Next Article in Journal
Extractant Immobilization in Alginate Capsules (Matrix- and Mononuclear-Type): Application to Pb(II) Sorption from HCl Solutions
Next Article in Special Issue
Anderson Insulators in Self-Assembled Gold Nanoparticles Thin Films: Single Electron Hopping between Charge Puddles Originated from Disorder
Previous Article in Journal
A Study of Structure and Magnetic Properties of Low Purity Fe-Co-Based Metallic Glasses
Previous Article in Special Issue
Switching VO2 Single Crystals and Related Phenomena: Sliding Domains and Crack Formation
 
 
Font Type:
Arial Georgia Verdana
Font Size:
Aa Aa Aa
Line Spacing:
Column Width:
Background:
Article

Influence of Discharge Current on Phase Transition Properties of High Quality Polycrystalline VO2 Thin Film Fabricated by HiPIMS

1
State Key Laboratory of Advanced Welding and Joining, Harbin Institute of Technology, Harbin 150001, China
2
School of Electrical and Electronic Engineering, North China Electric Power University, Beijing 102206, China
3
Research and Development Center, Shanghai Institute of Spacecraft Engineering, Shanghai 200240, China
*
Author to whom correspondence should be addressed.
Materials 2017, 10(6), 633; https://doi.org/10.3390/ma10060633
Submission received: 29 April 2017 / Revised: 4 June 2017 / Accepted: 6 June 2017 / Published: 9 June 2017
(This article belongs to the Special Issue Metal-Insulator Transition)

Abstract

:
To fabricate high-quality polycrystalline VO2 thin film with a metal–insulator transition (MIT) temperature less than 50 °C, high-power impulse magnetron sputtering with different discharge currents was employed in this study. The as-deposited VO2 films were characterized by a four-point probe resistivity measurement system, visible-near infrared (IR) transmittance spectra, X-ray diffraction (XRD), X-ray photoelectron spectroscopy (XPS), and scanning electron microscopy. The resistivity results revealed that all the as-deposited films had a high resistance change in the phase transition process, and the MIT temperature decreased with the increased discharge current, where little deterioration in the phase transition properties, such as the resistance and transmittance changes, could be found. Additionally, XRD patterns at various temperatures exhibited that some reverse deformations that existed in the MIT process of the VO2 film, with a large amount of preferred crystalline orientations. The decrease of the MIT temperature with little deterioration on phase transition properties could be attributed to the reduction of the preferred grain orientations.

Graphical Abstract

1. Introduction

Vanadium dioxide has thermochromic properties associated with a reversible metal–insulator transition (MIT) at 68 °C, where its structure is changed from an insulating monoclinic phase to a metallic tetragonal one [1]. The high-temperature phase VO2(R) is metallic with a rutile crystalline structure (R, P42/mnm). The low-temperature phase VO2(M) is characterized by the semiconducting electronic behavior (with a band gap energy Eg ≈ 0.6 eV) and monoclinic structure (M1, P21/c) [2]. The MIT of VO2 results in a remarkable change in physical characteristics, including the resistance and transmittance [2,3], making it a potential candidate for many applications, such as optical switching, thermochromic smart windows, laser protection, and energy harvesting systems [4,5,6].
VO2 thin films have been fabricated by a variety of deposition techniques, such as reactive sputtering [7,8,9,10,11,12,13], pulsed laser deposition (PLD) [14,15], molecular beam epitaxy (MBE) [16], sol-gel processing [17], thermal oxidation [18,19], and reactive electron beam evaporation [20]. Previous studies have discussed the transition properties of VO2 thin films extensively, such as the phase transition temperature (TMIT) [10,21,22,23,24], hysteresis width [25,26,27], resistance change, and sharpness of the transition [1,26,27,28]. Kim et al. [1] showed that the resistance change of the epitaxial VO2 thin film on single-crystal c-plane sapphire substrates reached about four orders of magnitude, and the hysteresis width, as well as sharpness of the transition, were very small. However, a significant deterioration on the resistance change took place with the reduction of TMIT, and it could be reduced by 2000 times when the MIT temperature was decreased from 70.7 to 65 °C [1]. Fortunately, the MIT temperature of the epitaxial VO2 thin film could be reduced by using different substrates, and high-quality epitaxial VO2 thin film with a MIT temperature of 30 °C was prepared on TiO2 (001) substrate [29]. For polycrystalline VO2 thin films, according to their phase transition properties [26,27,28,30,31,32], it can be concluded that a slight reduction of the MIT temperature will lead to a large deterioration of the electrical and optical properties. Until now, fabrication of high-quality polycrystalline VO2 thin film with a TMIT less than 50 °C and phase transition properties near those of the epitaxial VO2 thin film is still a significant challenge.
In a previous study, we reported that polycrystalline VO2 thin film with a resistance change of 4500 times, a hysteresis width of 6 °C, a sharpness of the transition 5.8 °C, and an MIT temperature of 54.5 °C was prepared successfully on quartz substrates by high-power impulse magnetron sputtering (HiPIMS). However, the electrical and optical properties of this polycrystalline VO2 thin film deteriorated significantly with the decrease of the MIT temperature, and the resistance change was only 120 times when the phase transition temperature was reduced to 48.3 °C [33,34]. Meanwhile, we deduced that the better way to reduce TMIT with only a slight deterioration on phase transition properties was to fabricate VO2 thin film with a high ordered crystalline orientation close to that of the epitaxial VO2 thin film. Since HiPIMS can generate dense plasma and intense ion impingement during the deposition process [35,36,37,38], in which the plasma density can be changed by different discharge currents, the crystalline structure of the deposited VO2 thin film may be improved by a proper discharge current [39].
In this study, polycrystalline VO2 thin films were fabricated on quartz substrates using HiPIMS with various discharge currents, and influences of the discharge current on the phase transition properties of the films were discussed.

