay Nanocomposite Hydrogel Scaffold for Bone Regeneration. ACS Biomater. Sci. Eng. 2017, 3, 1109–1118. [Google Scholar] [CrossRef]
- Gonzalez, G.; Chiappone, A.; Roppolo, L.; Fantino, E.; Bertanna, V.; Perrucci, F.; Scaltrito, L.; Pirri, F.; Sangermano, M. Development of 3D Printable Formulations Containing CNT with Enhanced Electrical Properties. Polymer 2017, 109, 246–253. [Google Scholar] [CrossRef]
- Weng, Z.; Zhou, Y.; Lin, W.; Senthil, T.; Wu, L. Structure-property relationship of nano enhanced stereolithography resin for desktop SLA 3D printer. Compos. Part A Appl. Sci. Manuf. 2016, 88, 234–242. [Google Scholar] [CrossRef]
- Lin, D.; Jin, S.; Zhang, F.; Wang, C.; Wang, Y.; Zhou, C.; Cheng, G.J. 3D stereolithography printing of graphene oxide reinforced complex architectures. Nanotechnology 2015, 26, 434003. [Google Scholar] [CrossRef] [PubMed]
- Manapat, J.; Mangadlao, J.; Tiu, B.; Tritchler, G.; Advincula, R. High-strength stereolithographic 3D Printed nanocomposites: Graphene oxide metastability. ACS Appl. Mater. Interfaces 2017, 9, 10085–10093. [Google Scholar] [CrossRef] [PubMed]
- Sandoval, H., Jr.; Wicker, R.B. Functionalizing stereolithography resins: Effects of dispersed multi-walled carbon nanotubes on physical properties. Rapid Prototyp. J. 2006, 12, 292–303. [Google Scholar] [CrossRef]
- Zhang, Y.Y.; Li, H.M.; Yang, X.; Zhang, T.; Zhu, K.Q.; Si, W.; Liu, Z.L.; Sun, H.J. Additive Manufacturing of Carbon Nanotube-Photopolymer Composite Radar Absorbing Materials. Polym. Compos. 2016. [Google Scholar] [CrossRef]
- Otter, W.J.; Ridler, N.M.; Yasukochi, H.; Soeda, K.; Konishi, K.; Yumoto, J.; Kuwata-Gonokami, M.; Lucyszyn, S. 3D printed 1.1 THz waveguides. Electron. Lett. 2017, 53, 471–473. [Google Scholar] [CrossRef]
- Fullager, D.B.; Park, S.; Hovis, C.; Li, Y.; Reese, J.; Sharma, E.; Lee, S.; Evans, C.; Boreman, G.D.; Hofmann, T. Metalized Poly-methacrylate Off-Axis Parabolic Mirrors for Terahertz Imaging Fabricated by Additive Manufacturing. Int. J. Infrared Millim. Waves 2019, 40, 269–275. [Google Scholar] [CrossRef]
- Duangrit, N.; Hong, B.; Burnett, A.D.; Akkaraekthalin, P.; Robertson, I.D.; Somjit, N. Terahertz Dielectric Property Characterization of Photopolymers for Additive Manufacturing. IEEE Access 2019, 7, 12339–12347. [Google Scholar] [CrossRef]
- Xin, H.; Liang, M. 3-D-Printed Microwave and THz Devices Using Polymer Jetting Techniques. Proc. IEEE 2017, 105, 737–755. [Google Scholar] [CrossRef]
- Kotz, F.; Arnold, K.; Bauer, W.; Schild, D.; Keller, N.; Sachsenheimer, K.; Nargang, T.M.; Richter, C.; Helmer, D.; Rapp, B.E. Three-dimensional printing of transparent fused silica glass. Nature 2017, 544, 337–340. [Google Scholar] [CrossRef]
- Krupka, J.; Gregory, A.P.; Rochard, O.C.; Clarke, R.N.; Riddle, B.; Baker-Jarvis, J. Uncertainty of complex permittivity measurements by split-post dielectric resonator technique. J. Eur. Ceram. Soc. 2001, 21, 2673–2676. [Google Scholar] [CrossRef]
- Nicholson, A.M.; Ross, G.F. Measurement of the intrinsic properties of materials by time-domain techniques. IEEE Trans. Instrum. Meas. 1970, 19, 377–382. [Google Scholar] [CrossRef]
- Weir, W.B. Automatic measurement of complex dielectric constant and permeability at microwave frequencies. Proc. IEEE 1974, 62, 33–36. [Google Scholar] [CrossRef]
- Loryuenyong, V.; Jarunsak, N.; Chuangchai, T.; Buasri, A. The photocatalytic reduction of hexavalent chromium by controllable mesoporous anatase TiO2 nanoparticles. Adv. Mater. Sci. Eng. 2014. [Google Scholar] [CrossRef]
