Enhancing Methane Production from Olive Mill Wastewater Through Homogeneous Fenton Pretreatment Using Different Iron Sources
Abstract
1. Introduction
2. Materials and Methods
2.1. OMW and Inoculum
2.2. Experimental Design
2.3. Fenton Process
2.4. Biochemical Methane Potential
2.5. Analytical Methods
2.6. Statistical Analysis
3. Results and Discussion
3.1. OMW Samples Characterization
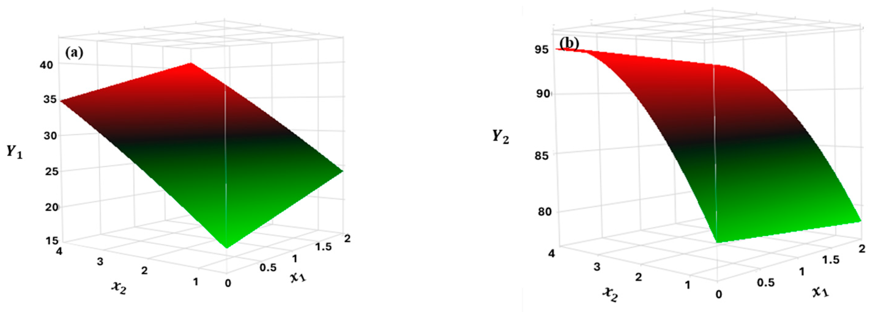
3.2. Influence of Operating Conditions on Fenton Process Efficiency
3.3. Process Integration: Anaerobic Digestion After the Fenton Process
3.4. Effect of Fe (II) and Fe (III) on Anaerobic Digestion
4. Conclusions
Supplementary Materials
Author Contributions
Funding
Data Availability Statement
Conflicts of Interest
Nomenclature
| BMP | Biochemical methane potential (NmLCH4/gCODi) |
| BOD5 | Biochemical oxygen demand (gO2/L) |
| COD | Chemical Oxygen Demand (gO2/L) |
| TOC | Total organic carbon (gC/L) |
| TKN | Total Kjeldahl Nitrogen (gN/L) |
| TPh | Total phenolic compounds (g/L) |
| TP | Total phosphorus (mgP/L) |
| TS | Total solids (g/L) |
| VS | Volatile solids (g/L) |
| Acronyms | |
| AD | Anaerobic Digestion |
| CCD | Central Composite Design |
| DoE | Design of experiments |
| EBA | European Biogas Association |
| EU | European Union |
| MPB | Methane-producing bacteria |
| OMW | Olive mill wastewater |
| OP | Olive Pomace |
| RSM | Response surface methodology |
| SIR | Substrate-to-inoculum ratio |
| SRB | Sulfate-reducing bacteria |
References
- Almeida, P.V.; Rodrigues, R.P.; Teixeira, L.M.; Santos, A.F.; Martins, R.C.; Quina, M.J. Bioenergy production through mono and co-digestion of tomato residues. Energies 2021, 14, 5563. [Google Scholar] [CrossRef]
- EBA (European Biogas Association). Available online: https://www.europeanbiogas.eu/ (accessed on 15 October 2025).