2. Experimental Detail

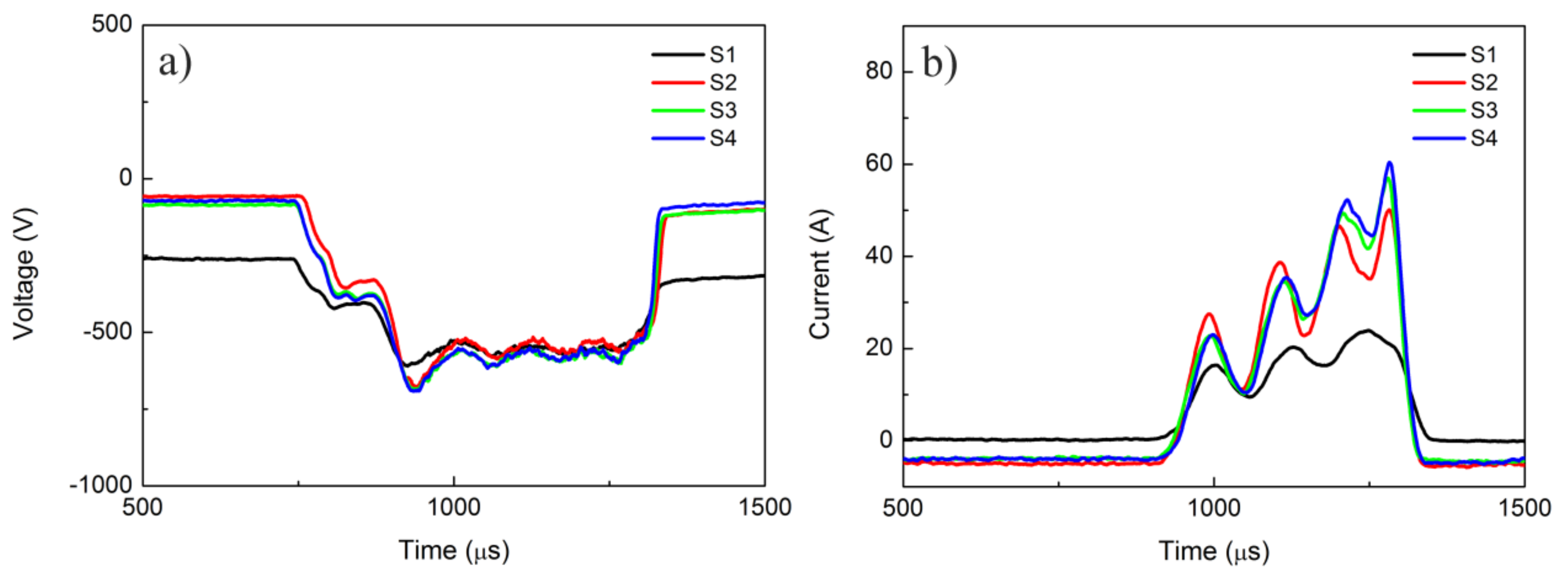
VO2 thin films were fabricated on quartz substrates (30 × 30 × 1 mm3) using HiPIMS in Ar + O2 gases. A vanadium target with a purity of 99.95% and diameter of 100 mm was utilized for the fabrication process, and the distance between the target and the substrate was about 100 mm. Prior to deposition, the vacuum chamber was evacuated to a base pressure of below 1 × 10−3 Pa by using mechanical and molecular pumps, and the quartz substrate was heated to 420 °C. During the HiPIMS process, the mixture of Ar + O2 was introduced into the vacuum chamber of the HiPIMS apparatus, and the corresponding mass flow rates were 100 and 6.5 sccm, respectively. The operating pressure in the vacuum chamber during the deposition process was kept at about 0.85 Pa. In order to increase the deposition rate, we used a middle frequency modulated HiPIMS power supply for this process, and the magnitude of the peak discharge current was varied from 25 to 62 A. Figure 1 shows the discharge voltage and current waveforms for different samples. According to these waveforms, the peak currents for samples S1, S2, S3, and S4 were 25, 51, 58, and 62 A, respectively. Main processing parameters for different samples are listed in Table 1. The whole deposition time was 30 min, and the thicknesses of samples S1, S2, S3, and S4 were about 164, 119, 122, and 115 nm, respectively.
The structures of VO2 thin films were characterized using X-ray diffraction (XRD; Empyrean, Panalytical, Almelo, The Netherlands) at a grazing angle of 1° with a Cu-Kα radiation source operated at 40 kV and 40 mA. The compositions of the as-deposited thin film were detected by X-ray photoelectron spectroscopy (XPS, ESCALAB 250Xi, Thermo Fisher Scientific, Waltham, MA, USA). The surface morphology of the as-deposited films was examined by a field emission scanning electron microscope (SEM; Quanta 200, FEI Co., Hillsboro, OR, USA) with an acceleration voltage of 5 kV. Surface roughness of the as-synthesized samples was measured by an atomic force microscope (AFM, Dimension Icon, Bruker Co., Karlsruhe, Germany) with a scanning range of 5 × 5 μm2. Optical transmittance spectra were obtained by using a Lambda 950 spectrophotometer (PerkinElmer Co., Waltham, MA, USA) at 24 and 75 °C. A four-point probe resistivity measurement system was used to measure the electrical resistance of the film and its variation with the temperature.

