An Overview of Recent Standard and Accelerated Molecular Dynamics Simulations of Helium Behavior in Tungsten
Abstract
1. Introduction
2. Reflection and Implantation of He Atoms
3. Kinetics of He Clusters
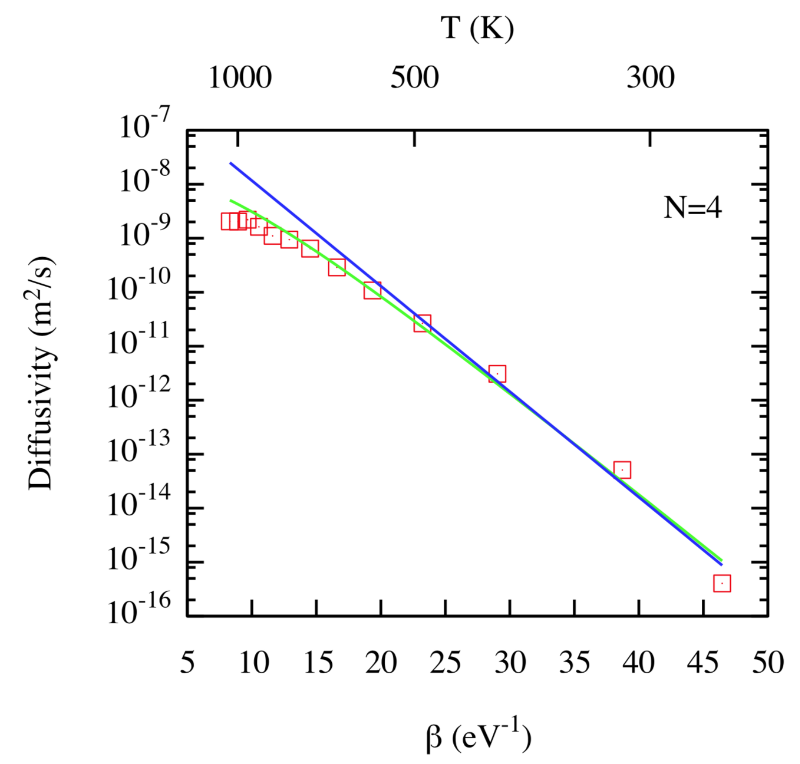
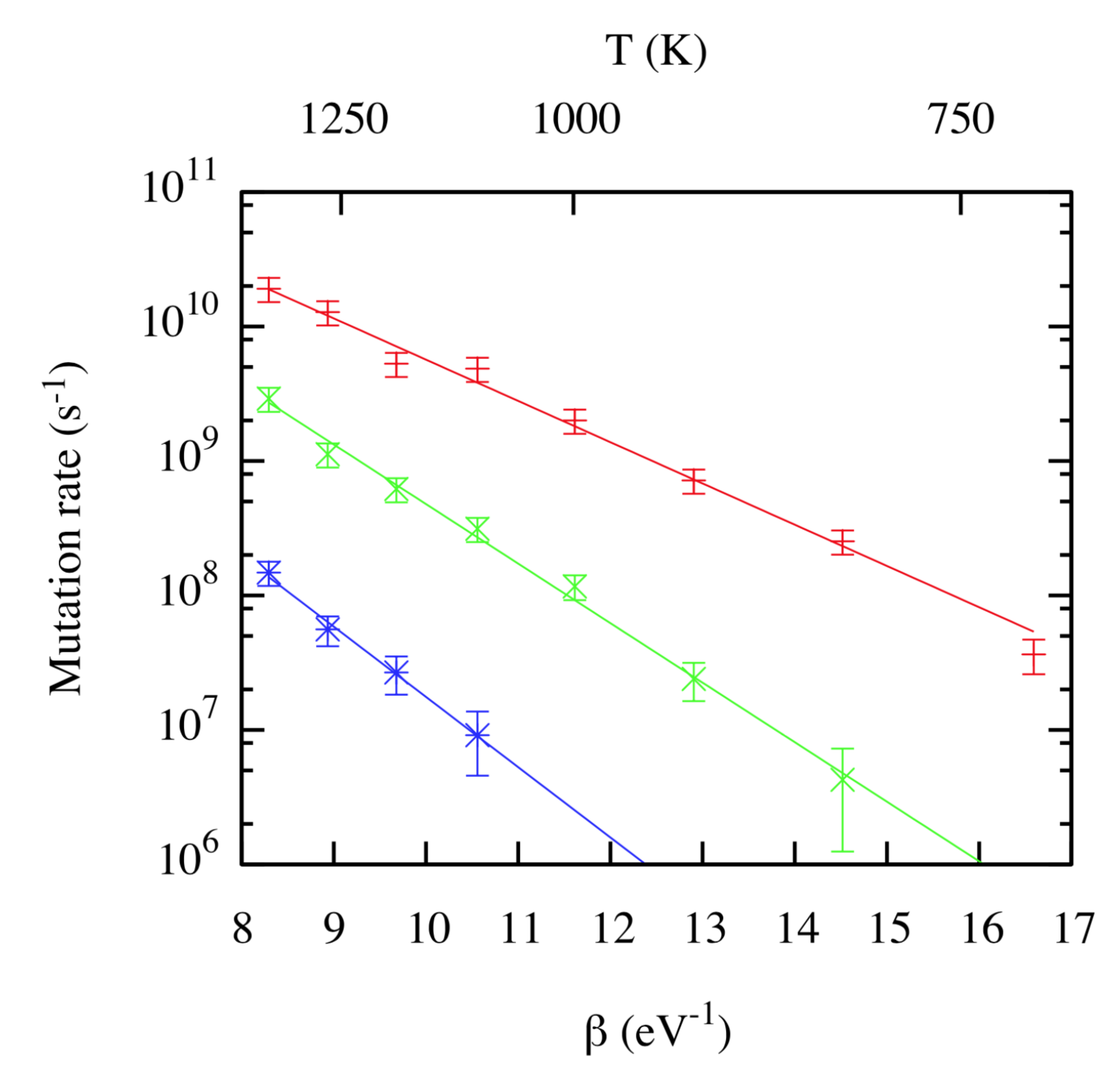
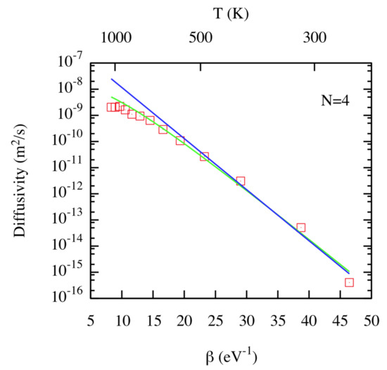
3.1. Mobility of Small He Clusters and Trap Mutation
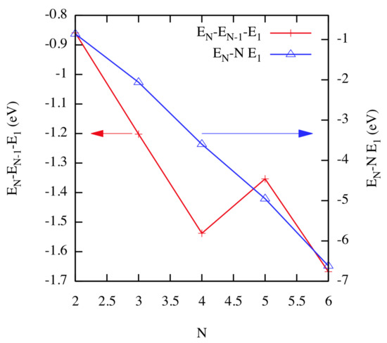
3.2. Mobility of Small Vacancy/Helium Complexes
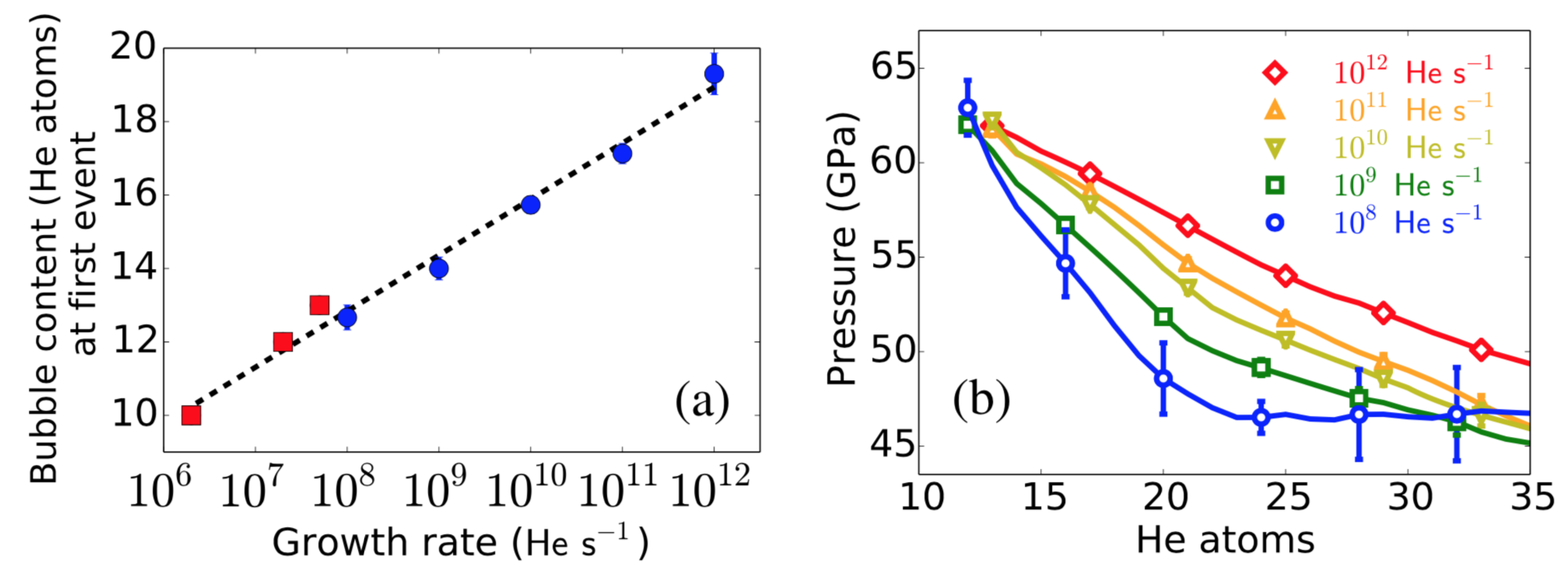
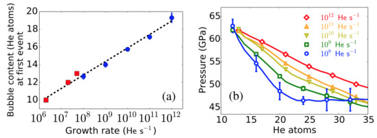
4. Nucleation and Growth of He Bubbles
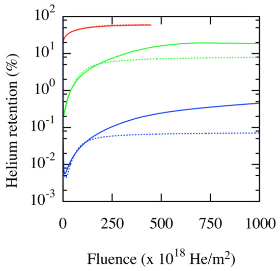
5. Interaction between He-Clusters and He-Bubbles
6. Interaction between He-Clusters/Bubbles and Defects
7. Discussion
8. Conclusions
Funding
Conflicts of Interest
References
- Valles, G.; Martin-Bragado, I.; Nordlund, K.; Lasa, A.; Björkas, C.; Safi, E.; Perlado, J.M.; Rivera, A. Temperature dependence of underdense nanostructure formation in tungsten under helium irradiation. J. Nucl. Mater. 2017, 490, 108–114. [Google Scholar] [CrossRef]
- Lhuillier, P.E.; Belhabib, T.; Desgardin, P.; Courtois, B.; Sauvage, T.; Barthe, M.F.; Thomann, A.L.; Brault, P.; Tessier, Y. Helium retention and early stages of helium-vacancy complexes formation in low energy helium-implanted tungsten. J. Nucl. Mater. 2013, 433, 305–313. [Google Scholar] [CrossRef]
- Wilson, W.D.; Bisson, C.L.; Baskes, M.I. Self-trapping of helium in metals. Phys. Rev. B 1981, 24, 5616. [Google Scholar] [CrossRef]
- Baštecká, J. Interaction of dislocation loop with free surface. Cechoslovackij Fiziceskij Zurnal B 1964, 14, 430–442. [Google Scholar]
- Groves, P.P.; Bacon, D.J. The dislocation loop near a free surface. Philos. Mag. 1970, 22, 83–91. [Google Scholar] [CrossRef]
- Ohr, S.M. Elastic fields of a dislocation loop near a stress-free surface. J. Appl. Phys. 1978, 49, 4953–4955. [Google Scholar] [CrossRef]
- Borovikov, V.; Voter, A.F.; Tang, X.Z. Reflection and implantation of low energy helium with tungsten surfaces. J. Nucl. Mater. 2014, 447, 254–270. [Google Scholar] [CrossRef][Green Version]
