Generalized Dynamic Analytical Model of Piezoelectric Materials for Characterization Using Electrical Impedance Spectroscopy
Abstract
1. Introduction
2. Materials and Methods
3. Results and Discussion
3.1. Application to the 3m
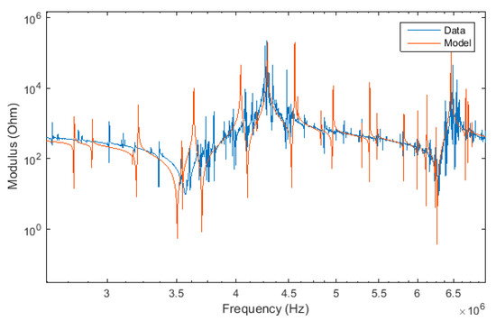
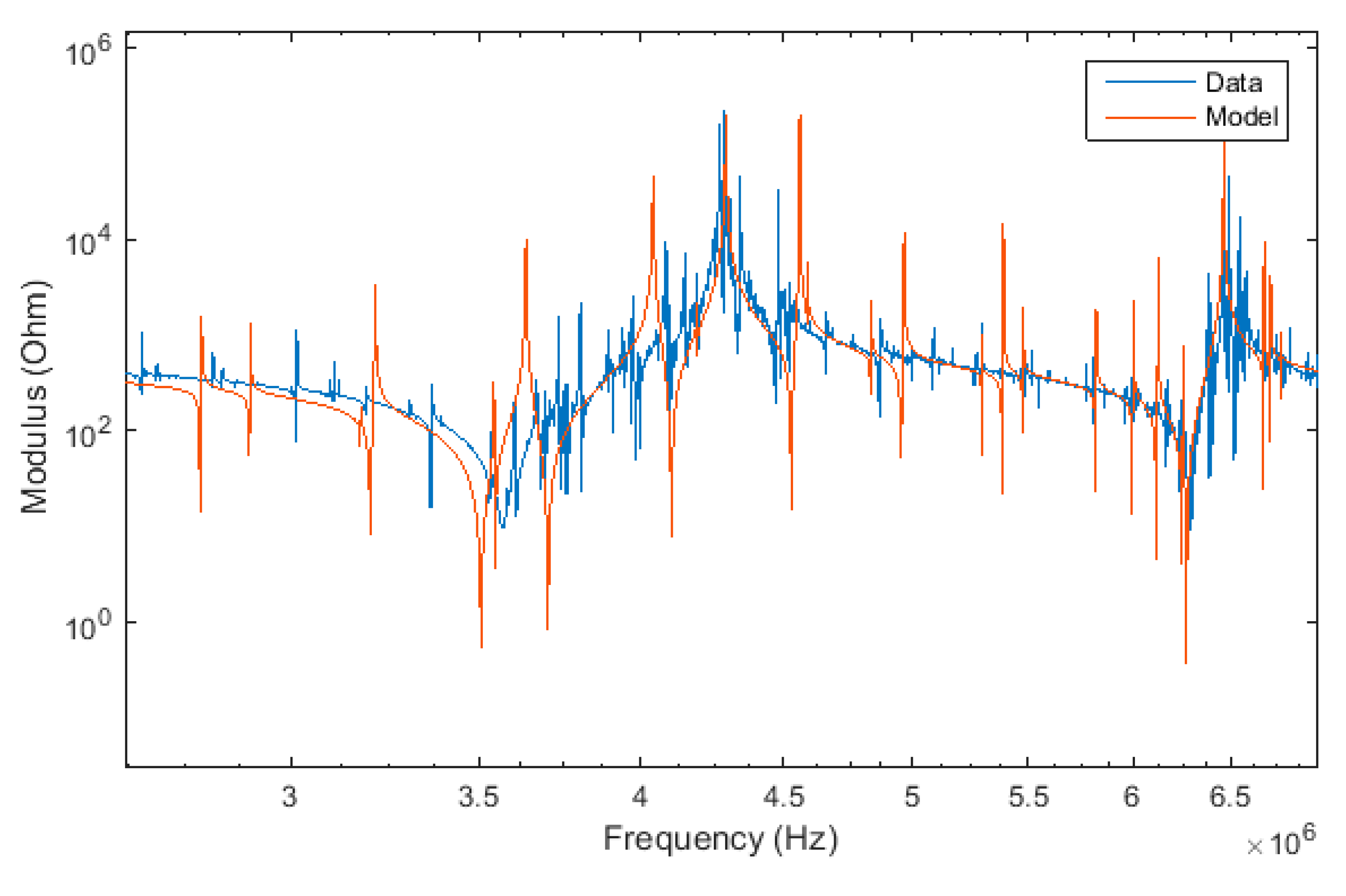
3.2. Experimental Illustration
3.3. Experimental Observations Predicted by Analytical Model
4. Conclusions
Author Contributions
Funding
Conflicts of Interest
References
- Magnusson, E.B.; Williams, B.H.; Manenti, R.; Nam, M.-S.; Nersisyan, A.; Peterer, M.J.; Ardavan, A.; Leek, P.J. Surface acoustic wave devices on bulk ZnO crystals at low temperature. Appl. Phys. Lett. 2015, 106, 63509. [Google Scholar] [CrossRef]
- Zhou, Q.; Lam, K.H.; Zheng, H.; Qiu, W.; Shung, K.K. Piezoelectric single crystal ultrasonic transducers for biomedical applications. Prog. Mater. Sci. 2014, 66, 87–111. [Google Scholar] [CrossRef] [PubMed]
- Wu, W.; Wang, L.; Li, Y.; Zhang, F.; Lin, L.; Niu, S.; Chenet, D.; Zhang, X.; Hao, Y.; Heinz, T.F.; et al. Piezoelectricity of single-atomic-layer MoS2 for energy conversion and piezotronics. Nature 2014, 514. [Google Scholar] [CrossRef] [PubMed]
- Catarino, S.O.; Silva, L.R.; Mendes, P.M.; Miranda, J.M.; Lanceros-Mendez, S.; Minas, G. Piezoelectric actuators for acoustic mixing in microfluidic devices—Numerical prediction and experimental validation of heat and mass transport. Sens. Actuators B Chem. 2014, 205, 206–214. [Google Scholar] [CrossRef]
- Lu, Y.; Tang, H.; Fung, S.; Wang, Q.; Tsai, J.M.; Daneman, M.; Boser, B.E.; Horsley, D.A. Ultrasonic fingerprint sensor using a piezoelectric micromachined ultrasonic transducer array integrated with complementary metal oxide semiconductor electronics. Appl. Phys. Lett. 2015, 106. [Google Scholar] [CrossRef]
- Kwok, K.W.; Chan, H.L.W.; Choy, C.L. Evaluation of the material parameters of piezoelectric materials by various methods. IEEE Trans. Ultrason. Ferroelectr. Freq. Control 1997, 44, 733–742. [Google Scholar] [CrossRef]
- Shen, C.; Zhang, H.; Cong, H.; Yu, H.; Wang, J. Investigations on the thermal and piezoelectric properties of fresnoite Ba2TiSi2O8 single crystals. J. Appl. Phys. 2014, 116, 44106. [Google Scholar] [CrossRef]