3. Results and Discussion

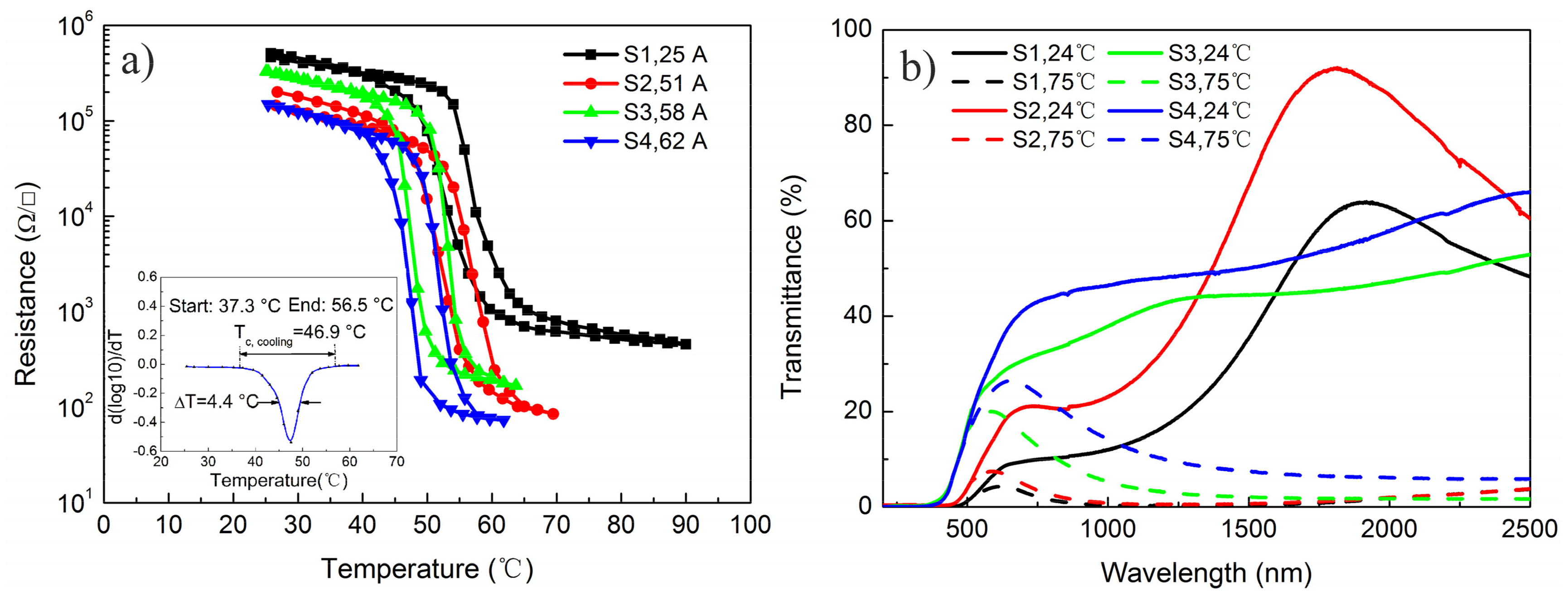
The temperature dependences of the resistance for all the as-deposited VO2 thin films are shown in Figure 2a. A derivative curve (d[log(R)]/dT) during the cooling process of sample S4 was inserted into this Figure. Therein, the maximum resistance before the phase transition (R0), minimum resistance after the phase transition (R1), start temperature (Tstart), end temperature (Tend), transition temperatures during cooling and heating (Tc, cooling and Tc, heating) could be obtained from the derivative curves. The relative resistance change (∆R), transition temperature (TMIT), sharpness of the transition (∆T) and hysteresis width (∆H), were defined according to our previous study [33]. Phase transition characteristics of the as-deposited VO2 thin films are listed in Table 2. Note that all as-deposited thin films showed large resistance changes and narrow hysteresis widths, and the MIT temperature of the as-deposited VO2 thin film was varied from 55.7 to 49.2 °C when the peak discharge current was increased from 25 to 62 A. Particularly for sample S4, although the MIT temperature of this film was reduced to 49.2 °C, the resistance change, hysteresis width, and sharpness of the transition were 2100, 4.6 °C and 4.4 °C, respectively, which were close to those of the epitaxial VO2 thin films [1,21]. Consequently, reduction of the MIT temperature of VO2 thin film with less deterioration on phase transition properties was obtained by this method, and the MIT temperature was reduced to less than 50 °C when the discharge current was greater than 58 A.
The transmittance spectra of the as-deposited VO2 films at various temperatures are exhibited in Figure 2b. It is clear that the transmittance of the as-deposited VO2 thin film in near-infrared region decreased greatly when the temperature was increased from 24 to 75 °C, which proves that all of the as-deposited VO2 films possessed representative metal–insulator transitions. Moreover, the transmittance curves of samples S1 and S2 were similar, and their transmittance changes at 2500 nm were 44.6% and 56.7%, respectively. For samples S3 and S4, the transmittance curves were different from those of samples S1 and S2, and the transmittance changes at 2500 nm were 51.3% and 60.1%, respectively. Especially for sample S4, the transmittance curve was similar to that of the epitaxial VO2 film [1], which implies that the structure of sample S4 should be a perfect one.
XRD patterns of the as-deposited VO2 thin films are shown in Figure 3a. The obvious (011), (211), and (202) peaks in the patterns confirmed that all the as-deposited VO2 thin films were polycrystalline VO2(M) (JCPDS 44-0252). In addition, an intense diffraction peak of the VO2 (011) plane was prominent for all films. More than five diffraction peaks, such as (011), (020), (210), (211), and (022) etc., could be found in the XRD patterns of samples S1 and S2, while only (011), (211), and (202) peaks were conspicuous in those of samples S3 and S4. Therefore, it can be deduced that a large discharge current benefits the growth of high-ordered polycrystalline VO2 thin film.
According to previous studies, the MIT temperature of VO2 thin film can be affected by a lattice distortion, and the transition temperature decreases with the difference between the interplanar spacing of the as-deposited thin film and standard rutile VO2 [29,33,40]. To compare the lattice distortions before and after the phase transition process, the respective diffraction angles of standard VO2(R) (JCPDS 44-0253) were marked with red dashed lines. Since the magnitudes of the 2θ deviations are not clear in Figure 3a, magnified 2θ differences between the experimental diffraction angle of the as-deposited film and that of the standard VO2(R) are shown in Figure 3b,c. It can be found that the 2θ deviations were basically the same when the discharge current was changed, which means that the lattice distortions in all of the as-deposited films were similar. Therefore, the influence of the lattice distortion on the phase transition temperature of these films is neglected in this work.
The XPS V(2p) spectra recorded on the as-deposited VO2 film are exhibited in Figure 4a–d. All of the peaks were resolved into three main components at 516.9–517.2, 515.7–516.2, and 515.2–515.7 eV, corresponding to V5+, V4+ and V3+, respectively [41]. In addition, the relative concentration of V3+, V4+ and V5+ in the as-deposited VO2 thin films were calculated and are listed in Table 3. It is clear that VO2 was the main content for all the films, and the contents of V5+, V4+ and V3+ were similar. According to previous studies [41,42,43], V5+ could be attributed to the surface oxidization during storage in air, and the occurrence of V3+ was to keep the charge neutrality in the VO2 thin film.
