Direct Numerical Simulation of Supersonic Turbulent Boundary Layer with Spanwise Wall Oscillation
Abstract
:1. Introduction
2. Methodologies
2.1. Governing Equations
2.2. Numerical Method
2.3. Computational Setup
3. Results and Discussion
3.1. Validation
3.2. Drag and Wall Heat Flux
3.3. Mean Profiles
3.4. Transport Properties
3.5. Reynolds Analogy
4. Conclusions
- The turbulent coherent structures are suppressed by SWO, especially for cases with large SWO amplitude. The drag is reduced to a similar level with that of the incompressible flow, indicating a limited influence of the compressibility on the drag reduction. The absolute values of Reynolds stresses are reduced by SWO, while the reduction might be not so obvious when the local friction velocity is used as the reference.
- WHF, mean temperature profile and temperature fluctuation statistics are modified by SWO differently with drag, mean velocity profile and velocity fluctuation statistics. Due to the heating effect of the spanwise Stokes layer induced by SWO, WHF is largely increased for most cases. The reduction of WHF is possible to be realized only with carefully optimized SWO parameters.
- The analysis of heat transport reveals that the underline heat transport mechanism of turbulence is consistent with turbulent momentum transport for both controlled and uncontrolled cases. They are both dominated by the sweep and ejection motions of streamwise vortices in the boundary layer.
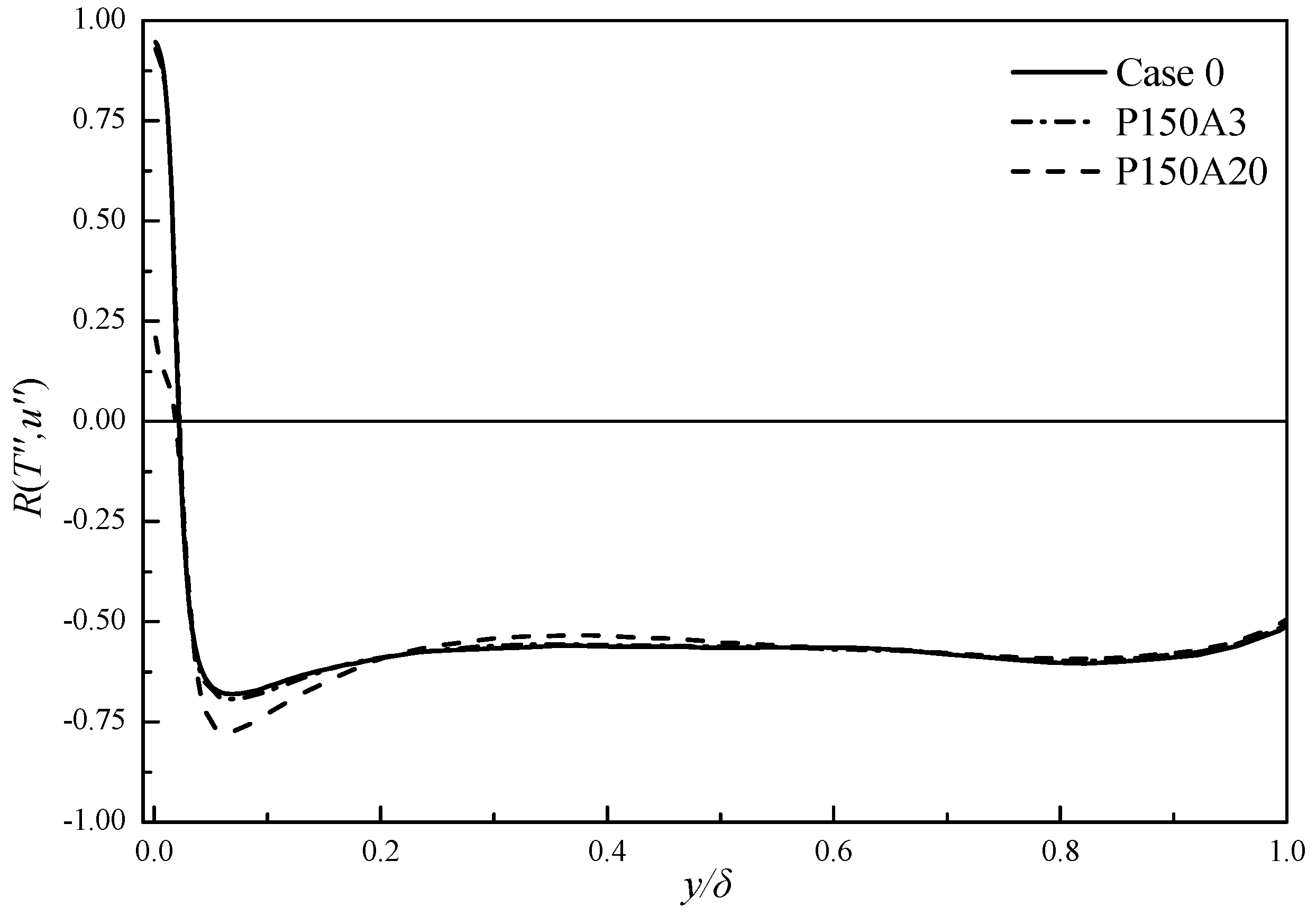
- Consequently, the correlation and corresponding relations of temperature field and velocity field are well preserved. Both the Reynolds analogy and strong Reynolds analogy hold.
- Therefore, it is possible to apply turbulent drag reduction technologies to suppressing WHF by reducing turbulent heat transport in the supersonic turbulent boundary layer.
Acknowledgments
Author Contributions
Conflicts of Interest
Abbreviations
| DNS | direct numerical simulation |
| SWO | spanwise wall oscillation |
| WHF | wall heat flux |
| CPI | constant power input |
| N-S | Navier–Stokes |
| TVD | total variation diminishing |
| RMS | root mean square |
| DR | the rates of the change of the drag |
| HR | the rates of the change of the wall heat flux |
| 1D | one-dimensional |
