Next Article in Journal
Non-Invasive Multivariate Prediction of Human Thermal Comfort Based on Facial Temperatures and Thermal Adaptive Action Recognition
Previous Article in Journal
Critical Wind Direction Angles and Edge Module Vulnerability in Fixed Double-Row Photovoltaic (PV) Arrays: Analysis of Extreme Wind Conditions Based on CFD Simulation
Previous Article in Special Issue
Recent Advancements on Slot-Die Coating of Perovskite Solar Cells: The Lab-to-Fab Optimisation Process
 
 
Font Type:
Arial Georgia Verdana
Font Size:
Aa Aa Aa
Line Spacing:
Column Width:
Background:
Article

Performance Improvement of Vertical Channel Indium–Gallium–Zinc Oxide Thin-Film Transistors Using Porous MXene Electrode

1
Xiamen Key Laboratory of Development and Application for Advanced Semiconductor Coating Technology, The School of Opto-electronic and Communication Engineering, Xiamen University of Technology, Xiamen 361024, China
2
CAS Key Laboratory of Design a Assembly of Functional Nanostructures, and Fujian Provincial Key Laboratory of Nanomaterials, Fujian Institute of Research on the Structure of Matter, Chinese Academy of Sciences, Fuzhou 350002, China
3
Key Laboratory of Green Perovskites Application of Fujian Province Universities, Fujian Jiangxia University, Fuzhou 350108, China
4
Department of Applied Materials and Optoelectronic Engineering, National Chi Nan University, Nantou 54561, Taiwan
5
Institute of Electronics, National Yang Ming Chiao Tung University, Hsinchu 30010, Taiwan
6
Department of Materials Science and Engineering, Da-Yeh University, Dacun 51591, Taiwan
*
Authors to whom correspondence should be addressed.
Energies 2025, 18(9), 2331; https://doi.org/10.3390/en18092331
Submission received: 28 March 2025 / Revised: 23 April 2025 / Accepted: 30 April 2025 / Published: 2 May 2025
(This article belongs to the Special Issue Advanced Technologies of Solar Cells: 2nd Edition)

Abstract

The surface morphology of porous source electrodes plays a significant role in the performance of vertical channel indium–gallium–zinc oxide thin-film transistors (VC-IGZO-TFTs). This study systematically investigates the properties of porous MXene-based source electrodes and their impact on VC-IGZO-TFTs fabricated with varying MXene concentrations. As the MXene concentration increases, both the sheet resistance and porosity of the electrodes decrease. VC-IGZO-TFTs based on a 3.0 mg/mL MXene concentration exhibit optimal electrical performance, with a threshold voltage (Vth) of 0.16 V, a subthreshold swing (SS) of 0.20 V/decade, and an on/off current ratio (Ion/Ioff) of 4.90 × 105. Meanwhile, the VC-IGZO-TFTs exhibit excellent electrical reliability and mechanical stability. This work provides a way to analyze the influence of sheet resistance and porosity on the performance of VC-IGZO-TFTs, offering a viable approach for enhancing device efficiency through porous MXene electrode engineering.