- Newnham, R.E.; Skinner, D.P.; Cross, L.E. Connectivity and piezoelectric-pyroelectric composites. Mater. Res. Bull. 1978, 13, 525–536. [Google Scholar] [CrossRef]
- Jaffe, B.; Cook, W.R.; Jaffe, H.L. Piezoelectric Ceramics; Academic Press: Cambridge, MA, USA, 1971; ISBN 9780123795502. [Google Scholar]
- Pérez, N.; Buiochi, F.; Andrade, M.A.; Adamowski, J.C. Numerical Charcterization of Piezoceramics Using Resonance Curves. Materials 2016, 9, 71. [Google Scholar] [CrossRef]
- Lian, Y.; He, X.; Shi, S.; Li, X.; Yang, Z.; Sun, J. A Mult-Parameter Pertubation Solution for Functionally Graded Piezoelectric Cantilever Beams under Combined Loads. Materials 2018, 11, 1222. [Google Scholar] [CrossRef]
- Pérez, N.; Carbonari, R.C.; Andrade, M.A.; Buiochi, F.; Adamowski, J.C. A FEM-based method to determine the complex material properties of piezoelectric disks. Ultrasonics 2014, 54, 6. [Google Scholar] [CrossRef]
- Pérez, N.; Andrade, M.A.; Buiochi, F.; Adamowski, J.C. Identification of elastic, dielectric, and piezoelectric constants in piezoceramic disks. IEEE Trans. Ultrason. Ferroelectr. Freq. Control 2010, 57, 2772–2783. [Google Scholar] [CrossRef]
- Zhu, S.; Jiang, B.; Cao, W. Characterization of piezoelectric materials using ultrasonic and resonant techniques. Proc. SPIE 1998, 3341, 154–162. [Google Scholar] [CrossRef]
- Richter, B.; Twiefel, J.; Wallaschek, J. Piezoelectric Equivalent Circuit Models. In Energy Harvesting Technologies SE—4; Springer: Boston, MA, USA, 2009; pp. 107–128. ISBN 978-0-387-76463-4. [Google Scholar]
- Gerhardt, R. Causes of Dielectric Dispersion in Ferroelectric Materials. Ceram. Trans. 1997, 88, 41–60. [Google Scholar]
- Li, S.; Zheng, L.; Jiang, W.; Sahul, R.; Gopalan, V.; Cao, W. Characterization of full set material constants of piezoelectric materials based on ultrasonic method and inverse impedance spectroscopy using only one sample. J. Appl. Phys. 2013, 114, 104505. [Google Scholar] [CrossRef]
- Van Dyke, K.S. The Piezo-Electric Resonator and Its Equivalent Network. Proc. Inst. Radio Eng. 1928, 16, 742–764. [Google Scholar] [CrossRef]
- Larson, J.D.; Bradley, P.D.; Wartenberg, S.; Ruby, R.C. Modified Butterworth-Van Dyke circuit for FBAR resonators and automated measurement system. In Proceedings of the IEEE Ultrasonics Symposium, San Juan, PR, USA, 22–25 October 2000; Volume 1, pp. 863–868. [Google Scholar]