Figure 5 displays the SEM images of the as-deposited VO2 thin films. It is clear that all the films possessed a nano-crystalline structure. In addition, the grain size varied with the discharge current. It can be found that sample S1 had the largest grain size, and other samples possessed similar small grains. As we know, the greater the peak current, the higher the ion density, and a high density ion impingement will retard the growth of the grains. Therefore, a large discharge current benefits the reduction of the crystalline size. However, when the discharge current was greater than 51 A (samples S2, S3, and S4), the crystalline size did not decrease any longer. The AFM images of the as-deposited VO2 thin films are shown in Figure 6. The roughness of samples S1, S2, S3, and S4 was 7.39, 2.14, 1.45, and 1.76 nm, respectively, which coincided with the SEM results.
Other studies have proved that the grain size affects the phase transition temperature of the polycrystalline VO2 thin film, and the film with a small gain size possessed a low MIT temperature [23,26,44]. As a result, the high MIT temperature of sample S1 could be attributed to its large grain size. However, since the grain sizes of samples S2, S3, or S4 were similar, the influence of the grain size on the phase transition temperature of these samples could be neglected. Similarly, the impact of the thickness could be ignored as well because these films possessed similar thicknesses.
To explain the reason that the MIT temperature of sample S2 was higher than those of samples S3 and S4, the structural changes in phase transition processes of samples S4 and S2 were compared. Figure 7a shows the XRD patterns of sample S4 during the heating process. The red dashed lines marked the diffraction peaks of standard VO2(R). Figure 7b,c give the magnifications of the deviations in 2θ from the peaks of standard VO2(R). It is clear that the interplanar spacing of (011), (211) and (202) planes of sample S4 was shifted step by step towards those of the standard VO2(R) in the heating process, implying that the crystal structure of polycrystalline VO2(M) thin film gradually became more similar to that of VO2(R). However, the change in the diffraction angle of the (011) plane was very small when the temperature was increased from 24 to 45 °C, which hints that the crystalline structure of the as-deposited film kept its original configuration in this temperature region. When the temperature was elevated from 45 to 58 °C, an obvious change in 2θ took place. When the temperature was increased from 58 to 68 °C, the reduction of the diffraction angle was very slight. Meanwhile, the diffraction peaks of the as-deposited VO2 thin film at 68 °C basically coincided with those of standard VO2(R), which reveals that the phase transition was completed. In addition, from the temperature dependences of the electrical resistance for sample S4, we can also find that the resistance changed rapidly from 45 to 58 °C, which should be derived from the obvious structural change in this region.
The XRD patterns of sample S2 at different temperatures during the heating process are shown in Figure 8a. Magnifications of the deviations in 2θ are shown in Figure 8b,c. During the phase transition process of sample 2, the interplanar spacing changes of (011), (211), (013), and (202) planes were similar to those of sample S4. However, as indicated by the arrows in Figure 8b, the interplanar spacing of the (020), (210), and (012) planes decreased rather than increased during the heating process, which means that some grains in sample S2 possessed reverse deformations during the heating process. Additionally, this phenomenon was also shown in Peter’s [13] study, in which the interplanar spacing of the (011) plane in VO2 film with a thickness of 30 nm was decreased when the temperature was increased from 20 to 60 °C.
Based on above analysis, we can find that some reverse deformations existed in the phase transition process of the VO2 thin film with a large amount of crystal orientations, and its probability decreased with the quantity of the crystal orientations. Obviously, an opposite deformation along the preferred crystalline orientation will retard the phase transition process, while a similar deformation will benefit such a process. Comparing the XRD patterns of samples S2 and S4 at different temperatures, we can deduce that similar deformations of different grains during the phase transition process benefit the reduction of the TMIT. Consequently, fabrication of the VO2 thin film with a small grain size and fewer crystalline orientations is a better method to reduce TMIT with little deterioration of the phase transition properties.