1. Introduction

As electronic devices continue to evolve toward miniaturization and a higher integration density, traditional planar transistors are reaching their physical and performance limitations. Vertical thin-film transistors (VTFTs) have emerged as a promising alternative through their adoption of a vertical architecture, which significantly reduces the device footprint. VTFTs can be seamlessly integrated with a wide range of functional components, including sensors, memory units, and light-emitting diodes, making them highly suitable for next-generation integrated circuits, advanced display technologies, and multifunctional sensing systems [1,2,3,4,5]. This vertical integration architecture offers the potential to greatly enhance the device packing density and system performance.
Indium–gallium–zinc oxide (IGZO), characterized by its high electron mobility, low-temperature fabrication capabilities, and superior performance in large-area production, has emerged as a crucial active layer material for next-generation display drivers [6,7]. The integration of IGZO into vertical channel TFTs (VC-IGZO-TFTs) combines the advantages of both material and structure, offering great potential for high-performance applications. Various strategies have been proposed to realize novel VC-IGZO-TFTs and enhance their electronic performance, including atomic layer deposition (ALD), sputtering, solution methods, and so on [8,9,10]. However, these fabrication techniques typically involve complex structural designs requiring photolithography and etching processes, which increase the manufacturing complexity and cost, thereby limiting their scalability and commercial viability.
To overcome these challenges, a simplified vertical device configuration—comprising a gate electrode, gate dielectric, porous source electrode, IGZO channel layer, and drain electrode—has gained attention for its reduced process complexity and integration potential. Within this structure, the porous source electrode plays a crucial role in facilitating the vertical charge injection and significantly influences the overall electrical performance of the device. Various materials, including thin metals, silver nanowires, and carbon nanotubes, have been investigated as porous source materials [11,12,13,14,15,16,17,18,19,20,21,22]. Currently, Mxene, as an emerging two-dimensional material, stands out for its thinness, excellent electrical conductivity, and favorable mechanical properties. However, a systematic analysis of how the concentration of spin-coated MXene influences electrode porosity, sheet resistance, and ultimately the electrical and mechanical performance of VC-TFTs is still lacking.
In this work, a facile and scalable fabrication approach for VC-IGZO-TFTs using spin-coated MXene as a porous source electrode was created. The effects of the MXene concentration on sheet resistance, porosity, and the electrical properties of VC-IGZO-TFTs devices are systematically studied. The electrical reliability under bias stress and the mechanical robustness under various bending conditions are further evaluated. In addition, flexible VC-IGZO-TFTs are fabricated on polyimide (PI) substrates using a low-temperature process, demonstrating the potential of this architecture for high-performance, flexible electronic applications.

2. Materials and Methods

The silicon substrates with a 200 nm thermally grown SiO2 were acquired from Shandong Zhuojing Electronic Technology Co., Ltd. (Shandong, China). Ti3C2 MXene dispersion with a concentration of 5 mg/mL was purchased from the Science Compass Mall (Beijing, China). The ceramic target used for IGZO film deposition, with a composition of In2O3:Ga2O3:ZnO = 1:1:1, a purity of 99.99%, and dimensions of 12.7 cm × 30.5 cm, was provided by Beijing Yao-sheng Materials Technology Co., Ltd. (Beijing, China).
