Magnetic Hysteresis in Nanocomposite Films Consisting of a Ferromagnetic AuCo Alloy and Ultrafine Co Particles
Abstract
:1. Introduction
2. Experimental Methods
2.1. Production and Composition of the AuCo Samples
2.2. Magnetic Methods
3. Results and Discussion
3.1. Sample Magnetization
3.2. Measured Hysteretic Properties
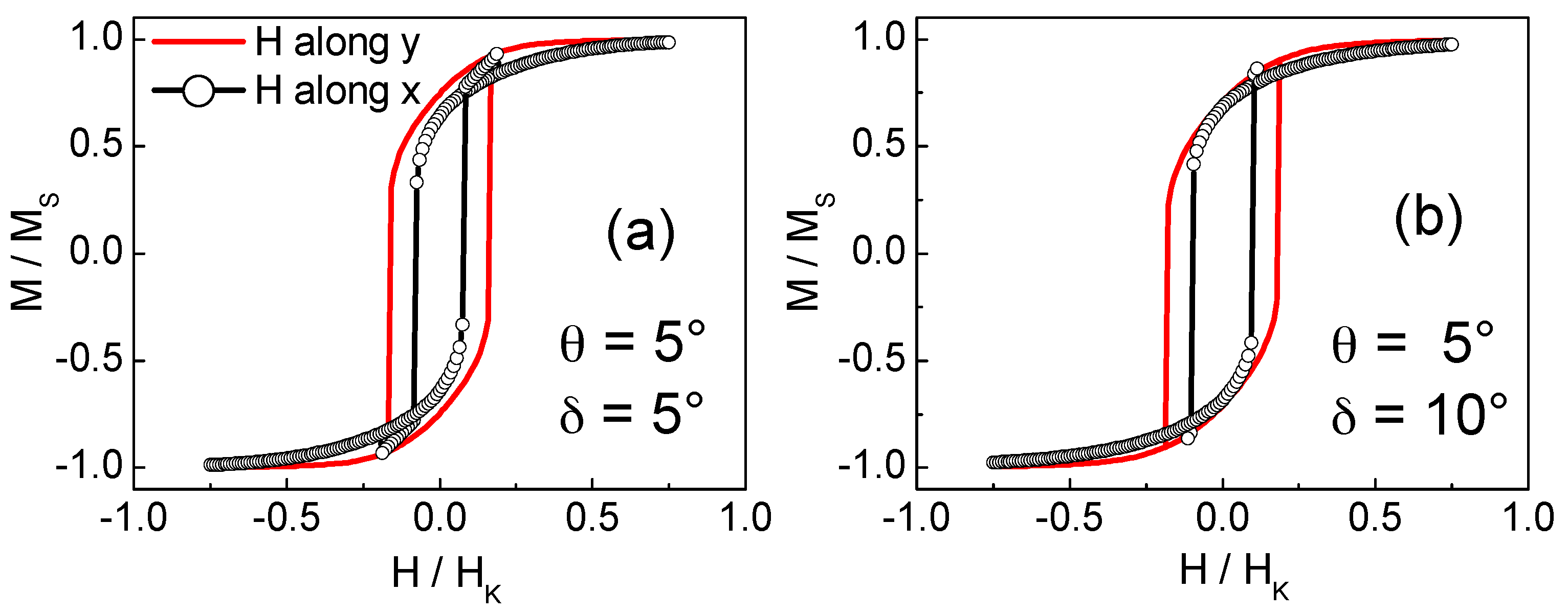
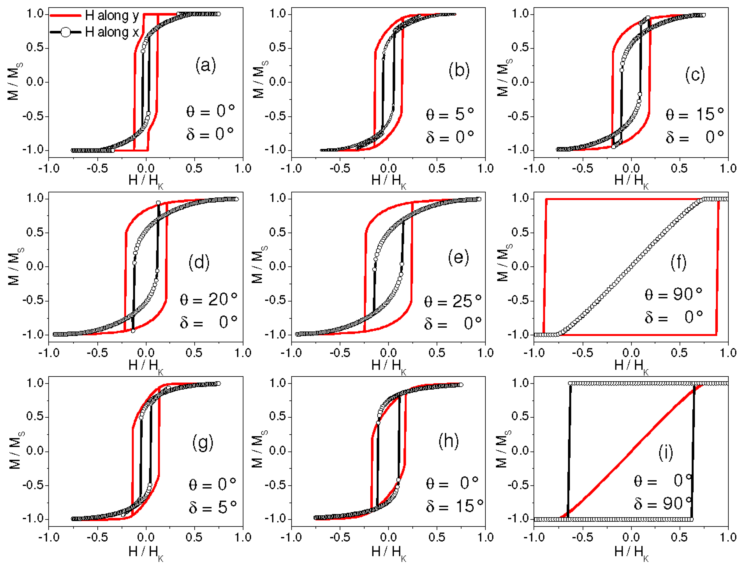
3.3. Micromagnetic Simulations of the Hysteresis Loops
4. Conclusions
Acknowledgments
Author Contributions
Conflicts of Interest
Appendix A

Appendix B

References
- Yoshizawa, Y.; Oguma, S.; Yamauchi, K. New Fe-based soft magnetic alloys composed of ultrafine grain structure. J. Appl. Phys. 1988, 64, 6044–6046. [Google Scholar] [CrossRef]
- Kronmüller, H.; Fischer, R.; Seeger, M.; Zern, A. Micromagnetism and microstructure of hard magnetic materials. J. Phys. D Appl. Phys. 1996, 29, 2274–2283. [Google Scholar] [CrossRef]
- Dieny, B.; Speriosu, V.S.; Parkin, S.S.P.; Gurney, B.A.; Wilhoit, D.R.; Mauri, D. Giant magnetoresistive in soft ferromagnetic multilayers. Phys. Rev. B 1991, 43, 1297–1300. [Google Scholar] [CrossRef]
- Spizzo, F.; Bonfiglioli, E.; Tamisari, M.; Gerardino, A.; Barucca, G.; Notargiacomo, A.; Chinni, F.; Del Bianco, L. Magnetic exchange coupling in IrMn/NiFe nanostructures: From the continuous film to dot arrays. Phys. Rev. B 2015, 91, 064410–064419. [Google Scholar] [CrossRef]
- Prejbeanu, I.L.; Kerekes, M.; Sousa, R.C.; Sibuet, H.; Redon, O.; Dieny, B.; Nozières, J.P. Thermally assisted MRAM. J. Phys. Condens. Matter 2007, 19, 165218–165223. [Google Scholar] [CrossRef]
- Fullerton, E.E.; Jiang, J.S.; Bader, S.D. Hard/soft magnetic heterostructures: Model exchange-spring magnets. J. Magn. Magn. Mater. 1999, 200, 392–404. [Google Scholar] [CrossRef]
- Wang, J.-P.; Shen, W.K.; Bai, J.M.; Victora, R.H.; Judy, J.H.; Song, W.L. Composite media (dynamic tilted media) for magnetic recording. Appl. Phys. Lett. 2005, 86, 142504. [Google Scholar] [CrossRef]
- Johnson, K.E. Magnetic materials and structures for thin-film recording media. J. Appl. Phys. 2000, 87, 5365–5370. [Google Scholar] [CrossRef]
- Wittig, J.W.; Nolan, T.P.; Ross, C.A.; Schabes, M.E.; Tang, K.; Sinclair, R.; Bentley, J. Chromium Segregation in CoCrTaKr and CoCrPt/Cr Thin Films for Longitudinal Recording Media. IEEE Trans. Magn. 1998, 34, 1564–1566. [Google Scholar] [CrossRef]
- Chason, E.; Guduru, P.R. Tutorial: Understanding residual stress in polycrystalline thin films through real-time measurements and physical models. J. Appl. Phys. 2016, 119, 191101–191121. [Google Scholar] [CrossRef]