References
- Korkegi, R.H. Survey of viscous interaction associated with high Mach number flight. AIAA J. 1971, 9, 771–784. [Google Scholar] [CrossRef]
- Aso, S.; Kumamoto, Y.; Kondo, N.; Nakamura, Y.; Katayama, M.; Kurosaki, R. Aerodynamic heating with boundary layer transition and heat protection with mass addition on blunt body in hypersonic flows. In Proceedings of the 23rd Fluid Dynamics, Plasmadynamics, and Lasers Conference, Orlando, FL, USA, 6–9 July 1993.
- Li, F.C.; Kawaguchi, Y. Investigation on the characteristics of turbulence transport for momentum and heat in a drag-reducing surfactant solution flow. Phys. Fluids 2004, 16, 3281–3295. [Google Scholar] [CrossRef]
- Stalio, E.; Nobile, E. Direct numerical simulation of heat transfer over riblets. Int. J. Heat Fluid Flow 2003, 24, 356–371. [Google Scholar] [CrossRef]
- Fang, J.; Lu, L. Large eddy simulation of compressible turbulent channel flow with active spanwise wall fluctuations. Mod. Phys. Lett. 2010, B2, 1457–1460. [Google Scholar] [CrossRef]
- Jung, W.J.; Mangiavacchi, N.; Akhavan, R. Suppression of turbulence in wall-bounded flows by high-frequency spanwise oscillations. Phys. Fluids A 1992, 4, 1605–1607. [Google Scholar] [CrossRef]
- Laadhari, F.; Skandaji, L.; Morel, R. Turbulence reduction in a boundary layer by a local spanwise oscillation surface. Phys. Fluids 1994, 6, 3218–3220. [Google Scholar] [CrossRef]
- Baron, A.; Quadrio, M. Turbulent drag reduction by spanwise wall oscillations. Appl. Sci. Res. 1995, 55, 311–326. [Google Scholar] [CrossRef]
- Choi, K.S.; DeBisschop, J.R.; Clayton, B.R. Turbulent boundary layer control by means of spanwise-wall oscillation. AIAA J. 1998, 36, 1157–1163. [Google Scholar] [CrossRef]
- Choi, K.S.; Clayton, B.R. The mechanism of turbulent drag reduction with wall oscillation. Int. J. Heat Fluid Flow 2001, 22, 1–9. [Google Scholar] [CrossRef]
- Quadrio, M. Drag reduction in turbulent boundary layers by in-plane wall motion. Phil. Trans. R. Soc. A 2011, 369, 1428–1442. [Google Scholar] [CrossRef] [PubMed]
- Trujillo, S.M.; Bogard, D.G.; Ball, K.S. Turbulent boundary layer drag reduction using an oscillating wall. In Proceedings of the 4th AIAA Shear Flow Control Conference, Snowmass Village, CO, USA, 25 June 1997.