4. Conclusions

Polycrystalline VO2 thin films were prepared on the quartz substrates successfully by HiPIMS with the peak discharge current varied from 25 to 62 A. The microstructure and phase transition properties of the as-deposited films were influenced by the current. When it was 62 A, high-quality VO2 thin film with a resistance change of 2100 times, an MIT temperature of 49.2 °C, a transmittance change of 60.1%, a hysteresis width of 4.6 °C, and a transition sharpness of 4.4 °C, was obtained. The excellent phase transition properties were derived from the small grain size and high ordered preferred orientations in the film, in which reverse deformations did not exist during the phase transition process.

Acknowledgments

This work was supported by the fund of Shanghai Association for Science and Technology (SAST2015059).

Author Contributions

Tiegui Lin and Langping Wang conceived and designed the experiments; Tiegui Lin performed the experiments; Jian Wang, Yufen Zhang and Xiaofeng Wang analyzed the data; Gang Liu contributed materials; Tiegui Lin and Langping Wang wrote the paper.

Conflicts of Interest

The authors declare no conflict of interest.

References

  1. Kim, H.; Charipar, N.; Osofsky, M.; Qadri, S.B.; Piqué, A. Optimization of the semiconductor-metal transition in VO2 epitaxial thin films as a function of oxygen growth pressure. Appl. Phys. Lett. 2014, 104, 081913. [Google Scholar] [CrossRef]
  2. Morrison, V.R.; Chatelain, R.P.; Tiwari, K.L.; Hendaoui, A.; Bruhacs, A.; Chaker, M.; Siwick, B.J. A photoinduced metal-like phase of monoclinic VO2 revealed by ultrafast electron diffraction. Science 2014, 346, 445–448. [Google Scholar] [CrossRef] [PubMed]
  3. Sun, G.; Zhou, H.; Cao, X.; Li, R.; Tazawa, M.; Okada, M.; Jin, P. Self-Assembled Multilayer Structure and Enhanced Thermochromic Performance of Spinodally Decomposed TiO2-VO2 Thin Film. ACS Appl. Mater. Interfaces 2016, 8, 7054–7059. [Google Scholar] [CrossRef] [PubMed]
  4. Ji, Y.; Zhang, Y.; Gao, M.; Yuan, Z.; Xia, Y.; Jin, C.; Tao, B.; Chen, C.; Jia, Q. Role of microstructures on the M1-M2 phase transition in epitaxial VO2 thin films. Sci. Rep. 2014, 4, 4854. [Google Scholar] [CrossRef] [PubMed]
  5. Yoon, J.; Lee, G.; Park, C.; Mun, B.S.; Ju, H. Investigation of length-dependent characteristics of the voltage-induced metal insulator transition in VO2 film devices. Appl. Phys. Lett. 2014, 105, 083503. [Google Scholar] [CrossRef]
  6. Kumar, S.; Strachan, J.P.; Pickett, M.D.; Bratkovsky, A.; Nishi, Y.; Williams, R.S. Sequential electronic and structural transitions in VO2 observed using X-ray absorption spectromicroscopy. Adv. Mater. 2014, 26, 7505–7509. [Google Scholar] [CrossRef] [PubMed]
  7. Brassard, D.; Fourmaux, S.; Jean-Jacques, M.; Kieffer, J.C.; El Khakani, M.A. Grain size effect on the semiconductor-metal phase transition characteristics of magnetron-sputtered VO2 thin films. Appl. Phys. Lett. 2005, 87, 051910. [Google Scholar] [CrossRef]
  8. Mlyuka, N.R.; Niklasson, G.A.; Granqvist, C.G. Thermochromic multilayer films of VO2 and TiO2 with enhanced transmittance. Sol. Energy Mater. Sol. Cells 2009, 93, 1685–1687. [Google Scholar] [CrossRef]
  9. Romanyuk, A.; Steiner, R.; Marot, L.; Spassov, V.; Oelhafen, P. nc-VO2/Al2O3 nanocomposite films prepared by dual target magnetron sputtering. Thin Solid Films 2008, 516, 8513–8516. [Google Scholar] [CrossRef]
  10. Azhan, N.H.; Su, K.; Okimura, K.; Sakai, J. Radio frequency substrate biasing effects on the insulator-metal transition behavior of reactively sputtered VO2 films on sapphire (001). J. Appl. Phys. 2015, 117, 185307. [Google Scholar] [CrossRef]
  11. Chen, S.; Lai, J.; Dai, J.; Ma, H.; Wang, H.; Yi, X. Characterization of nanostructured VO2 thin films grown by magnetron controlled sputtering deposition and post annealing method. Opt. Express 2009, 17, 24153–24161. [Google Scholar] [CrossRef] [PubMed]
  12. Fu, G.; Polity, A.; Volbers, N.; Meyer, B.K. Annealing effects on VO2 thin films deposited by reactive sputtering. Thin Solid Films 2006, 515, 2519–2522. [Google Scholar] [CrossRef]
  13. Peter, A.P.; Martens, K.; Rampelberg, G.; Toeller, M.; Ablett, J.M.; Meersschaut, J.; Cuypers, D.; Ranquet, A.; Detavernier, C.; Rueff, J. Metal–Insulator Transition in ALD VO2 Ultrathin Films and Nanoparticles: Morphological Control. Adv. Funct. Mater. 2015, 25, 679–686. [Google Scholar] [CrossRef]
  14. Skuza, J.R.; Scott, D.W.; Pradhan, A.K. Sapphire substrate-induced effects in VO2 thin films grown by oxygen plasma-assisted pulsed laser deposition. J. Appl. Phys. 2015, 118, 195303. [Google Scholar] [CrossRef]
  15. Bayati, M.R.; Molaei, R.; Wu, F.; Budai, J.D.; Liu, Y.; Narayan, R.J.; Narayan, J. Correlation between structure and semiconductor-to-metal transition characteristics of VO2/TiO2/sapphire thin film heterostructures. Acta Mater. 2013, 61, 7805–7815. [Google Scholar] [CrossRef]
  16. Chen, F.H.; Fan, L.L.; Chen, S.; Liao, G.M.; Chen, Y.L.; Wu, P.; Song, L.; Zou, C.W.; Wu, Z.Y. Control of the metal–insulator transition in VO2 epitaxial film by modifying carrier density. ACS Appl. Mater. Interfaces 2015, 7, 6875–6881. [Google Scholar] [CrossRef] [PubMed]
