Residual Tensile Strength of the Multi-Impacted Scarf-Repaired Glass Fiber-Reinforced Polymer (GFRP) Composites
Abstract
1. Introduction
2. Experimental Procedure
2.1. Material Preparation
2.1.1. Manufacturing of Composite
2.1.2. Repair Technique
2.2. Testing Procedure
2.2.1. Drop Weight Impact Test
2.2.2. Tensile Test
3. Result and Discussion
3.1. Impact Test
3.1.1. Force—Time Response
Comparative Study
3.1.2. Force-Displacement Response
Comparative Study
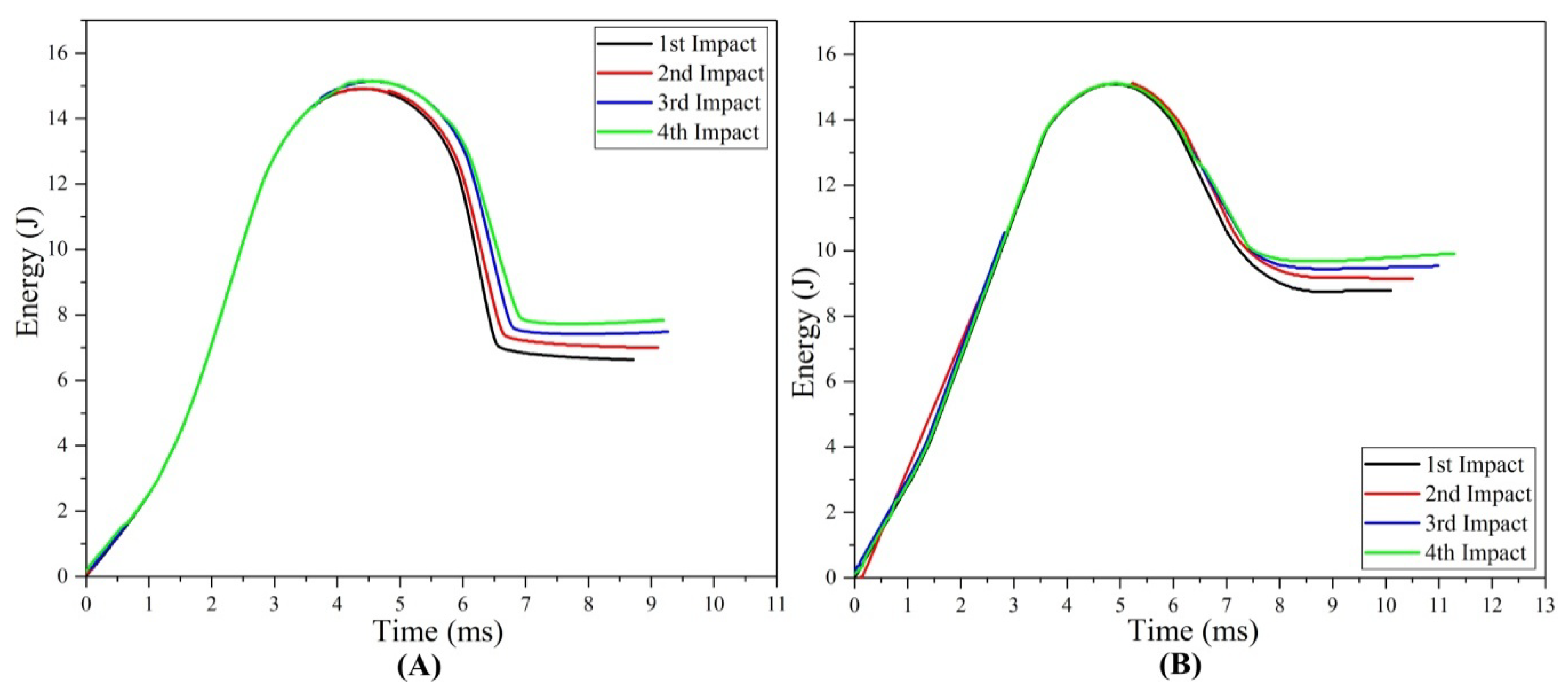
3.1.3. Absorbed Energy
Comparative Study
3.1.4. Damage Analysis
3.2. Post-Tensile Test
4. Conclusions
- Time-contact force, force-displacement, and energy-time curve of the composite samples under low-velocity multiple impacts were observed, and it was concluded that the peak force was found highest and time duration was minimal for the first impacted original and repaired composites.