- Ricco, P.; Wu, S. On the effects of lateral wall oscillations on a turbulent boundary layer. Exp. Therm. Fluid Sci. 2004, 29, 41–52. [Google Scholar] [CrossRef]
- Skote, M. Temporal and spatial transients in turbulent boundary layer flow over an oscillating wall. Int. J. Heat Fluid Flow 2013, 38, 1–12. [Google Scholar] [CrossRef]
- Quadrio, M.; Ricco, P. Critical assessment of turbulent drag reduction through spanwise wall oscillations. J. Fluid Mech. 2004, 521, 251–271. [Google Scholar] [CrossRef]
- Ricco, P.; Quadrio, M. Wall-oscillation conditions for drag reduction in turbulent channel flow. Int. J. Heat Fluid Flow 2008, 29, 891–902. [Google Scholar] [CrossRef]
- Hasegawa, Y.; Quadrio, M.; Frohnapfel, B. Numerical simulation of turbulent duct flows with constant power input. J. Fluid Mech. 2014, 750, 191–209. [Google Scholar] [CrossRef]
- Fang, J.; Lu, L.; Shao, L. Large eddy simulation of compressible turbulent channel flow with spanwise wall oscillation. Sci. China Ser. G 2009, 52, 1233–1243. [Google Scholar] [CrossRef]
- Fang, J.; Lu, L.; Shao, L. Heat transport mechanisms of low Mach number turbulent channel flow with spanwise wall oscillation. Acta Mech. Sin. 2010, 26, 391–399. [Google Scholar] [CrossRef]
- Lele, S.K. Compact finite difference schemes with spectral-like resolution. J. Comput. Phys. 1992, 103, 16–42. [Google Scholar] [CrossRef]
- Sandham, N.D.; Li, Q.; Yee, H.C. Entropy splitting for high–order numerical simulation of compressible turbulence. J. Comput. Phys. 2002, 178, 307–322. [Google Scholar] [CrossRef]
- Gaitonde, D.V.; Visbal, M.R. Pade-type higher-order boundary filtersfor the Navier-Stokes Equations. AIAA J. 2000, 38, 2103–2112. [Google Scholar] [CrossRef]
- Gottlieb, S.; Shu, C.W. Total variation diminishing Runge-Kutta schemes. Math. Comput. 1998, 67, 73–85. [Google Scholar] [CrossRef]
- Yudhistira, I.; Skote, M. Direct numerical simulation of a turbulent boundary layer over an oscillating wall. J. Turbulence 2011, 12, 1–17. [Google Scholar] [CrossRef]
- Sagaut, P. Theoretical Background: Large-Eddy Simulation, Large-Eddy Simulation for Acoustics, 1st ed.; Cambridge University Press: Cambridge, UK, 2007; pp. 89–127. [Google Scholar]
- Touber, E.; Sandham, N.D. Large-eddy simulation of low-frequency unsteadiness in a turbulent shock-induced separation bubble. Theor. Comput. Fluid Dyn. 2009, 23, 79–107. [Google Scholar] [CrossRef]
- Kim, J.W.; Lee, D.J. Generalized characteristic boundary conditions for computational aeroacoustics. AIAA J. 2000, 38, 2040–2049. [Google Scholar] [CrossRef]
- Kim, J.W.; Lee, D.J. Generalized characteristic boundary conditions for computational aeroacoustics, part 2. AIAA J. 2004, 41, 47–55. [Google Scholar] [CrossRef]
- Gatti, D.; Quadrio, M. Performance losses of drag-reducing spanwise forcing at moderate values of the Reynolds number. Phys. Fluids 2013, 25, 125109. [Google Scholar] [CrossRef]