  17. Guo, Y.; Xu, H.; Zou, C.; Yang, Z.; Tong, B.; Yu, J.; Zhang, Y.; Zhao, L.; Wang, Y. Evolution of structure and electrical properties with annealing time in solution-based VO2 thin films. J. Alloys Compd. 2015, 622, 913–917. [Google Scholar] [CrossRef]
  18. He, X.; Xu, J.; Xu, X.; Gu, C.; Chen, F.; Wu, B.; Wang, C.; Xing, H.; Chen, X.; Chu, J. Negative capacitance switching via VO2 band gap engineering driven by electric field. Appl. Phys. Lett. 2015, 106, 093106. [Google Scholar] [CrossRef]
  19. Ji, Y.-X.; Niklasson, G.A.; Granqvist, C.G.; Boman, M. Thermochromic VO2 films by thermal oxidation of vanadium in SO2. Sol. Energy Mater. Sol. Cells 2016, 144, 713–716. [Google Scholar] [CrossRef]
  20. Leroy, J.; Bessaudou, A.; Cosset, F.; Crunteanu, A. Structural, electrical and optical properties of thermochromic VO2 thin films obtained by reactive electron beam evaporation. Thin Solid Films 2012, 520, 4823–4825. [Google Scholar] [CrossRef]
  21. Jeong, J.; Aetukuri, N.; Graf, T.; Schladt, T.D.; Samant, M.G.; Parkin, S.S. Suppression of metal–insulator transition in VO2 by electric field-induced oxygen vacancy formation. Science 2013, 339, 1402–1405. [Google Scholar] [CrossRef] [PubMed]
  22. Kana, J.B.K.; Ndjaka, J.M.; Ateba, P.O.; Ngom, B.D.; Manyala, N.; Nemraoui, O.; Beye, A.C.; Maaza, M. Thermochromic VO2 thin films synthesized by rf-inverted cylindrical magnetron sputtering. Appl. Surf. Sci. 2008, 254, 3959–3963. [Google Scholar] [CrossRef]
  23. Miller, M.J.; Wang, J. Influence of grain size on transition temperature of thermochromic VO2. J. Appl. Phys. 2015, 117, 034307. [Google Scholar] [CrossRef]
  24. Fortier, J.P.; Baloukas, B.; Zabeida, O.; Klemberg-Sapieha, J.E.; Martinu, L. Thermochromic VO2 thin films deposited by HiPIMS. Sol. Energy Mater. Sol. Cells 2014, 125, 291–296. [Google Scholar] [CrossRef]
  25. Yu, Q.; Li, W.; Liang, J.; Duan, Z.; Hu, Z.; Liu, J.; Chen, H.; Chu, J. Oxygen pressure manipulations on the metal–insulator transition characteristics of highly (011)-oriented vanadium dioxide films grown by magnetron sputtering. J. Phys. D Appl. Phys. 2013, 46, 055310. [Google Scholar] [CrossRef]
  26. Jian, J.; Zhang, W.; Jacob, C.; Chen, A.; Wang, H.; Huang, J.; Wang, H. Roles of grain boundaries on the semiconductor to metal phase transition of VO2 thin films. Appl. Phys. Lett. 2015, 107, 102105. [Google Scholar] [CrossRef]
  27. Zhang, D.-P.; Zhu, M.-D.; Liu, Y.; Yang, K.; Liang, G.-X.; Zheng, Z.-H.; Cai, X.-M.; Fan, P. High performance VO2 thin films growth by DC magnetron sputtering at low temperature for smart energy efficient window application. J. Alloys Compd. 2016, 659, 198–202. [Google Scholar] [CrossRef]
  28. Ba, C.; Bah, S.T.; D’Auteuil, M.; Ashrit, P.V.; Vallee, R. Fabrication of high-quality VO2 thin films by ion-assisted dual ac magnetron sputtering. ACS Appl. Mater. Interfaces 2013, 5, 12520–12525. [Google Scholar] [CrossRef] [PubMed]
  29. Muraoka, Y.; Hiroi, Z. Metal–insulator transition of VO2 thin films grown on TiO2 (001) and (110) substrates. Appl. Phys. Lett. 2002, 80, 583. [Google Scholar] [CrossRef]
  30. Liu, X.; Wang, S.-W.; Chen, F.; Yu, L.; Chen, X. Tuning phase transition temperature of VO2 thin films by annealing atmosphere. J. Phys. D Appl. Phys. 2015, 48, 265104. [Google Scholar] [CrossRef]
  31. Mlyuka, N.R.; Niklasson, G.A.; Granqvist, C.G. Mg doping of thermochromic VO2 films enhances the optical transmittance and decreases the metal–insulator transition temperature. Appl. Phys. Lett. 2009, 95, 171909. [Google Scholar] [CrossRef]
  32. Azhan, N.H.; Okimura, K.; Ohtsubo, Y.; Kimura, S.-I.; Zaghrioui, M.; Sakai, J. Large modification in insulator-metal transition of VO2 films grown on Al2O3 (001) by high energy ion irradiation in biased reactive sputtering. J. Appl. Phys. 2016, 119, 055308. [Google Scholar] [CrossRef]
  33. Lin, T.; Wang, L.; Wang, X.; Zhang, Y.; Yu, Y. Influence of lattice distortion on phase transition properties of polycrystalline VO2 thin film. Appl. Surf. Sci. 2016, 379, 179–185. [Google Scholar] [CrossRef]
  34. Lin, T.; Wang, L.; Wang, X.; Zhang, Y. Characterization of polycrystalline VO2 thin film with low phase transition temperature fabricated by high power impulse magnetron sputtering. Funct. Mater. Lett. 2016, 9, 1650033. [Google Scholar] [CrossRef]
  35. Agnarsson, B.; Magnus, F.; Tryggvason, T.K.; Ingason, A.S.; Leosson, K.; Olafsson, S.; Gudmundsson, J.T. Rutile TiO2 thin films grown by reactive high power impulse magnetron sputtering. Thin Solid Films 2013, 545, 445–450. [Google Scholar] [CrossRef]
  36. Kouznetsov, V.; Macak, K.; Schneider, J.M.; Helmersson, U.; Petrov, I. A novel pulsed magnetron sputter technique utilizing very high target power densities. Surf. Coat. Technol. 1999, 122, 290–293. [Google Scholar] [CrossRef]
  37. Stranak, V.; Quaas, M.; Bogdanowicz, R.; Steffen, H.; Wulff, H.; Hubicka, Z.; Tichy, M.; Hippler, R. Effect of nitrogen doping on TiOxNy thin film formation at reactive high-power pulsed magnetron sputtering. J. Phys. D Appl. Phys. 2010, 43, 285203. [Google Scholar] [CrossRef]
  38. Anders, A. Discharge physics of high power impulse magnetron sputtering. Surf. Coat. Technol. 2011, 205, S1–S9. [Google Scholar] [CrossRef]