- Li, M.; Wang, J.; Hou, Q. Molecular dynamics studies of temperature effects on low energy helium bombardments on tungsten surfaces. J. Nucl. Mater. 2012, 423, 22–27. [Google Scholar] [CrossRef]
- Ackland, G.J.; Thetford, R. An improved N-body semi-empirical model for body-centred cubic transition metals. Philos. Mag. A 1987, 56, 15–30. [Google Scholar] [CrossRef]
- Juslin, N.; Wirth, B.D. Interatomic potentials for simulation of He bubble formation in W. J. Nucl. Mater. 2013, 432, 61–66. [Google Scholar] [CrossRef]
- Beck, D.E. A new interatomic potential function for helium. Mol. Phys. 1968, 15, 311–315. [Google Scholar] [CrossRef]
- Morishita, K.; Sugano, R.; Wirth, B.D.; Díaz de la Rubia, T. Thermal stability of helium-vacancy clusters in iron. Nucl. Instrum. Meth. B 2003, 202, 76–81. [Google Scholar] [CrossRef]
- Nastasi, M.; Mayer, J.; Hirvonen, J.K. Ion-Solid Interactions; Cambridge University Press: Cambridge, UK, 1996. [Google Scholar]
- Hammond, K.D.; Wirth, B.D. Crystal orientation effects on helium ion depth distributions and adatom formation processes in plasma-facing tungsten. J. Appl. Phys. 2014, 116, 143301. [Google Scholar] [CrossRef]
- Ding, Y.; Ma, C.; Li, M.; Hou, Q. Molecular dynamics study on the interactions between helium projectiles and helium bubbles pre-existing in tungsten surfaces. Nucl. Instrum. Meth. B 2016, 368, 50–59. [Google Scholar] [CrossRef]
- Li, M.; Hou, Q.; Cui, J.; Wang, J. A molecular dynamics study of helium bombardments on tungsten nanoparticles. Nucl. Instrum. Meth. B 2018, 425, 43–49. [Google Scholar] [CrossRef]
- Becquart, C.S.; Domain, C. Solute–point defect interactions in bcc systems: Focus on first principles modelling in W and RPV steels. Curr. Opin. Solid State Mater. Sci. 2012, 16, 115–125. [Google Scholar] [CrossRef]
- van Veen, A.; Caspers, L.M.; Kornelsen, E.V.; Fastenau, R.; van Gorkum, A.; Warnaar, A. Vacancy creation by helium trapping at substitutional krypton in tungsten. Phys. Status Solidi A 1977, 40, 235–246. [Google Scholar] [CrossRef]