- Gómez-Camacho, C.E.; Pirone, R.; Ruggeri, B. Is the Anaerobic Digestion (AD) sustainable from the energy point of view? Energy Convers. Manag. 2021, 231, 113857. [Google Scholar] [CrossRef]
- Wongarmat, W.; Sittijunda, S.; Imai, T.; Reungsang, A. Co-digestion of filter cake, biogas effluent, and anaerobic sludge for hydrogen and methane production: Optimizing energy recovery through two-stage anaerobic digestion. Carbon Resour. Convers. 2025, 8, 100248. [Google Scholar] [CrossRef]
- Archana, K.; Visckram, A.S.; Kumar, P.S.; Manikandan, S.; Saravanan, A.; Natrayan, L. A review on recent technological breakthroughs in anaerobic digestion of organic biowaste for biogas generation: Challenges towards sustainable development goals. Fuel 2024, 358, 130298. [Google Scholar] [CrossRef]
- Parascanu, M.M.; Sánchez, P.; Soreanu, G.; Valverde, J.L.; Sanchez-Silva, L. Environmental assessment of olive pomace valorization through two different thermochemical processes for energy production. J. Clean. Prod. 2018, 186, 771–781. [Google Scholar] [CrossRef]
- Medouni-Haroune, L.; Zaidi, F.; Medouni-Adrar, S.; Kecha, M. Olive pomace: From an olive mill waste to a resource, an overview of the new treatments. J. Crit. Rev. 2018, 5, 1–6. [Google Scholar] [CrossRef]
- Ioannou-Ttofa, L.; Michael-Kordatou, I.; Fattas, S.C.; Eusebio, A.; Ribeiro, B.; Rusan, M.; Americano, A.R.B.; Zuraiqi, S.; Waismand, M.; Linder, C.; et al. Treatment efficiency and economic feasibility of biological oxidation, membrane filtration and separation processes, and advanced oxidation for the purification and valorization of olive mill wastewater. Water Res. 2017, 114, 1–13. [Google Scholar] [CrossRef]
- Hakim, C.; Neffa, M.; Essadek, A.; Battimelli, A.; Escudie, R.; García-Bernet, D.; Harmand, J.; Carrère, H. Combined Continuous Resin Adsorption and Anaerobic Digestion of Olive Mill Wastewater for Polyphenol and Energy Recovery. Energies 2025, 18, 3226. [Google Scholar] [CrossRef]
- Calabrò, P.S.; Fòlino, A.; Tamburino, V.; Zappia, G.; Zema, D.A. Increasing the tolerance to polyphenols of the anaerobic digestion of olive wastewater through microbial adaptation. Biosyst. Eng. 2018, 172, 19–28. [Google Scholar] [CrossRef]
- Vaz, T.; Domingues, S.; Martins, R.C.; Gomes, J.; Quina, M.J. Ozonation to enhance methane production in anaerobic digestion of olive oil industry wastewater. J. Environ. Chem. Eng. 2025, 13, 117888. [Google Scholar] [CrossRef]
- Amor, C.; Lucas, M.S.; Garcia, J.; Dominguez, J.R.; De Heredia, J.B.; Peres, J.A. Combined treatment of olive mill wastewater by Fenton’s reagent and anaerobic biological process. J. Environ. Sci. Health Part A 2015, 50, 161–168. [Google Scholar] [CrossRef]
- Al Bawab, A.F.; Abu-Dalo, M.A.; Kanaan, H.; Al-Rawashdeh, N.; Odeh, F. Removal of phenolic compounds from olive mill wastewater (OMW) by tailoring the surface of activated carbon under acidic and basic conditions. Water Sci. Technol. 2025, 91, 567–580. [Google Scholar] [CrossRef]
- Domingues, E.; Fernandes, E.; Gomes, J.; Castro-Silva, S.; Martins, R.C. Olive oil extraction industry wastewater treatment by coagulation and Fenton’s process. J. Water Process Eng. 2021, 39, 101818. [Google Scholar] [CrossRef]
