Research on a Universal Analytical Thermal Circuit Model for Civil Electric Cables
Abstract
1. Introduction
2. Formulation of the Analytical Thermal Circuit Model
2.1. Construction of the Equivalent Thermal Network
2.2. Construction of the Universal Thermal Circuit Model
2.2.1. Calculation Equations for Equivalent Thermal Capacitance of the Insulation Layer and Conductor
2.2.2. Calculation Equations for Equivalent Thermal Resistance of the Insulation Layer and Conductor
2.2.3. Calculation Equation for the Heat Transfer Coefficient of the Exposed Ends
2.2.4. Relationships Between Parameters and Conductor Specifications
3. Solution of Thermal Circuit Model Coefficients
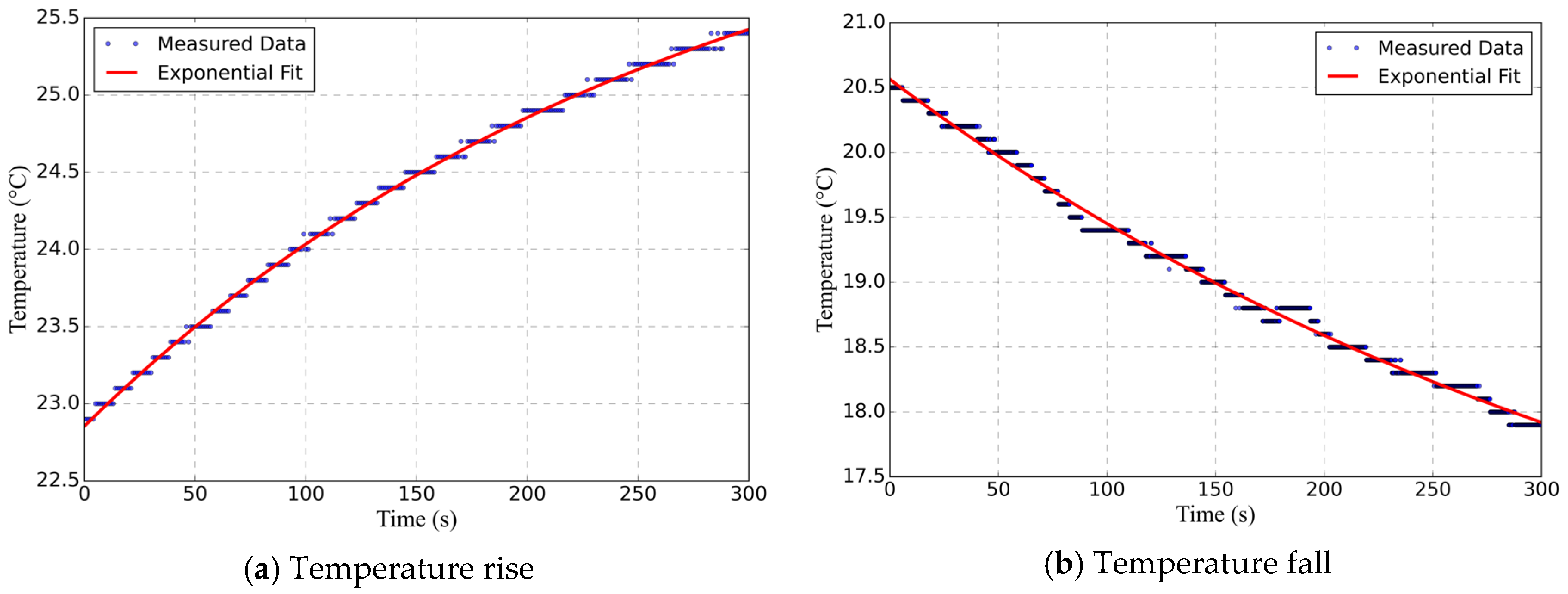
3.1. Ambient Temperature Rise and Fall Experiments
- Experimental Setup: The setup included a high-precision Pt100 platinum resistance temperature sensor (Huakong Electronic (Huizhou) Co., Ltd., Huizhou, China), a mercury thermometer, an isolated industrial-grade Pt100 temperature acquisition transmitter module, and a computer.
- Experimental Method:
- 1.