- Fernández-Martínez, I.; Costa-Krämer, J.L.; Briones, F. Stress and magnetoelastic properties control of amorphous Fe80B20 thin films during sputtering deposition. J. Appl. Phys. 2008, 103, 113902–113905. [Google Scholar] [CrossRef]
- Shin, J.; Kim, S.H.; Suwa, Y.; Hashi, S.; Ishiyama, K. Control of in-plane uniaxial anisotropy of Fe72Si14B14 magnetostrictive thin film using a thermal expansion coefficient. J. Appl. Phys. 2012, 111, 07E511. [Google Scholar] [CrossRef]
- Pandey, H.; Rout, P.K.; Anupam; Joshi, P.C.; Hossain, Z.; Budhani, R.C. Magnetoelastic coupling induced magnetic anisotropy in Co2(Fe/Mn)Si thin films. Appl. Phys. Lett. 2014, 10, 022402–022405. [Google Scholar] [CrossRef]
- Barraud, C.; Deranlot, C.; Seneor, P.; Mattana, R.; Dlubak, B.; Fusil, S.; Bouzehouane, K.; Deneuve, D.; Petroff, F.; Fert, A. Magnetoresistance in magnetic tunnel junctions grown on flexible organic substrates. Appl. Phys. Lett. 2010, 96, 072502–072503. [Google Scholar] [CrossRef]
- Dai, G.; Zhan, Q.; Liu, Y.; Yang, H.; Zhang, X.; Chen, B.; Li, R.-W. Mechanically tunable magnetic properties of Fe81Ga19 films grown on flexible substrates. Appl. Phys. Lett. 2012, 100, 122407. [Google Scholar] [CrossRef]
- Okamoto, H.; Massalski, T.; Nishizawa, T.; Hasebe, M. The Au–Co (Gold–Cobalt) system. Bull. Alloy Phase Diagr. 1985, 6, 449–454. [Google Scholar] [CrossRef]
- Canet, F.; Bellouard, C.; Joly, L.; Mangin, S. Magnetic behavior of exchange-coupled Fe30Au70/Fe65Au35 bilayers. Phys. Rev. B 2004, 69, 094402–094411. [Google Scholar] [CrossRef]
- Toal, B.; McMillen, M.; Murphy, A.; Hendren, W.; Arredondo, M.; Pollard, R. Optical and magneto-optical properties of gold core cobalt shell magnetoplasmonic nanowire arrays. Nanoscale 2014, 6, 12905–12911. [Google Scholar] [CrossRef] [PubMed]
- Bogani, L.; Cavigli, L.; de Julián Fernández, C.; Mazzoldi, P.; Mattei, G.; Gurioli, M.; Dressel, M.; Gatteschi, D. Photocoercivity of nano-stabilized Au: Fe superparamagnetic nanoparticles. Adv. Mater. 2010, 22, 4054–4058. [Google Scholar] [CrossRef] [PubMed]
- David, S.; Polonschii, C.; Luculescu, C.; Gheorghiu, M.; Gáspár, S.; Gheorghiu, E. Magneto-plasmonic biosensor with enhanced analytical response and stability. Biosens. Bioelectron. 2015, 63, 525–532. [Google Scholar] [CrossRef] [PubMed]
- Li, L.; Chai, S.H.; Binder, A.; Brown, S.; Yang, S.-Z.; Dai, S. Synthesis of MCF-supported AuCo nanoparticle catalysts and the catalytic performance for the CO oxidation reaction. RSC Adv. 2015, 5, 100212–100222. [Google Scholar] [CrossRef]
- Yang, K.; Clavero, C.; Skuza, J.R.; Varela, M.; Lukaszew, R.A. Surface plasmon resonance and magneto-optical enhancement on Au–Co nanocomposite thin films. J. Appl. Phys. 2010, 107, 103924–103925. [Google Scholar] [CrossRef]