- Murlis, J.; Tsai, H.M.; Bradshaw, P. The structure of turbulent boundary layers at low Reynolds numbers. J. Fluid Mech. 1982, 122, 12–56. [Google Scholar] [CrossRef]
- Erm, L.P.; Joubert, P.N. Low Reynolds number turbulent boundary layers. J. Fluid Mech. 1991, 230, 1–44. [Google Scholar] [CrossRef]
- Martin, M.P. Direct numerical simulation of hypersonic turbulent boundary layers Part 1. Initialization and comparison with experiments. J. Fluid Mech. 2007, 570, 347–364. [Google Scholar] [CrossRef]
- Lagha, M.; Kim, J.; Eldredge, J.D.; Zhong, X. A numerical study of compressible turbulent boundary layers. Phys. Fluids 2011, 23, 015106. [Google Scholar] [CrossRef]
- Guarini, S.E.; Moser, R.D.; Shariff, K.; Wray, A. Direct numerical simulation of a supersonic turbulent boundary layer at Mach 2.5. J. Fluid Mech. 2000, 414, 1–33. [Google Scholar] [CrossRef]
- Fang, J.; Yao, Y.; Zheltovodov, A.A.; Li, Z.; Lu, L. Direct numerical simulation of supersonic turbulent flows around a tandem expansion-compression corner. Phys. Fluids 2000, 27, 125104. [Google Scholar] [CrossRef]
- Purtell, L.P.; Klebanoff, P.S.; Buckley, F.T. Turbulent boundary layer at low Reynolds number. Phys. Fluids 1981, 24, 802. [Google Scholar] [CrossRef]
- Spalart, P.R. Direct numerical simulation of a turbulent boundary layer up to Reθ = 1410. J. Fluid Mech. 1988, 187, 61–98. [Google Scholar] [CrossRef]
- Wu, X.; Moin, P. Direct numerical simulation of turbulence in a nominally zero-pressure-gradient flat-plate boundary layer. J. Fluid Mech. 2009, 630, 5–41. [Google Scholar] [CrossRef]
- Pirozzoli, S.; Bernardini, M.; Grasso, F. Direct numerical simulation of transonic shock/boundary layer interaction under conditions of incipient separation. J. Fluid Mech. 2010, 657, 361–393. [Google Scholar] [CrossRef]
- Duan, L.; Beekman, I.; Martin, M.P. Direct numerical simulation of hypersonic turbulent boundary layers. Part 2. Effect of wall temperature. J. Fluid Mech. 2010, 655, 419–445. [Google Scholar] [CrossRef]
- Zhou, J.; Adrian, R.J.; Balachandar, S.; Kendall, T.M. Mechanisms for generating coherent packets of hairpin vortices in channel flow. J. Fluid Mech. 1999, 387, 353–396. [Google Scholar] [CrossRef]
- Iuso, G.; Cicca, G.M.D.; Onoratob, M.; Spazzini, P.G.; Malvano, R. Velocity streak structure modifications induced by flow manipulation. Phys. Fluids 2003, 15, 2602–2612. [Google Scholar] [CrossRef]
- Touber, E.; Leschziner, M.A. Near-wall streak modification by spanwise oscillatory wall motion and drag-reduction mechanisms. J. Fluid Mech. 2012, 693, 150–200. [Google Scholar] [CrossRef]
- Quadrio, M.; Ricco, P. The laminar generalized stokes layer and turbulent drag reduction. J. Fluid Mech. 2011, 667, 135–157. [Google Scholar] [CrossRef]