- The wire and cable samples were positioned in accordance with the electrical performance test methods specified in the Chinese National Standard GB/T 3048.4-2007.
- 2.
- The high-precision Pt100 sensor was placed in the vicinity of the samples.
- 3.
- To ensure measurement accuracy, the readings of the Pt100 sensor were first calibrated against a mercury thermometer to verify its precision. Subsequently, the Pt100 sensor was positioned as shown in Figure 4 to measure the ambient temperature in real time.
- 4.
- To simulate the cable’s response under different thermal dynamic processes, an air conditioning system was utilized to dynamically regulate the ambient temperature. The specific regulation protocols were as follows: For the temperature rise process, the air conditioner was first activated to stabilize the ambient temperature at 16 °C, and then switched off to allow the temperature to rise naturally. For the temperature fall process, the air conditioner was first set to stabilize the temperature at 26 °C, and then switched to cooling mode set at 20 °C to lower the ambient temperature.
- 5.
- Data recording was performed via the computer at an interval of 1 s.
3.2. Finite Element Simulation
3.2.1. Geometric Modeling
3.2.2. Definition of Physical Domains
3.2.3. Mesh Generation
3.2.4. Simulation Parameters and Solver Settings
3.2.5. Simulation Results
3.3. Coefficient Solution Algorithm
3.3.1. Determination of Constant Coefficients
3.3.2. Determination of Dynamic Coefficients via Differential Evolution
- 1.
- Initialization: The search boundaries were set as , , and . An initial population was randomly generated within these ranges, where each individual in the population is a three-dimensional vector
- 2.
- Iteration: Through mutation, crossover, and selection operations, the population was iterated to identify a set of optimal coefficients that minimize the Root Mean Square Error (RMSE) between the calculated values of the thermal circuit model and the finite element simulation values.
- 3.
- Validation: To evaluate the generalization ability of the model, Leave-One-Out Cross-Validation (LOOCV) was employed. Specifically, 8 rounds of validation were conducted. In each round, the conductor temperature data of the -th specification () served as the validation set, while data from the other 7 specifications served as the training set.
- 4.
4. Test of Model Estimation Accuracy
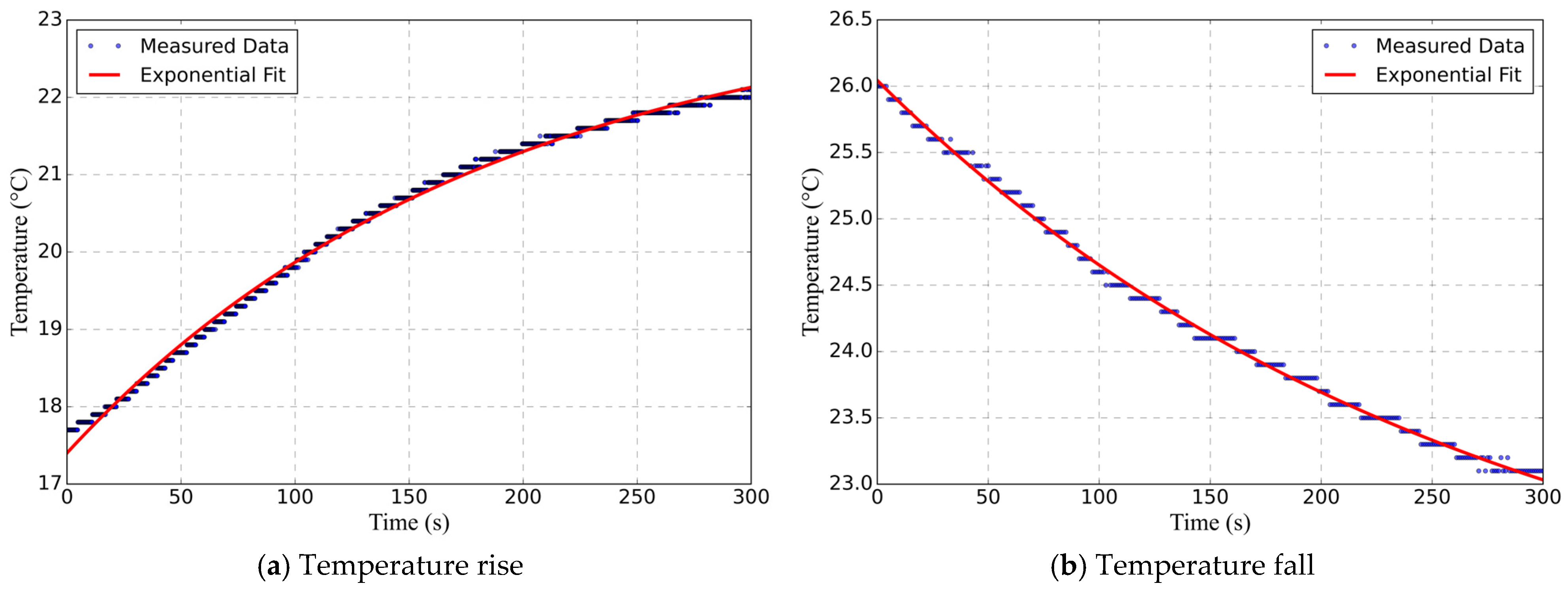
- Different Ambient Temperature Variations. During testing, the ambient temperature rise and fall were regulated as follows: For the temperature rise process, the air conditioner was first activated to stabilize the ambient temperature at approximately 22 °C, and then the setpoint was adjusted to 28 °C to induce a temperature rise. For the temperature fall process, the air conditioner was first activated to stabilize the ambient temperature at approximately 22 °C, and then the setpoint was adjusted to 16 °C to induce a temperature drop. The ambient temperature was measured using the same experimental method described in Section 3.1. The measured ambient temperature variation data and their corresponding fitted curves are illustrated in Figure 9. Equations (40) and (41) represent the fitted equations for the temperature rise and temperature fall curves, respectively.