- Sørensen, M.R.; Voter, A.F. Temperature-accelerated dynamics for simulation of infrequent events. J. Chem. Phys. 2000, 112, 9599–9606. [Google Scholar] [CrossRef]
- Kim, J.; Straub, J.E.; Keyes, T. Statistical-Temperature Monte Carlo and Molecular Dynamics Algorithms. Phys. Rev. Lett. 2006, 97, 50601. [Google Scholar] [CrossRef]
- Hansmann, U.H.E.; Okamoto, Y.; Eisenmenger, F. Molecular dynamics, Langevin and hybrid Monte Carlo simulations in a multicanonical ensemble. Chem. Phys. Lett. 1996, 259, 321–330. [Google Scholar] [CrossRef]
- Junghans, C.; Perez, D.; Vogel, T. Molecular Dynamics in the Multicanonical Ensemble: Equivalence of Wang–Landau Sampling, Statistical Temperature Molecular Dynamics, and Metadynamics. J. Chem. Theory Comput. 2014, 10, 1843–1847. [Google Scholar] [CrossRef] [PubMed]
- Perez, D.; Vogel, T.; Uberuaga, B.P. Diffusion and transformation kinetics of small helium clusters in bulk tungsten. Phys. Rev. B 2014, 90, 014102. [Google Scholar] [CrossRef]
- Boisse, J.; De Backer, A.; Domain, C.; Becquart, C.S. Modeling of the self trapping of helium and the trap mutation in tungsten using DFT and empirical potentials based on DFT. J. Mater. Res. 2014, 29, 2374–2386. [Google Scholar] [CrossRef]
- Henkelman, G.; Uberuaga, B.P.; Jónsson, H. A climbing image nudged elastic band method for finding saddle points and minimum energy paths. J. Chem. Phys. 2000, 113, 9901–9904. [Google Scholar] [CrossRef]
- Becquart, C.S.; Domain, C. Migration Energy of He in W Revisited by Ab Initio Calculations. Phys. Rev. Lett. 2006, 97, 196402. [Google Scholar] [CrossRef] [PubMed]
- Hu, L.; Hammond, K.D.; Wirth, B.D.; Maroudas, D. Interactions of mobile helium clusters with surfaces and grain boundaries of plasma-exposed tungsten. J. Appl. Phys. 2014, 115, 173512. [Google Scholar] [CrossRef]
- Hu, L.; Hammond, K.D.; Wirth, B.D.; Maroudas, D. Dynamics of small mobile helium clusters near tungsten surfaces. Surf. Sci. 2014, 626, L21–L25. [Google Scholar] [CrossRef]
- Wan, C.; Yu, S.; Ju, X. Energetics of small helium clusters near tungsten surface by ab initio calculations. J. Nucl. Mater. 2018, 499, 539–545. [Google Scholar] [CrossRef]