- Amaral-Silva, N.; Martins, R.C.; Castro-Silva, S.; Quinta-Ferreira, R.M. Integration of traditional systems and advanced oxidation process technologies for the industrial treatment of olive mill wastewaters. Environ. Technol. 2016, 37, 2524–2535. [Google Scholar] [CrossRef]
- Reis, P.M.; Martins, P.J.; Martins, R.C.; Gando-Ferreira, L.M.; Quinta-Ferreira, R.M. Integrating Fenton’s process and ion exchange for olive mill wastewater treatment and iron recovery. Environ. Technol. 2018, 39, 308–316. [Google Scholar] [CrossRef]
- Ruan, R.; Cao, J.; Li, C.; Zheng, D.; Luo, J. The influence of micro-oxygen addition on desulfurization performance and microbial communities during waste-activated sludge digestion in a rusty scrap iron-loaded anaerobic digester. Energies 2017, 10, 258. [Google Scholar] [CrossRef]
- Suanon, F.; Sun, Q.; Li, M.; Cai, X.; Zhang, Y.; Yan, Y.; Yu, C.P. Application of nanoscale zero valent iron and iron powder during sludge anaerobic digestion: Impact on methane yield and pharmaceutical and personal care products degradation. J. Hazard. Mater. 2017, 321, 47–53. [Google Scholar] [CrossRef] [PubMed]
- Kong, X.; Yu, S.; Xu, S.; Fang, W.; Liu, J.; Li, H. Effect of Fe0 addition on volatile fatty acids evolution on anaerobic digestion at high organic loading rates. Waste Manag. 2018, 71, 719–727. [Google Scholar] [CrossRef] [PubMed]
- Wei, J.; Hao, X.; van Loosdrecht, M.C.; Li, J. Feasibility analysis of anaerobic digestion of excess sludge enhanced by iron: A review. Renew. Sustain. Energy Rev. 2018, 89, 16–26. [Google Scholar] [CrossRef]
- Vaz, T.; Quina, M.M.; Martins, R.C.; Gomes, J. Activation of Persulfate by temperature and iron filings for the treatment of synthetic olive mill wastewater: Optimization of conditions with a box–Behnken design. Sep. Purif. Technol. 2025, 359, 130605. [Google Scholar] [CrossRef]
- Zhang, Z.; Zheng, H. Optimization for decolorization of azo dye acid green 20 by ultrasound and H2O2 using response surface methodology. J. Hazard. Mater. 2009, 172, 1388–1393. [Google Scholar] [CrossRef]
- Agrawal, M.; Saraf, S.; Pradhan, M.; Patel, R.J.; Singhvi, G.; Alexander, A. Design and optimization of curcumin loaded nano lipid carrier system using Box-Behnken design. Biomed. Pharmacother. 2021, 141, 111919. [Google Scholar] [CrossRef] [PubMed]
- Görmez, F.; Görmez, Ö.; Yabalak, E.; Gözmen, B. Application of the central composite design to mineralization of olive mill wastewater by the electro/FeII/persulfate oxidation method. SN Appl. Sci. 2020, 2, 178. [Google Scholar] [CrossRef]
- Angelidaki, I.; Alves, M.; Bolzonella, D.; Borzacconi, L.; Campos, J.L.; Guwy, A.J.; Kalyuzhnyi, S.; Jenicek, P.; Van Lier, J.B. Defining the biomethane potential (BMP) of solid organic wastes and energy crops: A proposed protocol for batch assays. Water Sci. Technol. 2009, 59, 927–934. [Google Scholar] [CrossRef]
- Khoufi, S.; Aloui, F.; Sayadi, S. Treatment of olive oil mill wastewater by combined process electro-Fenton reaction and anaerobic digestion. Water Res. 2006, 40, 2007–2016. [Google Scholar] [CrossRef]
- Baird, R.B.; Eaton, A.D.; Rice, E.W. Standard Methods for the Examination of Water and Wastewater, 23rd ed.; American Public Health Association: Washington, DC, USA, 2017. [Google Scholar]