- Both types of composite samples at the first impact demonstrated highest peak force value, least time duration, least maximum displacement, least absorbed energy, minimal damage area, and smallest damage depth. Moreover, these all change with the number of impacts.
- At the fourth impact, both composites presented lowest peak force, maximum time duration, highest displacement, maximum absorbed energy, maximum damage area and highest value of damage depth.
- From visual inspection, it was found that impacted samples attained lesser damage on the front face than the backface.
- A direct relationship was established between absorbed energy and damage. The composite samples absorbed more energy and showed up more damage. In the case of repaired sample, the absorbed energy per impact was higher than the original sample.
- Samples without any impact showed better tensile results compared to impacted samples. The residual strength of the original sample was more than the repaired multi-impacted samples. Moreover, the first impacted sample contained the highest tensile load, whereas the fourth multi-impacted samples showed lowest tensile load-carrying capacity.
- Tensile tests after impact results showed that residual strength of the repaired sample was less than the original sample and reduced with number of impacts. The composite samples that demonstrated highest peak force among all during the impact test obtained more tensile strength. The post-tensile response analysis revealed that those composite samples which procured least absorbed energy/damage dent during impact test showed the highest ultimate load in post-tensile test.
Author Contributions
Funding
Acknowledgments
Conflicts of Interest
References
- Katnam, K.B.; Silva, L.F.M.D.; Young, T.M. Bonded repair of composite aircraft structures: A review of scientific challenges and opportunities. Prog. Aerosp. Sci. 2013, 61, 26–42. [Google Scholar] [CrossRef]
- Andrew, J.J.; Arumugam, V.; Bull, D.J.; Dhakal, H.N. Residual strength and damage characterization of repaired glass/epoxy composite laminates using A.E. and D.I.C. Compos. Struct. 2016, 152, 124–139. [Google Scholar] [CrossRef]
- Caminero, M.A.; Pavlopoulou, S.; Lopez-Pedrosa, M.; Nicolaisson, B.G.; Pinna, C.; Soutis, C. Analysis of adhesively bonded repairs in composites: Damage detection and prognosis. Compos. Struct. 2013, 95, 500–517. [Google Scholar] [CrossRef]
- Kumar, S.B.; Sridhar, I.; Sivashanker, S.; Osiyemi, S.O.; Bag, A. Tensile failure of adhesively bonded CFRP composite scarf joints. Mater. Sci. Eng. B 2006, 132, 113–120. [Google Scholar] [CrossRef]
- Wang, C.H.; Gunnion, A.J. On the design methodology of scarf repairs to composite laminates. Compos. Sci. Technol. 2008, 68, 35–46. [Google Scholar] [CrossRef]
- Xiaoquan, C.; Baig, Y.; Renwei, H.; Yujian, G.; Jikui, Z. Study of tensile failure mechanisms in scarf repaired CFRP laminates. Int. J. Adhes. Adhes. 2013, 41, 177–185. [Google Scholar] [CrossRef]
- Breitzman, T.D.; Iarve, E.V.; Cook, B.M.; Schoeppner, G.A.; Lipton, R.P. Optimization of a composite scarfrepair patch under tensile loading. Compos. Part A Appl. Sci. Manuf. 2009, 40, 1921–1930. [Google Scholar] [CrossRef]
- Liu, F. Strength Analysis of Composite Laminates with Penetrating Damage Repaired by Scarf Bonding Method. Procedia Eng. 2011, 15, 3017–3022. [Google Scholar] [CrossRef]
- Whittingham, B.; Baker, A.A.; Harman, A.; Bitton, D. Micrographic studies on adhesively bonded scarf repairs to thick composite aircraft structure. Compos. Part A Appl. Sci. Manuf. 2009, 40, 1419–1432. [Google Scholar] [CrossRef]