- Jin, H.; Dong, S.R.; Luo, J.K.; Milne, W.I. Generalised Butterworth-Van Dyke equivalent circuit for thin-film bulk acoustic resonator. Electron. Lett. 2011, 47, 424. [Google Scholar] [CrossRef]
- Brissaud, M. Characterization of Piezoceramics. IEEE Trans. Ultrason. Ferroelectr. Freq. Control 1991, 38, 603–617. [Google Scholar] [CrossRef]
- Brissaud, M. Three-dimensional modeling of piezoelectric materials. IEEE Trans. Ultrason. Ferroelectr. Freq. Control 2010, 57, 2051–2065. [Google Scholar] [CrossRef]
- Cao, W.; Zhu, S.; Jiang, B. Analysis of shear modes in a piezoelectric vibrator. J. Appl. Phys. 1998, 83, 4415–4420. [Google Scholar] [CrossRef][Green Version]
- Morse, P.M. Vibration and Sound; McGraw-Hill: New York, NY, USA, 1948; Volume 2. [Google Scholar]
- Auld, B.A. Acoustic Fields and Waves in Solids; Krieger Pub Co: Malabar, FL, USA, 1975; Volume II, ISBN 0894644904. [Google Scholar]
- Berg, Q. Lecture Notes on The Mechanics of Elastic Solids Volume II: Continuum Mechanics; Massachusetts Institute of Technology: Cambridge, MA, USA, 2012; Volume 2, ISBN 0-07-040663-4. [Google Scholar]
- Dineva, P.; Gross, D.; Müller, R.; Rangelov, T. Dynamic Fracture of Piezoelectric Materials. AMC 2014, 10. [Google Scholar] [CrossRef]
- Nye, J.F. Physical Properties of Crystals: Their Representation by Tensors and Matrices; Oxford University Press: Oxford, UK, 1985. [Google Scholar]
- Kholkin, A.L.; Pertsev, N.A.; Goltsev, A.V. Piezoelectricity and crystal symmetry. Piezoelectric Acoust. Mater. Transducer Appl. 2008, 17–38. [Google Scholar] [CrossRef]
- Warner, A.W.; Onoe, M.; Coquin, G.A. Determination of Elastic and Piezoelectric Constants for Crystals in Class (3m). J. Acoust. Soc. Am. 1967, 42, 1223. [Google Scholar] [CrossRef]
- Meitzler, A.; Tiersten, H.F.; Warner, A.W.; Berlincourt, D.; Couqin, G.A.; Welsh, F.S., III. IEEE Standard on Piezoelectricity; The Institute of Electrical and Electronics Engineers: Piscataway, NJ, USA, 1988. [Google Scholar]
- Sherrit, S.; Mukherjee, B.K. Characterization of Piezoelectric Materials for Transducers. 2007. Available online: https://arxiv.org/ftp/arxiv/papers/0711/0711.2657.pdf (accessed on 7 August 2019).