- Maroudas, D.; Blondel, S.; Hu, L.; Hammond, K.D.; Wirth, B.D. Helium segregation on surfaces of plasma-exposed tungsten. J. Phys. Condens. Matter 2016, 28, 064004. [Google Scholar] [CrossRef]
- Blondel, S.; Bernholdt, D.E.; Hammond, K.D.; Wirth, B.D. Continuum-scale modeling of helium bubble bursting under plasma-exposed tungsten surfaces. Nucl. Fusion 2018, 58, 126034. [Google Scholar] [CrossRef]
- Martin-Bragado, I.; Rivera, A.; Valles, G.; Gomez-Selles, J.L.; Caturla, M.J. MMonCa: An Object Kinetic Monte Carlo simulator for damage irradiation evolution and defect diffusion. Comput. Phys. Commun. 2013, 184, 2703–2710. [Google Scholar] [CrossRef]
- Valles, G.; González, C.; Martin-Bragado, I.; Iglesias, R.; Perlado, J.M.; Rivera, A. The influence of high grain boundary density on helium retention in tungsten. J. Nucl. Mater. 2015, 457, 80–87. [Google Scholar] [CrossRef]
- Perez, D.; Sandoval, L.; Blondel, S.; Wirth, B.D.; Uberuaga, B.P.; Voter, A.F. The mobility of small vacancy/helium complexes in tungsten and its impact on retention in fusion-relevant conditions. Sci. Rep. 2017, 7, 2522. [Google Scholar] [CrossRef] [PubMed]
- González, C.; Iglesias, R. Migration mechanisms of helium in copper and tungsten. J. Mater. Sci. 2014, 49, 8127–8139. [Google Scholar] [CrossRef]
- Sefta, F.; Hammond, K.D.; Juslin, N.; Wirth, B.D. Tungsten surface evolution by helium bubble nucleation, growth and rupture. Nucl. Fusion 2013, 53, 073015. [Google Scholar] [CrossRef]
- Sandoval, L.; Perez, D.; Uberuaga, B.P.; Voter, A.F. Competing kinetics and He bubble morphology in W. Phys. Rev. Lett. 2015, 114, 105502. [Google Scholar] [CrossRef] [PubMed]
- Gao, N.; Yang, L.; Gao, F.; Kurtz, R.J.; West, D.; Zhang, S. Long-time atomistic dynamics through a new self-adaptive accelerated molecular dynamics method. J. Phys. Condens. Matter 2017, 29, 145201. [Google Scholar] [CrossRef]
- Yang, L.; Bergstrom, J.; Wirth, B.D. First-principles study of stability of helium-vacancy complexes below tungsten surfaces. J. Appl. Phys. 2018, 123, 205108. [Google Scholar] [CrossRef]