  39. Sarakinos, K.; Alami, J.; Konstantinidis, S. High power pulsed magnetron sputtering: A review on scientific and engineering state of the art. Surf. Coat. Technol. 2010, 204, 1661–1684. [Google Scholar] [CrossRef]
  40. Chen, R.; Miao, L.; Liu, C.; Zhou, J.; Cheng, H.; Asaka, T.; Iwamoto, Y.; Tanemura, S. Shape-controlled synthesis and influence of W doping and oxygen nonstoichiometry on the phase transition of VO2. Sci. Rep. 2015, 5, 14087. [Google Scholar] [CrossRef] [PubMed]
  41. Zhang, Z.; Gao, Y.; Chen, Z.; Du, J.; Cao, C.; Kang, L.; Luo, H. Thermochromic VO2 thin films: Solution-based processing, improved optical properties, and lowered phase transformation temperature. Langmuir ACS J. Surf. Colloids 2010, 26, 10738–10744. [Google Scholar] [CrossRef] [PubMed]
  42. Yang, T.-H.; Nori, S.; Mal, S.; Narayan, J. Control of room-temperature defect-mediated ferromagnetism in VO2 films. Acta Mater. 2011, 59, 6362–6368. [Google Scholar] [CrossRef]
  43. Dou, Y.-K.; Li, J.-B.; Cao, M.-S.; Su, D.-Z.; Rehman, F.; Zhang, J.-S.; Jin, H.-B. Oxidizing annealing effects on VO2 films with different microstructures. Appl. Surf. Sci. 2015, 345, 232–237. [Google Scholar] [CrossRef]
  44. Émond, N.; Hendaoui, A.; Ibrahim, A.; Al-Naib, I.; Ozaki, T.; Chaker, M. Transmission of reactive pulsed laser deposited VO2 films in the THz domain. Appl. Surf. Sci. 2016, 379, 377–383. [Google Scholar] [CrossRef]
Figure 1. Cathode (a) voltage and (b) current waveforms for different samples.
Figure 1. Cathode (a) voltage and (b) current waveforms for different samples.
Materials 10 00633 g001
Figure 2. (a) Temperature dependencies of the electrical resistance for the as-deposited VO2 thin films; and (b) the transmittance spectra of the as-deposited VO2 films at various temperatures.
Figure 2. (a) Temperature dependencies of the electrical resistance for the as-deposited VO2 thin films; and (b) the transmittance spectra of the as-deposited VO2 films at various temperatures.
Materials 10 00633 g002
Figure 3. (a) X-ray diffraction (XRD) patterns of the as-deposited VO2 thin films grown on quartz substrates; and (b,c) the magnified 2θ differences between the experimental diffraction angles of the as-deposited films and those of the standard VO2(R).
Figure 3. (a) X-ray diffraction (XRD) patterns of the as-deposited VO2 thin films grown on quartz substrates; and (b,c) the magnified 2θ differences between the experimental diffraction angles of the as-deposited films and those of the standard VO2(R).
Materials 10 00633 g003aMaterials 10 00633 g003b
Figure 4. X-ray photoelectron spectroscopy (XPS) V(2P) spectra for different as-deposited VO2 thin films. (a) S1; (b) S2; (c) S3; and (d) S4.
Figure 4. X-ray photoelectron spectroscopy (XPS) V(2P) spectra for different as-deposited VO2 thin films. (a) S1; (b) S2; (c) S3; and (d) S4.
Materials 10 00633 g004aMaterials 10 00633 g004b
Figure 5. Scanning electron microscope (SEM) images of as-deposited VO2 thin films.
Figure 5. Scanning electron microscope (SEM) images of as-deposited VO2 thin films.
Materials 10 00633 g005
Figure 6. Atomic force microscope (AFM) images of as-deposited VO2 thin films.
Figure 6. Atomic force microscope (AFM) images of as-deposited VO2 thin films.
Materials 10 00633 g006
Figure 7. (a) XRD patterns of sample S4 during the heating process, and (b,c) magnified 2θ differences between the experimental diffraction angles and those of the standard VO2(R) at different temperatures.
Figure 7. (a) XRD patterns of sample S4 during the heating process, and (b,c) magnified 2θ differences between the experimental diffraction angles and those of the standard VO2(R) at different temperatures.
Materials 10 00633 g007
Figure 8. (a) XRD patterns of sample S2 during the heating processes; and (b,c) magnified 2θ differences between the experimental diffraction angles and those of the standard VO2(R) at different temperatures. Therein, the diffraction angles indicated by the blue arrows increased instead of decreasing during heating process.
Figure 8. (a) XRD patterns of sample S2 during the heating processes; and (b,c) magnified 2θ differences between the experimental diffraction angles and those of the standard VO2(R) at different temperatures. Therein, the diffraction angles indicated by the blue arrows increased instead of decreasing during heating process.
Materials 10 00633 g008
Table 1. Main processing parameters for different samples.
Table 1. Main processing parameters for different samples.
Sample No.Discharge Voltage (V)Peak Current (A)Pulse Frequency (Hz)Pulse Width (μs)Average Power (W)
S164025100400403
S26705150400385
S36805850400401
S46836250400403
Table 2. Phase transition characteristics of the as-deposited VO2 thin films.
Table 2. Phase transition characteristics of the as-deposited VO2 thin films.
Sample No.Tc, heating (°C)Tc, cooling (°C)TMIT (°C)∆H (°C)∆T (°C)R0 (Ω/□)R1 (Ω/□)∆R
S15853.455.74.68.55.2 × 1054.7 × 1021.1 × 103
S255.65153.34.67.42 × 105902.2 × 103
S352.847.2505.64.63.1 × 1051.9 × 1021.6 × 103
S451.546.949.24.64.41.5 × 105702.1 × 103
Table 3. Content of V with different valence states.
Table 3. Content of V with different valence states.
Sample No.V3+V4+V5+
S117.60%51.38%31.02%
S217.14%49.69%33.17%
S317.07%48%34.93%
S417.30%51.80%30.90%