- Cheng, X.; Zhang, J.; Bao, J.; Zeng, B.; Cheng, Y.; Hu, R. Low-velocity impact performance and effect fact or analysis of scarf-repaired composite laminates. Int. J. Impact Eng. 2018, 111, 85–93. [Google Scholar] [CrossRef]
- Andrew, J.J.; Arumugama, V.; Saravanakumar, K.; Dhakal, H.N.; Santulli, C. Compression after impact strength of repaired GFRP composite laminates under repeated impact loading. Compos. Struct. 2015, 133, 911–920. [Google Scholar] [CrossRef]
- Liu, S.; Chen, X.; Xu, Y.; Bao, J.; Guo, X. Study on impact performances of scarf-repaired carbon fiber reinforced polymer laminates. J. Reinf. Plast. Compos. 2014, 34, 60–71. [Google Scholar]
- Liu, B.; Xu, F.; Qin, J.; Lu, Z. Study on impact damage mechanisms and TAI capacity for the composite scarf repair of the primary load-bearing level. Compos. Struct. 2017, 181, 183–193. [Google Scholar] [CrossRef]
- Thorsson, S.I.; Sringeri, S.P.; Waas, A.M.; Justusson, B.P.; Rassaian, M. Experimental Investigation of Composite Laminates Subject to Low-Velocity Edge on Impact and Compression after Impact. Compos. Struct. 2018, 186, 335–346. [Google Scholar] [CrossRef]
- Yan, H.; Oskay, C.; Krishnan, A.; Xu, L.R. Compression-after-impact response of woven fiber-reinforced composites. Compos. Sci. Technol. 2010, 70, 2128–2136. [Google Scholar] [CrossRef]
- Yu, G.C.; Wu, L.Z.; Ma, L.; Xiong, J. Low velocity impact of carbon fiber aluminum laminates. Compos. Struct. 2015, 119, 757–766. [Google Scholar] [CrossRef]
- Reddy, T.S.; Reddy, P.R.S.; Madhu, V. Response of E-glass/Epoxy and Dyneema® Composite Laminates Subjected to low and High Velocity Impact. Procedia Eng. 2017, 173, 278–285. [Google Scholar] [CrossRef]
- Balaganesan, V.C.K.G. Energy absorption of repaired composite laminates subjected to impact loading. Compos. Part B Eng. 2016, 98, 39–48. [Google Scholar] [CrossRef]
- Sharma, A.P.; Khan, S.H.; Kitey, R.; Parameswaran, V. Effect of through thickness metal layer distribution on the low velocity impact response of fiber metal laminates. Polym. Test. 2018, 65, 301–312. [Google Scholar] [CrossRef]
- Andrew, J.J.; Srinivasan, S.M.; Arockiarajan, A. The role of adhesively bonded super hybrid external patches on the impact and post-impact response of repaired glass/epoxy composite laminates. Compos. Struct. 2018, 184, 848–859. [Google Scholar] [CrossRef]
- Atas, C.; Dogan, A. An experimental investigation on the repeated impact response of glass/epoxy composites subjected to thermal ageing. Compos. Part B Eng. 2015, 75, 127–134. [Google Scholar] [CrossRef]
- Wang, C.; Chen, Z.; Silberschmidt, V.V.; Roy, A. Damage accumulation in braided textiles-reinforced composites under repeated impacts: Experimental and numerical studies. Compos. Struct. 2018, 204, 256–267. [Google Scholar] [CrossRef]
- Coelho, S.R.M.; Reis, P.N.B.; Ferreira, J.A.M.; Pereira, A.M. Effects of external patch configuration on repaired composite laminates subjected to multi-impacts. Compos. Struct. 2017, 168, 259–265. [Google Scholar] [CrossRef]
- Andrew, J.J.; Arumugam, V.; Ramesh, C.; Poorani, S.; Santulli, C. Quasistatic indentation properties of damaged glass/epoxy composite laminates repaired by the application of intra-ply hybrid patches. Polym. Test. 2017, 61, 132–145. [Google Scholar] [CrossRef]
- Tie, Y.; Hou, Y.; Li, C.; Zhou, X.; Sapanathan, T.; Rachik, M. An insight into the low-velocity impact behavior of patch-repaired CFRP laminates using numerical and experimental approaches. Compos. Struct. 2018, 190, 179–188. [Google Scholar] [CrossRef]