The silicon wafers were laser-cut into 2.4 × 2.4 cm2 pieces using a HY-JYS300 laser cutter, and served as substrates for device fabrication. To prepare MXene dispersions with concentrations of 2.0, 2.5, 3.0, 3.5, and 4.0 mg/mL, appropriate volumes of the 5 mg/mL stock solution were diluted with deionized (DI) water to a final volume of 1.0 mL. Specifically, 0.40, 0.50, 0.60, 0.70, and 0.80 mL of the stock was mixed with 0.60, 0.50, 0.40, 0.30, and 0.20 mL of DI water, respectively. All solutions were sonicated for 5 min prior to use to ensure homogeneous dispersion. Spin-coating was performed in two steps: an initial spreading step at 500 rpm for 5 s, followed by a uniform coating step at 2000 rpm for 60 s. The resulting films were then thermally annealed at 100 °C for 600 s to remove the remaining solvent and improve film adhesion. Subsequently, IGZO thin films were deposited onto the MXene-coated substrates at an ambient temperature using high-power impulse magnetron sputtering (HiPIMS) (Model SP-122I, Ljuhv, Nantou, Taiwan). Prior to deposition, the chamber was evacuated to a base pressure of 6.7 × 10⁻⁵ Pa. High-purity argon gas (99.999%) was introduced at a constant flow rate of 40 sccm as the sputtering ambient, and the deposition was carried out under an average applied power of 500 W, with the detailed process parameters provided in our previous work [23]. The IGZO layer is a cuboid with a length and width of 1000 μm and a height of 35 nm. Finally, the aluminum drain and contact source electrode were fabricated via thermal evaporation, with the distance between the two electrodes as 400 μm. The schematic diagram of VC-IGZO-TFTs based on MXene are shown in Figure 1b. The porous source electrode, formed by stacking MXene layers with uncovered areas representing the pores, is illustrated in Figure 1a. Due to the shielding effect, the electrons are accumulated in the pore of the source electrode at the interface between the SiO2 and IGZO, forming a channel to the drain electrode.
The surface morphologies of the MXene films were examined using field-emission scanning electron microscopy (FESEM, Zeiss Sigma 500, Oberkochen, Germany) operated at an accelerating voltage of 15 kV, with a scale bar of 10 μm. Prior to imaging, the SEM system was calibrated using a certified gold-on-carbon resolution standard. Beam alignment, astigmatism correction, and detector gain were subsequently optimized in accordance with the recommended procedures of the manufacturer to ensure high-resolution and artifact-free imaging. For SEM observation, spin-coated MXene samples (2.4 × 2.4 cm) with various concentrations were annealed, then diced into smaller pieces (<0.5 × 0.5 cm) using a silicon wafer cutter. The surface debris was removed using a nitrogen gun to ensure surface cleanliness. As the films exhibited sufficient conductivity, no additional conductive coating was applied. The thickness of the resulting MXene films was measured via atomic force microscopy (AFM, XE7, Park, Suwon, Republic of Korea). The measured thicknesses for the concentrations of 2.0, 2.5, 3.0, 3.5, and 4.0 mg/mL were 4.7, 7.3, 9.2, 10.9, and 12.6 nm, respectively. The sheet resistance of the MXene films was measured using a four-point probe system (Model T200/A2, Ossila, Sheffield, UK). The system was calibrated using a standard silicon wafer with known resistivity, and probe head spacing was verified with a micrometer gauge. The electrical characteristics of the TFTs were evaluated using a semiconductor parameter analyzer (Keithley 4200-SCS, Cleveland, OR, USA). The instrument was regularly calibrated through internal self-check routines and cross-verified using standard reference devices.