- 2.
- Different Initial Conductor Temperatures. To simulate an autumn or winter scenario, the outdoor temperature was assumed to be 10 °C, and the initial temperature of the conductor was set to match this outdoor temperature. Using the same finite element simulation method described in Section 3.2 and based on the ambient temperature profiles under testing conditions shown in Figure 9, the corresponding conductor temperature profiles for various specifications were obtained. These are illustrated in Figure 10 and Figure 11, with the corresponding errors shown in Figure 12 and Figure 13.
5. Discussion and Conclusions
5.1. Discussion
5.2. Conclusions
- 1.
- During the solution process for the thermal circuit model coefficients, the average generalization Root Mean Square Error (RMSE) and standard deviation for wire and cable conductors of various specifications were found to be less than 0.0224 °C and 0.0184 °C, respectively. This indicates that the solutions for the model coefficients exhibit excellent stability and consistency under different training samples.
- 2.
- Test results demonstrate that the maximum temperature calculation deviation of the thermal circuit model is consistently less than 0.368 °C, and the relative measurement error for the value is less than 0.148%. This signifies that the established thermal circuit model possesses high calculation accuracy, enabling the acquisition of precise values for conductor resistance.
- 3.
- Satisfactory test results were achieved even when there was a significant disparity between the initial conductor temperature and the initial ambient temperature in the test scenarios. This suggests that the established thermal circuit model demonstrates strong robustness.
- 4.
- The test results show that the thermal circuit model maintains high calculation accuracy under various specifications of cables. This confirms that the established model has the universality fitting for application to various specifications of civil electric cables.
Author Contributions
Funding
Data Availability Statement
Acknowledgments
Conflicts of Interest
References
- Mitolo, M. Determining the Correct Electrical Resistance of Conductors in Power Systems Analysis. Distrib. Gener. Altern. Energy J. 2025, 39, 1115–1124. [Google Scholar] [CrossRef]
- Xu, Z.; Hu, Z.; Zhao, L.; Zhang, Y.; Yang, Z.; Hu, S.; Li, Y. Application of temperature field modeling in monitoring of optic-electric composite submarine cable with insulation degradation. Measurement 2019, 133, 479–494. [Google Scholar] [CrossRef]
- Wu, X.; Liu, W. An engineering roadmap for the thermoelectric interface materials. J. Mater. 2024, 10, 748–750. [Google Scholar] [CrossRef]
- Zhou, J.; Zhang, Q.; Li, T.; Wang, H. Measurement Method for Wire Resistance Temperature Coefficient Based on Heat Transfer Model. IOP Conf. Ser. Mater. Sci. Eng. 2018, 452, 042107. [Google Scholar] [CrossRef]
- IEC 60228:2004; Conductors of Insulated Cables. IEC: Geneva, Switzerland, 2004.