- Ghelli, D.; Minak, G. Low velocity impact and compression after impact tests on thin carbon/epoxy laminates. Compos. Part B Eng. 2011, 42, 2067–2079. [Google Scholar] [CrossRef]
- Wang, S.X.; Wu, L.Z.; Ma, L. Low-velocity impact and residual tensile strength analysis to carbon fiber composite laminates. Mater. Des. 2010, 31, 118–125. [Google Scholar] [CrossRef]
- Cheng, X.; Du, X.; Zhang, J.; Zhang, J.; Guo, X.; Bao, J. Effects of stacking sequence and rotation angle of patch on low velocity impact performance of scarf repaired laminates. Compos. Part B Eng. 2018, 133, 78–85. [Google Scholar] [CrossRef]
- Zhou, S.; Wang, Z.; Zhou, J.; Wu, X. Experimental and numerical investigation on bolted composite joint made by vacuum assisted resin injection. Compos. Part B Eng. 2013, 45, 1620–1628. [Google Scholar] [CrossRef]
- ASTM International. Standard Practice for Preparation of Surfaces of Plastics Prior to Adhesive Bonding; Designation: D 2093-03; ASTM International: West Conshohocken, PA, USA, 2003. [Google Scholar]
- ASTM D7136/D7136M-05. Standard Test Method for Measuring the Damage Resistance of a Fiber-Reinforced Polymer Matrix Composite to a Drop-Weight Impact Event; ASTM International: West Conshohocken, PA, USA, 2005. [Google Scholar]

















| GFRP Samples | Sample Group | Impact Times | Sample Code (Type) | Sample Number |
|---|---|---|---|---|
| Original samples | Group 1 | 1st | A | 3 |
| 2nd | B | 3 | ||
| 3rd | C | 3 | ||
| 4th | D | 3 | ||
| Repaired samples | Group 2 | 1st | P | 3 |
| 2nd | Q | 3 | ||
| 3rd | R | 3 | ||
| 4th | S | 3 |
| Impact No. | Maximum Force (N) | Maximum Displacement (mm) | Time Duration (ms) | Absorbed Energy (J) | ||||
|---|---|---|---|---|---|---|---|---|
| Original | Repaired | Original | Repaired | Original | Repaired | Original | Repaired | |
| 1st | 5749.091 | 5016.084 | 3.018 | 3.147 | 8.412 | 10.367 | 6.631 | 8.785 |
| 2nd | 5525.032 | 4862.772 | 3.106 | 3.170 | 8.881 | 10.401 | 6.996 | 9.145 |
| 3rd | 5226.412 | 4633.833 | 3.143 | 3.200 | 9.240 | 10.756 | 7.484 | 9.541 |
| 4th | 4993.264 | 4513.674 | 3.245 | 3.289 | 9.322 | 10.834 | 7.849 | 9.901 |
| Impact No. | Failure Load (KN) | Percentage Load Difference with Respect to Original Samples (%) | |
|---|---|---|---|
| Original | Repaired | ||
| Without impact | 229.394 | 186.357 | 18.762 |
| First impact | 201.080 | 169.715 | 19.563 |
| Second impact | 198.304 | 161.403 | 18.602 |
| Third impact | 186.998 | 154.179 | 17.550 |
| Fourth impact | 183.768 | 152.378 | 17.081 |
© 2018 by the authors. Licensee MDPI, Basel, Switzerland. This article is an open access article distributed under the terms and conditions of the Creative Commons Attribution (CC BY) license (http://creativecommons.org/licenses/by/4.0/).
Share and Cite
Kumari, P.; Wang, J.; Saahil. Residual Tensile Strength of the Multi-Impacted Scarf-Repaired Glass Fiber-Reinforced Polymer (GFRP) Composites. Materials 2018, 11, 2351. https://doi.org/10.3390/ma11122351
Kumari P, Wang J, Saahil. Residual Tensile Strength of the Multi-Impacted Scarf-Repaired Glass Fiber-Reinforced Polymer (GFRP) Composites. Materials. 2018; 11(12):2351. https://doi.org/10.3390/ma11122351
Chicago/Turabian StyleKumari, Punita, Jihui Wang, and Saahil. 2018. "Residual Tensile Strength of the Multi-Impacted Scarf-Repaired Glass Fiber-Reinforced Polymer (GFRP) Composites" Materials 11, no. 12: 2351. https://doi.org/10.3390/ma11122351
APA StyleKumari, P., Wang, J., & Saahil. (2018). Residual Tensile Strength of the Multi-Impacted Scarf-Repaired Glass Fiber-Reinforced Polymer (GFRP) Composites. Materials, 11(12), 2351. https://doi.org/10.3390/ma11122351