- Lamuela-Raventós, R.M. Folin–Ciocalteu method for the measurement of total phenolic content and antioxidant capacity. In Measurement of Antioxidant Activity & Capacity: Recent Trends and Applications; Apak, R., Capanoglu, E., Shahidi, F., Eds.; Wiley: Hoboken, NJ, USA, 2018. [Google Scholar]
- Martins, D.; Martins, R.C.; Braga, M.E.M. Biocompounds recovery from olive mill wastewater by liquid-liquid extraction and integration with Fenton’s process for water reuse. Environ. Sci. Pollut. Res. Int. 2021, 28, 29521–29534. [Google Scholar] [CrossRef]
- Manos, D.; Miserli, K.; Konstantinou, I. Perovskite and spinel catalysts for sulfate radical-based advanced oxidation of organic pollutants in water and wastewater systems. Catalysts 2020, 10, 1299. [Google Scholar] [CrossRef]
- Domingues, E.; Silva, M.J.; Vaz, T.; Gomes, J.; Martins, R.C. Sulfate radical based advanced oxidation processes for agro-industrial effluents treatment: A comparative review with Fenton’s peroxidation. Sci. Total Environ. 2022, 832, 155029. [Google Scholar] [CrossRef] [PubMed]
- Vaz, T.; Quina, M.M.; Martins, R.C.; Gomes, J. Olive mill wastewater treatment strategies to obtain quality water for irrigation: A review. Sci. Total Environ. 2024, 931, 172676. [Google Scholar] [CrossRef]
- Tufaner, F. Evaluation of COD and color removals of effluents from UASB reactor treating olive oil mill wastewater by Fenton process. Sep. Sci. Technol. 2020, 55, 3455–3466. [Google Scholar] [CrossRef]
- Maamir, W.; Ouahabi, Y.; Poncin, S.; Li, H.Z.; Bensadok, K. Effect of Fenton pretreatment on anaerobic digestion of olive mill wastewater and olive mill solid waste in mesophilic conditions. Int. J. Green Energy 2017, 14, 555–560. [Google Scholar] [CrossRef]
- Mert, B.K.; Yonar, T.; Kiliç, M.Y.; Kestioğlu, K. Pre-treatment studies on olive oil mill effluent using physicochemical, Fenton and Fenton-like oxidations processes. J. Hazard. Mater. 2010, 174, 122–128. [Google Scholar] [CrossRef]
- Chu, L.; Wang, J.; Dong, J.; Liu, H.; Sun, X. Treatment of coking wastewater by an advanced Fenton oxidation process using iron powder and hydrogen peroxide. Chemosphere 2012, 86, 409–414. [Google Scholar] [CrossRef] [PubMed]
- Kallel, M.; Belaid, C.; Boussahel, R.; Ksibi, M.; Montiel, A.; Elleuch, B. Olive mill wastewater degradation by Fenton oxidation with zero-valent iron and hydrogen peroxide. J. Hazard. Mater. 2009, 163, 550–554. [Google Scholar] [CrossRef] [PubMed]
- Pellera, F.M.; Gidarakos, E. Effect of substrate to inoculum ratio and inoculum type on the biochemical methane potential of solid agroindustrial waste. J. Environ. Chem. Eng. 2016, 4, 3217–3229. [Google Scholar] [CrossRef]
- Yuan, Y.; Cheng, H.; Chen, F.; Zhang, Y.; Xu, X.; Huang, C.; Chen, C.; Liu, W.; Ding, C.; Li, Z.; et al. Enhanced methane production by alleviating sulfide inhibition with a microbial electrolysis coupled anaerobic digestion reactor. Environ. Int. 2020, 136, 105503. [Google Scholar] [CrossRef] [PubMed]
- Baek, G.; Kim, J.; Lee, C. A review of the effects of iron compounds on methanogenesis in anaerobic environments. Renew. Sustain. Energy Rev. 2019, 113, 109282. [Google Scholar] [CrossRef]