- Mattarello, V. Au-Co Thin Films and Nanostructures for MagnetoPlasmonics. Ph.D. Thesis, Department of Chemical Sciences, University of Padova, Padua, Italy, 10 June 2016. [Google Scholar]
- Maurizio, C.; Michieli, N.T.; Kalinic, B.; Mattarello, V.; Bello, V.; Wilhelm, F.; Ollefs, K.; Mattei, G. X-ray magnetic circular dichroism of Au in Au-Co nanoalloys. Manuscript in preparation.
- Donahue, M.J.; Porter, D.G. OOMMF User’s Guide, Version 1.0 Interagency Report NISTIR 6376; National Institute of Standards and Technology: Gaithersburg, MD, USA, 1999. [Google Scholar]
- Beaujour, J.-M.L.; Lee, J.H.; Kent, A.D.; Krycka, K.; Kao, C.-C. Magnetization damping in ultrathin polycrystalline Co films: Evidence for nonlocal effects. Phys Rev. B 2006, 74, 214405–214408. [Google Scholar] [CrossRef]
- Dormann, J.L.; Fiorani, D.; Tronc, E. Magnetic Relaxation in Fine-Particle Systems. In Advances in Chemical Physics; Prigogine, I., Stuart, A.R., Eds.; J. Wiley & Sons, Inc.: New York, NY, USA, 1997; Volume XCVIII, pp. 283–494. [Google Scholar]
- Del Bianco, L.; Fiorani, D.; Testa, A.M.; Bonetti, E.; Savini, L.; Signoretti, S. Magnetothermal behavior of a nanoscale Fe/Fe oxide granular system. Phys. Rev. B 2002, 66, 174418. [Google Scholar] [CrossRef]
- Eyrich, C.; Huttema, W.; Arora, M.; Montoya, E.; Rashidi, F.; Burrowes, C.; Kardasz, B.; Girt, E.; Heinrich, B.; Mryasov, O.N.; et al. Exchange stiffness in thin film Co alloys. J. Appl. Phys. 2012, 111, 07C919. [Google Scholar] [CrossRef]
- Arcas, J.; Hernando, A.; Barandiaran, J.M.; Prados, C.; Vazquez, M.; Marìn, P.; Neuweiler, A. Soft to hard magnetic anisotropy in nanostructured magnets. Phys. Rev. B 1998, 58, 5193–5196. [Google Scholar] [CrossRef]
- Cullity, B.D.; Graham, C.D. Introduction to Magnetism and Magnetic Materials, 2nd ed.; IEEE Press: Piscataway, NJ, USA, 2009; pp. 197–238. [Google Scholar]
- Stoner, E.C.; Wohlfarth, E.P. A mechanism of magnetic hysteresis in heterogeneous alloys. IEEE Trans. Magn. 1991, 27, 3475–3518. [Google Scholar] [CrossRef]
- Herzer, G. Grain size dependence of coercivity and permeability in nanocrystalline ferromagnets. IEEE Trans. Magn. 1990, 26, 1397–1402. [Google Scholar] [CrossRef]
- Serbena, F.C.; Zanotto, E.D. Internal residual stresses in glass-ceramics: A review. J. Non-Cryst. Sol. 2012, 358, 975–984. [Google Scholar] [CrossRef]
- Hsueh, C.H.; Becher, P.F. Residual thermal stresses in ceramic composites. Part I: With ellipsoidal inclusions. Mater. Sci. Eng. A 1996, 212, 22–28. [Google Scholar] [CrossRef]
- Stoney, G.G. The Tension of Metallic Films Deposited by Electrolysis. Proc. R. Soc. Lond. Ser. A 1909, A82, 172–175. [Google Scholar] [CrossRef]