- Weis, R.S.; Gaylord, T.K. Lithium niobate: Summary of physical properties and crystal structure. Appl. Phys. A Solids Surfaces 1985, 37, 191–203. [Google Scholar] [CrossRef]
- Ambrosy, A.; Holdik, K. Piezoelectric PVDF films as ultrasonic transducers. J. Phys. E 2000, 17, 856–859. [Google Scholar] [CrossRef]
- Mezheritsky, A.V. Elastic, dielectric, and piezoelectric losses in piezoceramics: How it works all together. IEEE Trans. Ultrason. Ferroelectr. Freq. Control 2004, 51, 695–707. [Google Scholar] [CrossRef]
- De Castilla, H.; Bélanger, P.; Zednik, R.J. High temperature characterization of piezoelectric lithium niobate using electrochemical impedance spectroscopy resonance method. J. Appl. Phys. 2017, 122, 244103. [Google Scholar] [CrossRef]
- Zhang, S.; Yu, F. Piezoelectric materials for high temperature sensors. J. Am. Ceram. Soc. 2011, 94, 3153–3170. [Google Scholar] [CrossRef]




| ai | Half dimension of the sample along the direction xi (m) | T | Time (s) |
| CE | Stiffness matrix under constant electric field (N/m2) | U | Displacement field (m) |
| CD | Stiffness matrix under constant dielectric displacement field (N/m2) | V | Electrical potential of the top electrode (V) |
| D | Dielectric displacement field (C/m2) | Z | Electrical impedance of the sample (Ω) |
| E | Electric field (V/m) | α | Wave number (rad/m) |
| e | Piezoelectric stress constant matrix (C/m2) | εS | Permittivity under constant strain field (F/m) |
| h | Piezoelectric stress modulus matrix (N/C) | ε′ | Permittivity’s real part (F/m) |
| j | Imaginary unit | ε″ | Permittivity’s imaginary part (F/m) |
| Q | Electric Charge (C) | ηE | Mechanical loss factor under constant electric field (N∙s/m2) |
| S | Strain tensor (1) | σ | Electrical conductivity (S/m) |
| T | Stress tensor (N/m2) | ω | Pulsation of the sample (rad/s) |
© 2019 by the authors. Licensee MDPI, Basel, Switzerland. This article is an open access article distributed under the terms and conditions of the Creative Commons Attribution (CC BY) license (http://creativecommons.org/licenses/by/4.0/).
Share and Cite
de Castilla, H.; Bélanger, P.; Zednik, R.J. Generalized Dynamic Analytical Model of Piezoelectric Materials for Characterization Using Electrical Impedance Spectroscopy. Materials 2019, 12, 2502. https://doi.org/10.3390/ma12162502
de Castilla H, Bélanger P, Zednik RJ. Generalized Dynamic Analytical Model of Piezoelectric Materials for Characterization Using Electrical Impedance Spectroscopy. Materials. 2019; 12(16):2502. https://doi.org/10.3390/ma12162502
Chicago/Turabian Stylede Castilla, Hector, Pierre Bélanger, and Ricardo J. Zednik. 2019. "Generalized Dynamic Analytical Model of Piezoelectric Materials for Characterization Using Electrical Impedance Spectroscopy" Materials 12, no. 16: 2502. https://doi.org/10.3390/ma12162502
APA Stylede Castilla, H., Bélanger, P., & Zednik, R. J. (2019). Generalized Dynamic Analytical Model of Piezoelectric Materials for Characterization Using Electrical Impedance Spectroscopy. Materials, 12(16), 2502. https://doi.org/10.3390/ma12162502