- Wang, X.; Gong, Y.; Sun, C.; Wang, Z.; Sun, Y.; Yu, Q.; Zhang, Y. New insights into inhibition of high Fe (III) content on anaerobic digestion of waste-activated sludge. Sci. Total Environ. 2024, 916, 170147. [Google Scholar] [CrossRef]







| Levels of the independent variable | |||
|---|---|---|---|
| Independent variables | −1 | 0 | 1 |
| : Fe2+ dosage (g/L) | 0.002 | 1.001 | 2.000 |
| : H2O2 dosage (g/L) | 0.50 | 2.25 | 4.00 |
| Normalized independent variables | |||
| Dependent variables | |||
| COD removal (%) | |||
| TPh removal (%) | |||
| OMW-1 | OMW-2 | |
|---|---|---|
| pH | 4.67 ± 0.01 | 4.66 ± 0.01 |
| BOD5 (g O2/L) | 5.45 ± 1.06 | 5.70 ± 0.25 |
| COD (g O2/L) | 34.57 ± 0.34 | 28.68 ± 0.32 |
| BOD5/COD | 0.16 ± 0.03 | 0.20 ± 0.01 |
| TPh (g GAE/L) | 2.47 ± 0.18 | 2.53 ± 0.10 |
| TOC (gC/L) | 9.29 ± 0.89 | 1.44 ± 0.01 |
| TKN (mgN/L) | 253.8 ± 26.02 | 191.47 ± 8.09 |
| TP (mgP/L) | 36.39 ± 1.59 | 49.53 ± 0.24 |
| S (ppm) | ≤100 | ≤100 |
| TS (g/L) | 20.46 ± 0.46 | 14.43 ± 0.41 |
| VS (g/L) | 12.96 ± 0.54 | 7.66 ± 0.27 |
| Lipids (g/L) | 3.95 ± 0.19 | 8.15 ± 1.20 |
| Trial | x1 (g/L) | x2 (g/L) | Y1 (%) | Y2 (%) |
|---|---|---|---|---|
| T1 | 0.002 | 0.50 | 16.87 ± 0.47 | 84.65 ± 5.45 |
| T2 | 0.002 | 2.25 | 30.03 ± 0.43 | 90.46 ± 0.67 |
| T3 | 0.002 | 4.00 | 31.64 ± 2.73 | 92.26 ± 0.37 |
| T4 | 1.001 | 0.50 | 25.47 ± 4.19 | 74.90 ± 0.27 |
| T5 | 1.001 | 2.25 | 30.22 ± 3.88 | 88.76 ± 3.81 |
| T6 | 1.000 | 4.00 | 34.94 ± 1.78 | 93.86 ± 1.44 |
| T7 | 2.000 | 0.50 | 20.62 ± 2.58 | 77.93 ± 0.27 |
| T8 | 2.000 | 2.25 | 29.54 ± 1.88 | 92.45 ± 0.77 |
| T9 | 2.000 | 4.00 | 47.31 ± 4.87 | 93.77 ± 0.16 |
Disclaimer/Publisher’s Note: The statements, opinions and data contained in all publications are solely those of the individual author(s) and contributor(s) and not of MDPI and/or the editor(s). MDPI and/or the editor(s) disclaim responsibility for any injury to people or property resulting from any ideas, methods, instructions or products referred to in the content. |
© 2025 by the authors. Licensee MDPI, Basel, Switzerland. This article is an open access article distributed under the terms and conditions of the Creative Commons Attribution (CC BY) license.
Share and Cite
Vaz, T.; Domingues, S.; Martins, R.C.; Gomes, J.; Quina, M.J. Enhancing Methane Production from Olive Mill Wastewater Through Homogeneous Fenton Pretreatment Using Different Iron Sources. Energies 2026, 19, 51. https://doi.org/10.3390/en19010051
Vaz T, Domingues S, Martins RC, Gomes J, Quina MJ. Enhancing Methane Production from Olive Mill Wastewater Through Homogeneous Fenton Pretreatment Using Different Iron Sources. Energies. 2026; 19(1):51. https://doi.org/10.3390/en19010051
Chicago/Turabian StyleVaz, Telma, Soraia Domingues, Rui C. Martins, João Gomes, and Margarida J. Quina. 2026. "Enhancing Methane Production from Olive Mill Wastewater Through Homogeneous Fenton Pretreatment Using Different Iron Sources" Energies 19, no. 1: 51. https://doi.org/10.3390/en19010051
APA StyleVaz, T., Domingues, S., Martins, R. C., Gomes, J., & Quina, M. J. (2026). Enhancing Methane Production from Olive Mill Wastewater Through Homogeneous Fenton Pretreatment Using Different Iron Sources. Energies, 19(1), 51. https://doi.org/10.3390/en19010051