- De Temmerman, G.; Bystrov, K.; Doerner, R.P.; Marot, L.; Wright, G.M.; Woller, K.B.; Whyte, D.G. Helium effects on tungsten under fusion-relevant plasma loading conditions. J. Nucl. Mater. 2013, 438, S78–S83. [Google Scholar] [CrossRef]
- Sandoval, L.; Perez, D.; Uberuaga, B.P.; Voter, A.F. Growth Rate Effects on the Formation of Dislocation Loops Around Deep Helium Bubbles in Tungsten. Fusion Sci. Technol. 2017, 71, 1–6. [Google Scholar] [CrossRef]
- Stukowski, A. Visualization and analysis of atomistic simulation data with OVITO–the Open Visualization Tool. Model. Simul. Mater. Sci. Eng. 2010, 18, 015012. [Google Scholar] [CrossRef]
- Voter, A.F. Parallel replica method for dynamics of infrequent events. Phys. Rev. B 1998, 57, R13985–R13988. [Google Scholar] [CrossRef]
- Xie, H.; Gao, N.; Xu, K.; Lu, G.H.; Yu, T.; Yin, F. A new loop-punching mechanism for helium bubble growth in tungsten. Acta Mater. 2017, 141, 10–17. [Google Scholar] [CrossRef]
- Wang, J.; Niu, L.L.; Shu, X.; Zhang, Y. Energetics and kinetics unveiled on helium cluster growth in tungsten. Nucl. Fusion 2015, 55, 092003. [Google Scholar] [CrossRef]
- Cui, J.; Wu, Z.; Hou, Q. Estimation of the lifetime of small helium bubbles near tungsten surfaces— A methodological study. Nucl. Instrum. Meth. B 2016, 383, 136–142. [Google Scholar] [CrossRef]
- Cui, M.; Gao, N.; Wang, D.; Gao, X.; Wang, Z. Helium bubble growth under strain fields in tungsten investigated by atomic method. Nucl. Instrum. Meth. B 2019, in press. [Google Scholar] [CrossRef]
- Sandoval, L.; Perez, D.; Uberuaga, B.P.; Voter, A.F. Formation of helium-bubble networks in tungsten. Acta Mater. 2018, 159, 46–50. [Google Scholar] [CrossRef]
- Perez, D.; Sandoval, L.; Uberuaga, B.P.; Voter, A.F. The thermodynamic and kinetic interactions of He interstitial clusters with bubbles in W. J. Appl. Phys. 2016, 119, 203301. [Google Scholar] [CrossRef]
- Liu, X.Y.; Uberuaga, B.P.; Perez, D.; Voter, A.F. New helium bubble growth mode at a symmetric grain-boundary in tungsten: accelerated molecular dynamics study. Mater. Res. Lett. 2018, 6, 522–530. [Google Scholar] [CrossRef]