3. Results and Discussion

Porosity, defined as the ratio of pore area to total surface area, plays a vital role in governing the performance of vertical channel thin-film transistors (VC-TFTs). However, it presents a trade-off between the electrical conductivity and shielding effects. Higher porosity facilitates the formation of larger current channels through the source electrode due to the presence of numerous and wider pores, but also leads to an increased charge transport path length, resulting in higher sheet resistance. In contrast, lower porosity reduces the overall resistance of the electrode, but limits the number of available electron transmission channels, potentially restricting the carrier injection efficiency. To systematically regulate the porosity of the MXene-based porous source electrode, the concentration of the spin-coated MXene dispersion was varied from 2.0 to 4.0 mg/mL. As shown in the scanning electron microscopy (SEM) images in Figure 2, distinct changes in the pore morphology are observed with varying concentrations. Notably, SEM imaging in this study was not employed for conventional microstructural analysis, but rather for the quantitative evaluation of surface porosity. In Figure 2a–e, the lighter regions represent the MXene matrix, while the darker regions correspond to pores. To enhance the visual contrast and facilitate quantitative analysis, the SEM images were processed using ImageJ software (version 1.54f, developed by the National Institutes of Health, Bethesda, MD, USA). Threshold-based image segmentation was performed, in which the pore regions were rendered in white and the MXene framework was highlighted in red, as shown in the figure insets. Porosity was quantitatively determined as the ratio of the white-segmented pore area to the total image area. As the MXene concentration increased from 2.0 to 4.0 mg/mL, the porosity decreased from 32.76% to 8.39%, as shown in Figure 2f. This trend correlates well with the measured sheet resistance values, which exhibit a significant decrease from 5.47 × 105 to 5.38 × 103 Ω/sq. The reduced sheet resistance is attributed to enhanced film continuity and improved electrical connectivity between MXene flakes at higher concentrations. This reduction in sheet resistance directly influences the electrical characteristics of the resulting VC-TFTs, leading to an increase in both the off-state current (Ioff) and on-state current (Ion), as discussed in the following section. Three independently fabricated samples were prepared for each MXene concentration (2.0, 2.5, 3.0, 3.5, and 4.0 mg/mL) to evaluate the reproducibility of the porosity and sheet resistance measurements. The results showed variations of less than 10% among the three samples at each concentration, as presented in Figure 2f, demonstrating high uniformity and the excellent reproducibility of the electrode fabrication process. At the optimal concentration of 3.0 mg/mL, two independently prepared electrodes were further characterized. The corresponding SEM images are provided in Figure 2c-1,c-2. The calculated porosity values for these samples were 22.12% and 23.79%, respectively, indicating minimal batch-to-batch variation. These results confirm the stability and reliability of the spin-coating process for fabricating MXene-based porous source electrodes.
To further validate the impact of the porous source electrode on the device performance, the transfer characteristics of VC-IGZO-TFTs with different MXene concentrations were investigated, as shown in Figure 3a. As the concentrations increase from 2.0 to 4.0 mg/mL, the key parameters of the VC-IGZO-TFTs are varied. The Ioff shows a positive correlation with the MXene concentrations, increasing as the sheet resistance decreases. Meanwhile, the on-off ratio of the current (Ion/Ioff) initially increases and then decreases, with values of 7.31 × 104, 4.02 × 105, 4.90 × 105, 2.94 × 105, and 4.44 × 103 corresponding to MXene concentrations of 2.0, 2.5, 3.0, 3.5, and 4.0 mg/mL, respectively. The threshold voltage (Vth) exhibits a positive shift from −1.14 V to 0.91 V as the MXene concentration increases. The subthreshold swing (SS) remains relatively low across all devices, reaching a minimum of 0.20 V/decade before increasing to 0.64 V/decade at higher concentrations. These trends reflect the combined effects of sheet resistance and porosity, as shown in Figure 2f. At higher MXene concentrations, the porous source becomes more continuous, resulting in a lower sheet resistance and improved carrier injection, thereby increasing Ioff. However, the reduced porosity enhances the shielding effect, which limits the vertical carrier transport, leading to a decrease in Ion and a consequent reduction in the on/off ratio. The enhanced shielding also contributes to the rightward shift in Vth by altering the gate control over the channel. The electrical properties of VC-IGZO-TFTs under different MXene concentrations are summarized in Table 1. Additionally, Figure 3b displays the dual-swept transfer characteristics of the VC-IGZO-TFT with a 3 mg/mL MXene source electrode, featuring a hysteresis voltage (Vh = Vreverse-Vforward when IDS = const.) of 1.1 V. The small hysteresis can be attributed to the vertical transport architecture of the device, which minimizes the influence of the interface trap states commonly observed in planar configurations [24,25].
Figure 4 illustrates the working mechanism of the VC-IGZO-TFT. As depicted in Figure 4b, when a negative gate voltage is applied, the electrons in IGZO are repelled from the interface between the MXene source electrode and IGZO channel layer, leading to an increase in the Schottky barrier (SB). Consequently, the electrons cannot cross the barrier, and the device remains in the off state. Conversely, as shown in Figure 4a, when a positive gate voltage is applied, the electrons are accumulated in the pore of the source electrode at the interface between the SiO2 and IGZO. The accumulation induces band bending in the IGZO layer, which effectively lowers the Schottky barrier height and facilitates electron tunneling from the source electrode into the channel layer. Consequently, the device transitions to the on state, allowing the current to flow from the source to the drain. Figure 4c presents the corresponding energy-level diagram of the VC-IGZO-TFT device, demonstrating that under a positive VGS, the electron injection from the MXene source electrode into the IGZO channel layer is enhanced, further enabling efficient charge transport.
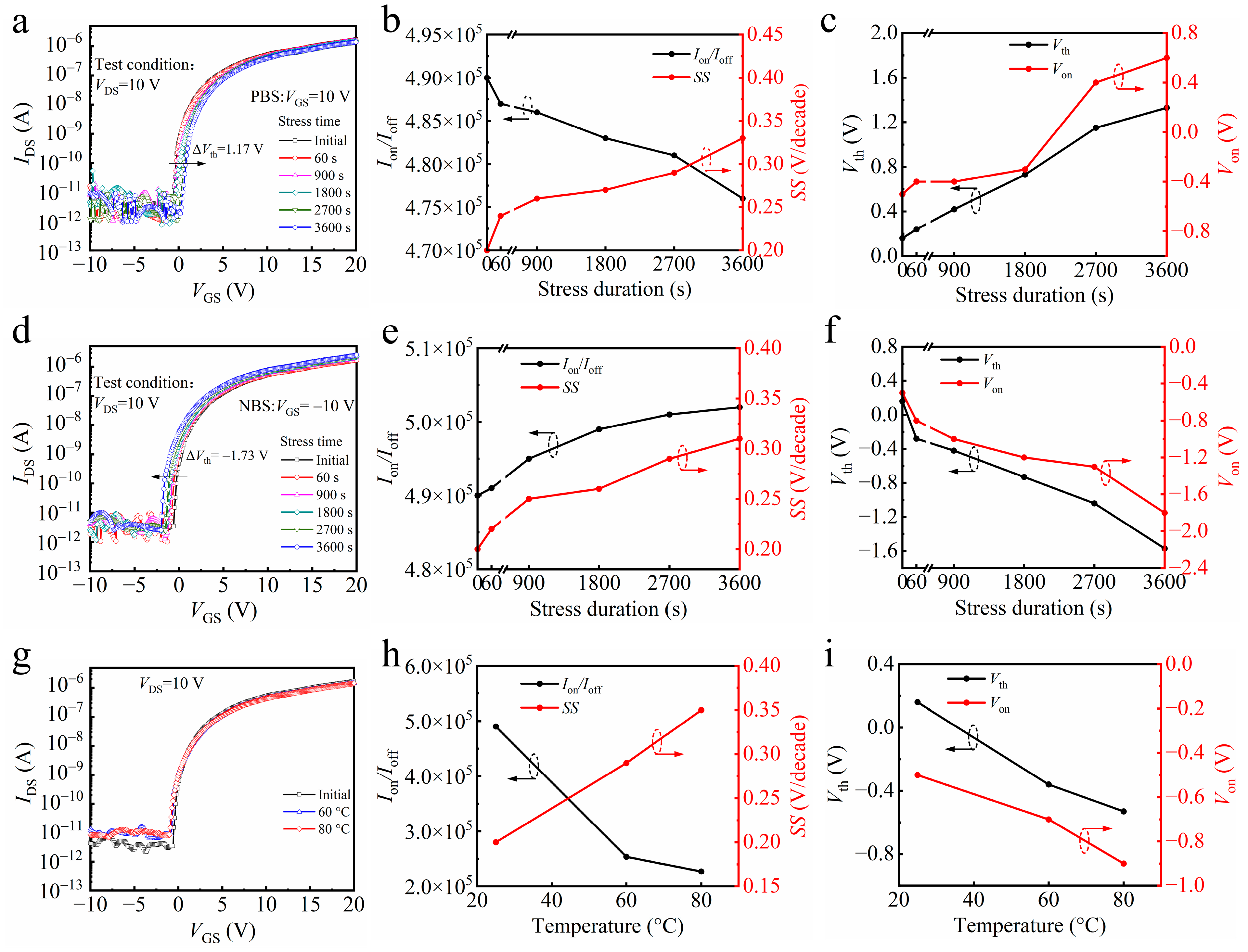
Bias stress stability testing is an essential technique for evaluating the long-term performance stability of transistors. In this study, the VC-IGZO-TFT based on a 3.0 mg/mL MXene source electrode was subjected to both positive gate bias stress (PBS) and negative gate bias stress (NBS) to evaluate its electrical stability. Figure 5a–f presents the transfer characteristics and corresponding variations in the performance parameters under PBS at VGS = +10 V for stress durations ranging from 0 to 3600 s. Following PBS exposure, the SS increased from 0.20 V/decade to 0.33 V/decade, while the Ion/Ioff exhibited a slight decrease, from 4.90 × 105 to 4.76 × 105. Additionally, the Von and Vth shifted by 1.1 V and 1.17 V, respectively. Under the NBS conditions (VGS = −10 V) for the same duration, the SS increased from 0.20 V/decade to 0.31 V/decade, while Ion/Ioff remained relatively stable, varying only slightly from 4.90 × 105 to 5.02 × 105. The corresponding shifts in Vth and Von were −1.73 V and −1.3 V, respectively. The minimal variations observed in the electrical properties of VC-IGZO-TFTs after 3600 s of PBS and NBS indicate excellent bias stress stability. In addition to electrical stress, the impact of thermal stress on the device performance was examined at different temperatures, as shown in Figure 5g–i. When the temperature increased from room temperature to 60 °C and 80 °C, the SS exhibited a moderate increase from 0.20 V/decade to 0.29 V/decade and 0.35 V/decade, respectively. Concurrently, