3D-Printed Sievenpiper Metasurface Using Conductive Filaments
Abstract
1. Introduction
2. Metasurface Structure Design
2.1. Sievenpiper “Mushroom-Like” Metasurface
2.2. Construction Considerations on the Design
3. High-Frequency Simulation Results
3.1. Unit Cell Design
3.2. Metasurface Inside a Parallel Plate Simulation
3.3. Metasurface with a Suspended Microstrip Line
4. Fabrication and Measurement Results
4.1. Metasurface Fabrication
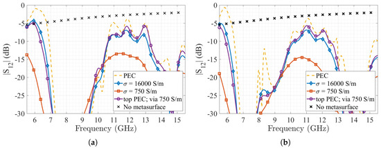
4.2. Measurement Results
5. Conclusions
Author Contributions
Funding
Acknowledgments
Conflicts of Interest
References
- Ziolkowski, R.W.; Heyman, E. Wave propagation in media having negative permittivity and permeability. Phys. Rev. E 2001, 64, 056625. [Google Scholar] [CrossRef] [PubMed]
- Smith, D.R.; Pendry, J.B.; Wiltshire, M.C. Metamaterials and negative refractive index. Science 2004, 305, 788–792. [Google Scholar] [CrossRef]
- Veselago, V.G. The electrodynamics of substances with simultaneously negative values of and μ. Sov. Phys. Uspekhi 1968, 10, 509. [Google Scholar] [CrossRef]
- Smith, D.R.; Padilla, W.J.; Vier, D.; Nemat-Nasser, S.C.; Schultz, S. Composite medium with simultaneously negative permeability and permittivity. Phys. Rev. Lett. 2000, 84, 4184. [Google Scholar] [CrossRef]
- Pendry, J. Electromagnetic materials enter the negative age. Phys. World 2001, 14, 47. [Google Scholar] [CrossRef]
- Khan, T.A.; Li, J.; Chen, J.; Raza, M.U.; Zhang, A. Design of a Low Scattering Metasurface for Stealth Applications. Materials 2019, 12, 3031. [Google Scholar] [CrossRef]
- Li, J.; Khan, T.A.; Chen, J.; Raza, M.U.; Zhang, A. Design of Low RCS Circularly Polarized Patch Antenna Array Using Metasurface for CNSS Adaptive Antenna Applications. Materials 2019, 12, 1898. [Google Scholar] [CrossRef] [PubMed]
- Liu, Z.; Qi, L.; Shah, S.; Sun, D.; Li, B. Design of Broad Stopband Filters Based on Multilayer Electromagnetically Induced Transparency Metamaterial Structures. Materials 2019, 12, 841. [Google Scholar] [CrossRef]
- Ali Esmail, B.; Majid, H.A.; Zainal Abidin, Z.; Haimi Dahlan, S.; Himdi, M.; Dewan, R.; Kamal A Rahim, M.; Al-Fadhali, N. Reconfigurable Radiation Pattern of Planar Antenna Using Metamaterial for 5G Applications. Materials 2020, 13, 582. [Google Scholar] [CrossRef] [PubMed]
- Kildal, P.; Alfonso, E.; Valero-Nogueira, A.; Rajo-Iglesias, E. Local Metamaterial-Based Waveguides in Gaps Between Parallel Metal Plates. IEEE Antennas Wirel. Propag. Lett. 2009, 8, 84–87. [Google Scholar] [CrossRef]
- Rajo-Iglesias, E.; Kildal, P.; Zaman, A.U.; Kishk, A. Bed of Springs for Packaging of Microstrip Circuits in the Microwave Frequency Range. IEEE Trans. Components Packag. Manuf. Technol. 2012, 2, 1623–1628. [Google Scholar] [CrossRef]
- Sievenpiper, D.; Zhang, L.; Broas, R.F.J.; Alexopolous, N.G.; Yablonovitch, E. High-impedance electromagnetic surfaces with a forbidden frequency band. IEEE Trans. Microw. Theory Tech. 1999, 47, 2059–2074. [Google Scholar] [CrossRef]
- Fernández Álvarez, H.; de Cos Gómez, M.E.; Las-Heras Andrés, F. On the Broadening of Single-Layer Metasurface Bandwidth by Coupling Resonances. Materials 2020, 13, 2063. [Google Scholar] [CrossRef] [PubMed]
- Kim, M. A Miniaturized Electromagnetic Bandgap Structure Using an Inductance-Enhanced Patch for Suppression of Parallel Plate Modes in Packages and PCBs. Electronics 2018, 7, 76. [Google Scholar] [CrossRef]
- Zaman, A.U.; Alexanderson, M.; Vukusic, T.; Kildal, P. Gap Waveguide PMC Packaging for Improved Isolation of Circuit Components in High-Frequency Microwave Modules. IEEE Trans. Components Packag. Manuf. Technol. 2014, 4, 16–25. [Google Scholar] [CrossRef]
- Pucci, E.; Rajo-Iglesias, E.; Kildal, P. New Microstrip Gap Waveguide on Mushroom-Type EBG for Packaging of Microwave Components. IEEE Microw. Wirel. Components Lett. 2012, 22, 129–131. [Google Scholar] [CrossRef]
- Rajo-Iglesias, E.; Zaman, A.U.; Kildal, P. Parallel Plate Cavity Mode Suppression in Microstrip Circuit Packages Using a Lid of Nails. IEEE Microw. Wirel. Components Lett. 2010, 20, 31–33. [Google Scholar] [CrossRef]
- Rajo-Iglesias, E.; Ebrahimpouri, M.; Quevedo-Teruel, O. Wideband Phase Shifter in Groove Gap Waveguide Technology Implemented With Glide-Symmetric Holey EBG. IEEE Microw. Wirel. Components Lett. 2018, 28, 476–478. [Google Scholar] [CrossRef]
- Pucci, E.; Rajo-Iglesias, E.; Vázquez-Roy, J.; Kildal, P. Planar Dual-Mode Horn Array With Corporate-Feed Network in Inverted Microstrip Gap Waveguide. IEEE Trans. Antennas Propag. 2014, 62, 3534–3542. [Google Scholar] [CrossRef]
- Wang, L.; Gómez-Tornero, J.L.; Rajo-Iglesias, E.; Quevedo-Teruel, O. Low-Dispersive Leaky-Wave Antenna Integrated in Groove Gap Waveguide Technology. IEEE Trans. Antennas Propag. 2018, 66, 5727–5736. [Google Scholar] [CrossRef]
- Addamo, G.; Peverini, O.A.; Lumia, M.; Virone, G.; Tascone, R.; Calignano, F.; Manfredi, D. Experimental research activity on additive manufacturing of microwave passive waveguide components. In Proceedings of the 2017 47th European Microwave Conference (EuMC), Nuremberg, Germany, 10–12 October 2017; pp. 496–499. [Google Scholar] [CrossRef]
- Yurduseven, O.; Flowers, P.; Ye, S.; Marks, D.L.; Gollub, J.N.; Fromenteze, T.; Wiley, B.J.; Smith, D.R. Computational microwave imaging using 3D printed conductive polymer frequency-diverse metasurface antennas. IET Microw. Antennas Propag. 2017, 11, 1962–1969. [Google Scholar] [CrossRef]
- Kim, C.; Espalin, D.; Liang, M.; Xin, H.; Cuaron, A.; Varela, I.; Macdonald, E.; Wicker, R.B. 3D Printed Electronics With High Performance, Multi-Layered Electrical Interconnect. IEEE Access 2017, 5, 25286–25294. [Google Scholar] [CrossRef]
- Vaezi, M.; Seitz, H.; Yang, S. A review on 3D micro-additive manufacturing technologies. Int. J. Adv. Manuf. Technol. 2013, 67, 1721–1754. [Google Scholar] [CrossRef]
- Johnson, K.; Zemba, M.; Conner, B.P.; Walker, J.; Burden, E.; Rogers, K.; Cwiok, K.R.; Macdonald, E.; Cortes, P. Digital Manufacturing of Pathologically-Complex 3D Printed Antennas. IEEE Access 2019, 7, 39378–39389. [Google Scholar] [CrossRef]
- Bahr, R.A.; Fang, Y.; Su, W.; Tehrani, B.; Palazzi, V.; Tentzeris, M.M. Novel uniquely 3D printed intricate Voronoi and fractal 3D antennas. In Proceedings of the 2017 IEEE MTT-S International Microwave Symposium (IMS), Honolulu, HI, USA, 4–9 June 2017; pp. 1583–1586. [Google Scholar] [CrossRef]
- Shang, X.; Penchev, P.; Guo, C.; Lancaster, M.J.; Dimov, S.; Dong, Y.; Favre, M.; Billod, M.; de Rijk, E. W-Band Waveguide Filters Fabricated by Laser Micromachining and 3-D Printing. IEEE Trans. Microw. Theory Tech. 2016, 64, 2572–2580. [Google Scholar] [CrossRef]
- van der Vorst, M.; Gumpinger, J. Applicability of 3D printing techniques for compact Ku-band medium/high-gain antennas. In Proceedings of the 2016 10th European Conference on Antennas and Propagation (EuCAP), Davos, Switzerland, 10–15 April 2016; pp. 1–4. [Google Scholar]
- Pizarro, F.; Salazar, R.; Rajo-Iglesias, E.; Rodríguez, M.; Fingerhuth, S.; Hermosilla, G. Parametric Study of 3D Additive Printing Parameters Using Conductive Filaments on Microwave Topologies. IEEE Access 2019, 7, 106814–106823. [Google Scholar] [CrossRef]
- Roy, S.; Qureshi, M.B.; Asif, S.; Braaten, B.D. A model for 3D-printed microstrip transmission lines using conductive electrifi filament. In Proceedings of the 2017 IEEE International Symposium on Antennas and Propagation USNC/URSI National Radio Science Meeting, San Diego, CA, USA, 9–14 July 2017; pp. 1099–1100. [Google Scholar] [CrossRef]
- Piekarz, I.; Sorocki, J.; Slomian, I.; Wincza, K.; Gruszczynski, S. Experimental Verification of 3D Printed Low-Conductivity Graphene-Enhanced PLA Absorbers for Back Lobe Suppression in Aperture-Coupled Antennas. In Proceedings of the 2018 IEEE-APS Topical Conference on Antennas and Propagation in Wireless Communications (APWC), Cartagena des Indias, Colombia, 10–14 September 2018; pp. 780–782. [Google Scholar] [CrossRef]
- Li, Y.; Ge, L.; Wang, J.; Da, S.; Cao, D.; Wang, J.; Liu, Y. 3D Printed High-Gain Wideband Waveguide Fed Horn Antenna Arrays for Millimeter-Wave Applications. IEEE Trans. Antennas Propag. 2019, 67, 2868–2877. [Google Scholar] [CrossRef]
- Multi3D Website. Available online: https://www.multi3dllc.com/ (accessed on 20 April 2020).
- Black Magic 3D Website. Available online: https://www.blackmagic3d.com/ (accessed on 20 April 2020).
- Proto-Pasta Website. Available online: https://www.proto-pasta.com/ (accessed on 20 April 2020).
- Ocular 3D Website. Available online: http://ocular3d.cl/ (accessed on 20 April 2020).
- E3D Website. Available online: https://e3d-online.com (accessed on 20 April 2020).
- Sakata 3D Website. Available online: https://sakata3d.com/ (accessed on 20 April 2020).
- Hessel, A.; Chen, M.H.; Li, R.C.M.; Oliner, A.A. Propagation in periodically loaded waveguides with higher symmetries. Proc. IEEE 1973, 61, 183–195. [Google Scholar] [CrossRef]
- Engheta, N.; Ziolkowski, R. Metamaterials: Physics and Engineering Explorations; Wiley: Hoboken, NJ, USA, 2006. [Google Scholar]
- Memeletzoglou, N.; Sanchez-Cabello, C.; Pizarro-Torres, F.; Rajo-Iglesias, E. Analysis of Periodic Structures Made of Pins Inside a Parallel Plate Waveguide. Symmetry 2019, 11, 582. [Google Scholar] [CrossRef]
- 3DS Website, CST. Available online: https://www.3ds.com/ (accessed on 5 May 2020).
- Ayop, O.; A Rahim, M.K. Analysis of mushroom-like electromagnetic band gap structure using suspended transmission line technique. In Proceedings of the 2011 IEEE International RF Microwave Conference, Seremban, Negeri Sembilan, Malaysia, 12–14 December 2011; pp. 258–261. [Google Scholar]
- Kim, M.J.; Cruz, M.A.; Ye, S.; Gray, A.L.; Smith, G.L.; Lazarus, N.; Walker, C.J.; Sigmarsson, H.H.; Wiley, B.J. One-step electrodeposition of copper on conductive 3D printed objects. Addit. Manuf. 2019, 27, 318–326. [Google Scholar] [CrossRef]
- Brazalez, A.; Rajo-Iglesias, E.; Vazquez-Roy, J.L.; Vosoogh, A.; Kildal, P.S. Design and Validation of Microstrip Gap Waveguides and Their Transitions to Rectangular Waveguide, for Millimeter-Wave Applications. IEEE Trans. Microw. Theory Tech. 2015, 63, 4035–4050. [Google Scholar] [CrossRef]
- Pucci, E.; Zaman, A.U.; Rajo-Iglesias, E.; Kildal, P.; Kishk, A. Study of Q-factors of ridge and groove gap waveguide resonators. IET Microw. Antennas Propag. 2013, 7, 900–908. [Google Scholar] [CrossRef]
- Ultimaker Cura Website. Available online: https://ultimaker.com/ (accessed on 5 April 2020).
















| Printer Parameter | Value |
|---|---|
| Maximum printing volume | 190 × 190 × 190 mm |
| Axis resolution | 100 m in all axis (xyz) |
| Hot-end model | Two E3DV6 [37] |
| Hot-end T range | 120 to 280 C |
| Platform maximum T | 100 C |
| Printing Setting | Extruder 1 | Extruder 2 |
|---|---|---|
| Layer height | 0.2 mm | 0.2 mm |
| Wall Thickness | 0.4 mm | 0.8 mm |
| Infill percentage | 100% | 100% |
| Infill pattern | lines | lines |
| Printing temperature | 160 C | 210 C |
| Stand-by temperature | 145 C | 190 C |
| Printing speed | 15 mm/s | 40 mm/s |
| Z hop when retracted | Yes | Yes |
| Cooling fan | 100% | 100% |
| Flow | 120% | 100% |
© 2020 by the authors. Licensee MDPI, Basel, Switzerland. This article is an open access article distributed under the terms and conditions of the Creative Commons Attribution (CC BY) license (http://creativecommons.org/licenses/by/4.0/).
Share and Cite
Stuardo, P.; Pizarro, F.; Rajo-Iglesias, E. 3D-Printed Sievenpiper Metasurface Using Conductive Filaments. Materials 2020, 13, 2614. https://doi.org/10.3390/ma13112614
Stuardo P, Pizarro F, Rajo-Iglesias E. 3D-Printed Sievenpiper Metasurface Using Conductive Filaments. Materials. 2020; 13(11):2614. https://doi.org/10.3390/ma13112614
Chicago/Turabian StyleStuardo, Pablo, Francisco Pizarro, and Eva Rajo-Iglesias. 2020. "3D-Printed Sievenpiper Metasurface Using Conductive Filaments" Materials 13, no. 11: 2614. https://doi.org/10.3390/ma13112614
APA StyleStuardo, P., Pizarro, F., & Rajo-Iglesias, E. (2020). 3D-Printed Sievenpiper Metasurface Using Conductive Filaments. Materials, 13(11), 2614. https://doi.org/10.3390/ma13112614