- Skote, M. Turbulent boundary layer flow subject to streamwise oscillation of spanwise wall-velocity. Phys. Fluids 2011, 23, 081703. [Google Scholar] [CrossRef]
- Kim, J.; Moin, P.; Moser, R. Turbulence statistics in fully developed channel flow at low Reynolds number. J. Fluid Mech. 1987, 177, 133–166. [Google Scholar] [CrossRef]
- Jiménez, J.; Pinelli, A. The autonomous cycle of near wall turbulence. J. Fluid Mech. 1999, 389, 335–359. [Google Scholar] [CrossRef]
- Jiménez, J. Near-wall turbulence. Phys. Fluids 2013, 25, 101302. [Google Scholar] [CrossRef]
























| Group | Case | No. of Samples | ||
|---|---|---|---|---|
| 0 | 0 | ∞ | 0 | 2000 |
| 1 | P50A3 | 50 | 3 | 1640 |
| P100A3 | 100 | 3 | 1680 | |
| P150A3 | 150 | 3 | 2120 | |
| P200A3 | 200 | 3 | 1800 | |
| P250A3 | 250 | 3 | 1760 | |
| P300A3 | 300 | 3 | 1720 | |
| P400A3 | 400 | 3 | 1720 | |
| 2 | P150A1 | 150 | 1 | 2120 |
| P150A1.5 | 150 | 1.5 | 2120 | |
| P150A3 | 150 | 3 | 2120 | |
| P150A5 | 150 | 5 | 2120 | |
| P150A7 | 150 | 7 | 2120 | |
| P150A10 | 150 | 10 | 2120 | |
| P150A20 | 150 | 20 | 2120 |
| Group | Case | Min DR | Max HR | Min HR | Corrected Min HR |
|---|---|---|---|---|---|
| 1 | P50A3 | −6% | 10% | 6% | −7% |
| P100A3 | −8% | 5% | 0% | −9% | |
| P150A3 | −7% | 4% | −2% | −9% | |
| P200A3 | −7% | 3% | −2% | −8% | |
| P250A3 | −6% | 2% | −2% | −7% | |
| P300A3 | −5% | 2% | −2% | −6% | |
| P400A3 | −4% | 2% | −1% | −5% | |
| 2 | P150A1 | −2% | 1% | −2% | −3% |
| P150A1.5 | −2% | 2% | −1% | −3% | |
| P150A3 | −7% | 4% | −2% | −9% | |
| P150A5 | −14% | 10% | 3% | −17% | |
| P150A7 | −18% | 22% | 15% | −24% | |
| P150A10 | −24% | 52% | 44% | −34% | |
| P150A20 | −35% | 248% | 242% | −53% |
| Case | |||
|---|---|---|---|
| 0 | 2.55 | 1.36 | 95% |
| P150A3 | 2.14 | 1.08 | 93% |
| P150A20 | 1.48 | 5.92 | 56% |
© 2016 by the authors; licensee MDPI, Basel, Switzerland. This article is an open access article distributed under the terms and conditions of the Creative Commons by Attribution (CC-BY) license (http://creativecommons.org/licenses/by/4.0/).
Share and Cite
Ni, W.; Lu, L.; Ribault, C.L.; Fang, J. Direct Numerical Simulation of Supersonic Turbulent Boundary Layer with Spanwise Wall Oscillation. Energies 2016, 9, 154. https://doi.org/10.3390/en9030154
Ni W, Lu L, Ribault CL, Fang J. Direct Numerical Simulation of Supersonic Turbulent Boundary Layer with Spanwise Wall Oscillation. Energies. 2016; 9(3):154. https://doi.org/10.3390/en9030154
Chicago/Turabian StyleNi, Weidan, Lipeng Lu, Catherine Le Ribault, and Jian Fang. 2016. "Direct Numerical Simulation of Supersonic Turbulent Boundary Layer with Spanwise Wall Oscillation" Energies 9, no. 3: 154. https://doi.org/10.3390/en9030154
APA StyleNi, W., Lu, L., Ribault, C. L., & Fang, J. (2016). Direct Numerical Simulation of Supersonic Turbulent Boundary Layer with Spanwise Wall Oscillation. Energies, 9(3), 154. https://doi.org/10.3390/en9030154