- Castro-Beltrán, A.; Luque, P.A.; Garrafa-Gálvez, H.E.; Vargas-Ortiz, R.A.; Hurtado-Macías, A.; Olivas, A.; Almaral-Sánchez, J.L.; Alvarado-Beltrán, C.G. Titanium butoxide molar ratio effect in the TiO2 nanoparticles size and methylene blue degradation. Optik 2018, 157, 890–894. [Google Scholar] [CrossRef]
- Ponce, M.A.; Ramirez, M.A.; Schipani, F.; Joanni, E.; Tomba, J.P.; Castro, M.S. Electrical behavior analysis of n-type CaCu3Ti4O12 thick films exposed to different atmospheres. J. Eur. Ceram. Soc. 2015, 35, 153–161. [Google Scholar] [CrossRef]
- Ahmadipour, M.; Ain, M.F.; Ahmad, Z.A. Fabrication of resistance type humidity sensor based on CaCu3Ti4O12 thick film. Measurement 2016, 94, 902–908. [Google Scholar] [CrossRef]
- Gong, Z.; Ostwald, C.; Hoinka, N.M.; Mohr, B.; Fuhrmann-Lieker, T.; Lorenz, A. Ferroelectric particles in LC and polymer composite test devices. Proc. SPIE 11092, Liquid Crystals XXIII, 110920U. Available online: https://doi.org/10.1117/12.2530502 (accessed on 29 August 2019).
- Mutsuddy, B.C. Rheology and mixing of ceramics mixtures used in plastic molding. In Chemical Processing of Ceramics; Lee, B.I., Pope, E.J.A., Eds.; Marcel Dekker Inc.: New York, NY, USA, 1994; pp. 239–261. [Google Scholar]
- Hinczewski, C.; Corbel, S.; Chartier, T. Stereolithography for the fabrication of the three-dimensional ceramic parts. Rapid Prototyp. J. 1998, 4, 104–111. [Google Scholar] [CrossRef]
- White, J.L.; Crowder, J.W. The influence of carbon black on the extrusion characteristics and rheological properties of elastomers: Polybutadiene and butadiene–styrene copolymer. J. Appl. Polym. Sci. 1974, 18, 1013–1038. [Google Scholar] [CrossRef]
- Han, C.D. Multiphase Flow in Polymer Processing; Academic Press: New York, NY, USA, 1981. [Google Scholar]
- Faitel’son, L.A.; Alekseenko, A.I. Effect of filler on the viscosity and viscoelasticity of melts of low-density polyethylene. Polym. Mech. 1977, 13, 118–122. [Google Scholar] [CrossRef]
- Starr, F.W.; Douglas, J.F.; Glotzer, S.C. Origin of particle clustering in a simulated polymer nanocomposite and its impact on rheology. J. Chem. Phys. 2003, 119, 1777. [Google Scholar] [CrossRef]
- Komissarenko, D.A.; Sokolov, P.S.; Evstigneeva, A.D.; Shmeleva, I.A.; Dosovitsky, A.E. Rheological and Curing Behavior of Acrylate-Based Suspensions for the DLP 3D Printing of Complex Zirconia Parts. Materials 2018, 11, 2350. [Google Scholar] [CrossRef] [PubMed]
- Gojzewski, H.; Sadej, M.; Andrzejewska, E.; Kokowska, M. Dataset for acrylate/silica nanoparticles formulations and photo-cured composites: Viscosity, filler dispersion and bulk Poisson׳s ratio. Data Brief 2017, 12, 528–534. [Google Scholar] [CrossRef] [PubMed]
- Rao, Y.; Qu, J.; Marinis, T. A precise numerical prediction of effective dielectric constant for polymer ceramic composites based on effective medium theory. IEEE Trans. Compon. Packag. Technol. 2000, 23, 680–683. [Google Scholar]
- An, Y.J.; Okino, H.; Yamamoto, T.; Ueda, S.; Deguchi, T. Microwave Dielectric Properties of Lossy Dielectric Composite Materials. Jpn. J. Appl. Phys. 2006, 45, 7489–7493. [Google Scholar] [CrossRef]
- Maensiri, S.; Thongbai, P. Giant dielectric permittivity observed in CaCu3Ti4O12/(Li,Ti) CaCu3Ti4O12/(Li,Ti)-doped NiO composites. Appl. Phys. Lett. 2007, 90. [Google Scholar] [CrossRef]
- Krohns, S.; Lunkenheimer, P.; Kant, C.; Pronin, A.V.; Brom, H.B.; Nugroho, A.A.; Diantoro, M.; Loidl, A. Colossal dielectric constant up to gigahertz at room temperature. Appl. Phys. Lett. 2009, 94, 122903. [Google Scholar] [CrossRef]
- Li, Y.; Li, W.; Du, G.; Chen, N. Low temperature preparation of CaCu3Ti4O12 ceramics with high permittivity and low dielectric loss. Ceram. Int. 2017, 43, 9178–9183. [Google Scholar] [CrossRef]
- Manchado, M.A.; Valentini, L.; Biagiotti, J.; Kenny, J.M. Thermal and mechanical properties of single-walled carbon nanotubes–polypropylene composites prepared by melt processing. Carbon 2005, 43, 1499–1505. [Google Scholar] [CrossRef]
- Badev, A.; Abouliatim, Y.; Chartier, T.; Lecamp, L.; Lebaudy, C.; Delage, C. Photopolymerization kinetics of a polyether acrylate in the presence of ceramic fillers used in stereolithography. J. Photochem. Photobiol. A 2011, 222, 117–122. [Google Scholar] [CrossRef]
- Çaykara, T.; Güven, O. Effect of filler type on the thermal degradation of inorganic filled poly (2-hydroxyethylmethacrylate) composites. Polym. Degrad. Stabil. 1998, 62, 267–270. [Google Scholar] [CrossRef]
- Jones, D.I.G. Handbook of Viscoelastic Vibration Damping; Wiley Inter Science: New York, NY, USA, 2001. [Google Scholar]
- Pozuelo, J.; Baselga, J. Glass transition temperature of low molecular weight poly(3-aminopropyl methyl siloxane). A molecular dynamics study. Polymer 2002, 43, 6049–6055. [Google Scholar] [CrossRef]
- Das, R.; Kumar, R.; Banerjee, S.L.; Kundu, P.P. Engineered elastomeric bio-nanocomposites from linseed oil/organoclay tailored for vibration damping. RSC Adv. 2014, 4, 59265–59274. [Google Scholar] [CrossRef]








| Samples | Tg (°C) | T0 (°C) | Tmax (°C) |
|---|---|---|---|
| Un-filled resin | 28.0 ± 3.4 | 324 ± 3.8 | 428 ± 2.8 |
| 5% TO | 39.5 ± 3.7 | 322 ± 2.9 | 418 ± 3.0 |
| 10% TO | 37.0 ± 2.9 | 305 ± 3.2 | 420 ± 3.5 |
| 20% TO | 43.0 ± 3.1 | 301 ± 2.8 | 405 ± 3.1 |
| 5% CCT | 39.0 ± 3.2 | 295 ± 3.0 | 428 ± 2.7 |
| 10% CCT | 36.0 ± 3.9 | 284 ± 3.0 | 422 ± 3.0 |
| 20% CCT | 35.0 ± 3.5 | 281 ± 3.2 | 409 ± 2.9 |
© 2019 by the authors. Licensee MDPI, Basel, Switzerland. This article is an open access article distributed under the terms and conditions of the Creative Commons Attribution (CC BY) license (http://creativecommons.org/licenses/by/4.0/).
Share and Cite
Malas, A.; Isakov, D.; Couling, K.; Gibbons, G.J. Fabrication of High Permittivity Resin Composite for Vat Photopolymerization 3D Printing: Morphology, Thermal, Dynamic Mechanical and Dielectric Properties. Materials 2019, 12, 3818. https://doi.org/10.3390/ma12233818
Malas A, Isakov D, Couling K, Gibbons GJ. Fabrication of High Permittivity Resin Composite for Vat Photopolymerization 3D Printing: Morphology, Thermal, Dynamic Mechanical and Dielectric Properties. Materials. 2019; 12(23):3818. https://doi.org/10.3390/ma12233818
Chicago/Turabian StyleMalas, Asish, Dmitry Isakov, Kevin Couling, and Gregory J. Gibbons. 2019. "Fabrication of High Permittivity Resin Composite for Vat Photopolymerization 3D Printing: Morphology, Thermal, Dynamic Mechanical and Dielectric Properties" Materials 12, no. 23: 3818. https://doi.org/10.3390/ma12233818
APA StyleMalas, A., Isakov, D., Couling, K., & Gibbons, G. J. (2019). Fabrication of High Permittivity Resin Composite for Vat Photopolymerization 3D Printing: Morphology, Thermal, Dynamic Mechanical and Dielectric Properties. Materials, 12(23), 3818. https://doi.org/10.3390/ma12233818