- Henkelman, G.; Jónsson, H. Improved tangent estimate in the nudged elastic band method for finding minimum energy paths and saddle points. J. Chem. Phys. 2000, 113, 9978–9985. [Google Scholar] [CrossRef]
- Yang, Z.; Hu, L.; Maroudas, D.; Hammond, K.D. Helium segregation and transport behavior near 〈100〉 and 〈110〉 symmetric tilt grain boundaries in tungsten. J. Appl. Phys. 2018, 123, 225104. [Google Scholar] [CrossRef]
- Henkelman, G.; Jónsson, H. Long time scale kinetic Monte Carlo simulations without lattice approximation and predefined event table. J. Chem. Phys. 2001, 115, 9657–9666. [Google Scholar] [CrossRef]
- Xu, L.; Henkelman, G. Adaptive kinetic Monte Carlo for first-principles accelerated dynamics. J. Chem. Phys. 2008, 129, 114104. [Google Scholar] [CrossRef]


















© 2019 by the authors. Licensee MDPI, Basel, Switzerland. This article is an open access article distributed under the terms and conditions of the Creative Commons Attribution (CC BY) license (http://creativecommons.org/licenses/by/4.0/).
Share and Cite
Sandoval, L.; Perez, D.; Uberuaga, B.P.; Voter, A.F. An Overview of Recent Standard and Accelerated Molecular Dynamics Simulations of Helium Behavior in Tungsten. Materials 2019, 12, 2500. https://doi.org/10.3390/ma12162500
Sandoval L, Perez D, Uberuaga BP, Voter AF. An Overview of Recent Standard and Accelerated Molecular Dynamics Simulations of Helium Behavior in Tungsten. Materials. 2019; 12(16):2500. https://doi.org/10.3390/ma12162500
Chicago/Turabian StyleSandoval, Luis, Danny Perez, Blas P. Uberuaga, and Arthur F. Voter. 2019. "An Overview of Recent Standard and Accelerated Molecular Dynamics Simulations of Helium Behavior in Tungsten" Materials 12, no. 16: 2500. https://doi.org/10.3390/ma12162500
APA StyleSandoval, L., Perez, D., Uberuaga, B. P., & Voter, A. F. (2019). An Overview of Recent Standard and Accelerated Molecular Dynamics Simulations of Helium Behavior in Tungsten. Materials, 12(16), 2500. https://doi.org/10.3390/ma12162500