- GB/T 3048.4-2007; Test Methods for Electrical Properties of Electric Cables and Wires—Part 4: Test of DC Resistance of Conductors. Standards Press of China: Beijing, China, 2007. (In Chinese)
- Zhou, J.; Yao, K.; Huang, X.; Sun, G.; Zhang, W.; Ashtaq, A.; Hao, Y.; Chen, Y. Temperature Calculation and Measurement on Power Cable Conductor Based on Equivalent Thermal Circuit and BOTDA. In Proceedings of the 2019 IEEE 3rd International Conference on Electronic Information Technology and Computer Engineering (EITCE), Xiamen, China, 18–20 October 2019; pp. 1863–1867. [Google Scholar]
- Wang, Y.; Zhang, X.; Wang, L.; Wang, Y. Detection and Prediction of Internal-Caused Fire in Tunnel Cable by an Equivalent Transient Thermal Circuit Model. Adv. Civ. Eng. 2021, 2021, 5618575. [Google Scholar] [CrossRef]
- Chen, X.; Yu, J.; Yu, L.; Zhou, H. Numerical analysis of thermo-electric field for AC XLPE cable in DC operation based on conduction current measurement. IEEE Access 2019, 7, 8226–8234. [Google Scholar] [CrossRef]
- Al-Dulaimi, A.A.; Guneser, M.T.; Hameed, A.A.; García Márquez, F.P.; Gouda, O.E. Adaptive FEM-BPNN model for predicting underground cable temperature considering varied soil composition. Eng. Sci. Technol. Int. J. 2024, 51, 101658. [Google Scholar] [CrossRef]
- Karahan, M.; Kalenderli, O. Coupled Electrical and Thermal Analysis of Power Cables Using Finite Element Method. In Heat Transfer—Engineering Applications; Vikhrenko, V., Ed.; InTech: Rijeka, Croatia, 2011; pp. 205–232. [Google Scholar]
- Xiao, R.; Liang, Y.; Fu, C.; Cheng, Y. Rapid calculation model for transient temperature rise of complex direct buried cable cores. Energy Rep. 2023, 9, 306–313. [Google Scholar] [CrossRef]
- IEC 60287-1-1:2006; Electric Cables—Calculation of the Current Rating—Part 1-1: Current Rating Equations (100% Load Factor) and Calculation of Losses—General. IEC: Geneva, Switzerland, 2006.
- IEC 60853-1:2002; Calculation of the Cyclic and Emergency Current Rating of Cables—Part 1: Cyclic Rating Factor for Cables up to and Including 18/30 (36) kV. IEC: Geneva, Switzerland, 2002.
- Xu, T.; Xu, Z.; Xu, Y.; Wang, P.; Hu, S.; Zheng, H.; Li, F.; Liu, G. Calculation of the Equivalent Thermal Parameters of External Environment for Cable Based on the Real-time Measurement Data. In Proceedings of the 2018 12th International Conference on the Properties and Applications of Dielectric Materials (ICPADM), Xi’an, China, 20–24 May 2018; pp. 622–628. [Google Scholar]
- Sedaghat, A.; de León, F. Thermal Analysis of Power Cables in Free Air: Evaluation and Improvement of the IEC Standard Ampacity Calculations. IEEE Trans. Power Deliv. 2014, 29, 2306–2314. [Google Scholar] [CrossRef]
- Liang, Y.; Cheng, X.; Zhao, Y. Research on the rapid calculation method of temperature rise of cable core of duct cable under emergency load. Energy Rep. 2023, 9, 737–744. [Google Scholar] [CrossRef]
- GB/T 5023.3-2008; Polyvinyl Chloride Insulated Cables of Rated Voltages Up to and Including 450/750 V—Part 3: Non-Sheathed Cables for Fixed Wiring. Standards Press of China: Beijing, China, 2008. (In Chinese)
- Hu, Z.; Ye, X.; Luo, X.; Zhang, H.; He, M.; Li, J.; Li, Q. Prediction Model for Trends in Submarine Cable Burial Depth Variation Considering Dynamic Thermal Resistance Characteristics. Energies 2024, 17, 2127. [Google Scholar] [CrossRef]
- Cao, T.; Li, W.; Zhao, T.; Cui, S. Proposal of a Thermal Network Model for Fast Solution of Temperature Rise Characteristics of Aircraft Wire Harnesses. Energies 2025, 18, 4046. [Google Scholar] [CrossRef]
- Wang, X.W.; Zhao, J.P.; Zhang, Q.G.; Lv, B.; Chen, L.C.; Yang, J.H.; Zhang, Y. Real-time Calculation of Transient Ampacity of Trench Laying Cables Based on the Thermal Circuit Model and the Temperature Measurement. In Proceedings of the 2019 IEEE PES GTD Grand International Conference and Exposition Asia (GTD Asia), Bangkok, Thailand, 19–23 March 2019; pp. 433–438. [Google Scholar]
- Storn, R.; Price, K. Differential Evolution—A Simple and Efficient Heuristic for Global Optimization over Continuous Spaces. J. Glob. Optim. 1997, 11, 341–359. [Google Scholar] [CrossRef]
- Vesterstrom, J.; Thomsen, R. A Comparative Study of Differential Evolution, Particle Swarm Optimization, and Evolutionary Algorithms on Numerical Benchmark Problems. In Proceedings of the 2004 Congress on Evolutionary Computation (IEEE Cat. No.04TH8753), Portland, OR, USA, 19–23 June 2004; Volume 2, pp. 1980–1987. [Google Scholar]













| Conductor Specification (S/mm2) | 0.5 | 0.75 | 1.0 | 1.5 | 2.5 | 4.0 | 6.0 | 10.0 |
| Insulation Layer Thickness (Δr/mm) | 0.6 | 0.6 | 0.6 | 0.7 | 0.8 | 0.8 | 0.8 | 1.0 |
| Material | Thermal Conductivity (W/(m·K)) | Density (kg/m3) | Specific Heat Capacity (J/(kg K)) | Temperature Coefficient of Resistance (1/K) |
|---|---|---|---|---|
| Copper | 400 | 8960 | 385 | 0.00393 |
| Polyvinyl Chloride | 0.16 | 1380 | 900 | — |
| 1.2420 | 3.4496 |
| 53.4903 | 1.5 | 0.0138 |
| Average Generalization RMSE (°C) | Standard Deviation (°C) |
|---|---|
| 0.0224 | 0.0184 |
Disclaimer/Publisher’s Note: The statements, opinions and data contained in all publications are solely those of the individual author(s) and contributor(s) and not of MDPI and/or the editor(s). MDPI and/or the editor(s) disclaim responsibility for any injury to people or property resulting from any ideas, methods, instructions or products referred to in the content. |
© 2025 by the authors. Licensee MDPI, Basel, Switzerland. This article is an open access article distributed under the terms and conditions of the Creative Commons Attribution (CC BY) license.
Share and Cite
Liu, C.; Mai, K.; Yin, N.; Liu, H.; Zheng, Z. Research on a Universal Analytical Thermal Circuit Model for Civil Electric Cables. Energies 2026, 19, 230. https://doi.org/10.3390/en19010230
Liu C, Mai K, Yin N, Liu H, Zheng Z. Research on a Universal Analytical Thermal Circuit Model for Civil Electric Cables. Energies. 2026; 19(1):230. https://doi.org/10.3390/en19010230
Chicago/Turabian StyleLiu, Can, Kaiquan Mai, Ningxia Yin, Huanlao Liu, and Zhong Zheng. 2026. "Research on a Universal Analytical Thermal Circuit Model for Civil Electric Cables" Energies 19, no. 1: 230. https://doi.org/10.3390/en19010230
APA StyleLiu, C., Mai, K., Yin, N., Liu, H., & Zheng, Z. (2026). Research on a Universal Analytical Thermal Circuit Model for Civil Electric Cables. Energies, 19(1), 230. https://doi.org/10.3390/en19010230