Share and Cite

MDPI and ACS Style

Lin, T.; Wang, J.; Liu, G.; Wang, L.; Wang, X.; Zhang, Y. Influence of Discharge Current on Phase Transition Properties of High Quality Polycrystalline VO2 Thin Film Fabricated by HiPIMS. Materials 2017, 10, 633. https://doi.org/10.3390/ma10060633

AMA Style

Lin T, Wang J, Liu G, Wang L, Wang X, Zhang Y. Influence of Discharge Current on Phase Transition Properties of High Quality Polycrystalline VO2 Thin Film Fabricated by HiPIMS. Materials. 2017; 10(6):633. https://doi.org/10.3390/ma10060633

Chicago/Turabian Style

Lin, Tiegui, Jian Wang, Gang Liu, Langping Wang, Xiaofeng Wang, and Yufen Zhang. 2017. "Influence of Discharge Current on Phase Transition Properties of High Quality Polycrystalline VO2 Thin Film Fabricated by HiPIMS" Materials 10, no. 6: 633. https://doi.org/10.3390/ma10060633

APA Style

Lin, T., Wang, J., Liu, G., Wang, L., Wang, X., & Zhang, Y. (2017). Influence of Discharge Current on Phase Transition Properties of High Quality Polycrystalline VO2 Thin Film Fabricated by HiPIMS. Materials, 10(6), 633. https://doi.org/10.3390/ma10060633

Note that from the first issue of 2016, this journal uses article numbers instead of page numbers. See further details here.

Article Metrics

Back to TopTop