- Feng, X.; Huang, Y.; Rosakis, A.J. On the Stoney formula for a thin film/substrate system with nonuniform substrate thickness. J. Appl. Mech. 2007, 74, 1276–1281. [Google Scholar] [CrossRef]
- Lee, H.; Rosakis, A.J.; Freund, L.B. Full-field optical measurement of curvatures in ultra-thin-film–substrate systems in the range of geometrically nonlinear deformations. J. Appl. Phys. 2001, 89, 6116–6129. [Google Scholar] [CrossRef]
- Huang, Y.; Ngo, D.; Rosakis, A.J. Non-uniform, axisymmetric misfit strain: In thin films bonded on plate substrates/substrate systems: The relation between non-uniform film stresses and system curvatures. Acta Mech. Sin. 2005, 21, 362–370. [Google Scholar] [CrossRef]









| Sample | Composition | Thickness (nm) | Volume Fractions | |||
|---|---|---|---|---|---|---|
| Au (at%) | Co (at%) | Alloy (vol%) | Co (vol%) | Au (vol%) | ||
| Au2Co1 | 69 ± 1 | 31 ± 1 | 30 ± 2 | Au80Co20 89 ± 7 | 10 ± 3 | 1.0 ± 0.8 |
| Au1Co1 | 49 ± 1 | 51 ± 1 | 28 ± 1 | Au73Co27 74 ± 10 | 25 ± 5 | 1.0 ± 0.8 |
| Au1Co2 | 33 ± 1 | 67 ± 1 | 28 ± 1 | Au57Co43 64 ± 9 | 35 ± 5 | 1.0 ± 0.9 |
| Sample | MS at T = 6 K (emu/cm3) | MS at T = 300 K (emu/cm3) |
|---|---|---|
| Au2Co1 | 325 ± 22 | 232 ± 15 |
| Au1Co1 | 523 ± 20 | 480 ± 18 |
| Au1Co2 | 755 ± 28 | 733 ± 27 |
© 2017 by the authors. Licensee MDPI, Basel, Switzerland. This article is an open access article distributed under the terms and conditions of the Creative Commons Attribution (CC BY) license (http://creativecommons.org/licenses/by/4.0/).
Share and Cite
Chinni, F.; Spizzo, F.; Montoncello, F.; Mattarello, V.; Maurizio, C.; Mattei, G.; Bianco, L.D. Magnetic Hysteresis in Nanocomposite Films Consisting of a Ferromagnetic AuCo Alloy and Ultrafine Co Particles. Materials 2017, 10, 717. https://doi.org/10.3390/ma10070717
Chinni F, Spizzo F, Montoncello F, Mattarello V, Maurizio C, Mattei G, Bianco LD. Magnetic Hysteresis in Nanocomposite Films Consisting of a Ferromagnetic AuCo Alloy and Ultrafine Co Particles. Materials. 2017; 10(7):717. https://doi.org/10.3390/ma10070717
Chicago/Turabian StyleChinni, Federico, Federico Spizzo, Federico Montoncello, Valentina Mattarello, Chiara Maurizio, Giovanni Mattei, and Lucia Del Bianco. 2017. "Magnetic Hysteresis in Nanocomposite Films Consisting of a Ferromagnetic AuCo Alloy and Ultrafine Co Particles" Materials 10, no. 7: 717. https://doi.org/10.3390/ma10070717
APA StyleChinni, F., Spizzo, F., Montoncello, F., Mattarello, V., Maurizio, C., Mattei, G., & Bianco, L. D. (2017). Magnetic Hysteresis in Nanocomposite Films Consisting of a Ferromagnetic AuCo Alloy and Ultrafine Co Particles. Materials, 10(7), 717. https://doi.org/10.3390/ma10070717

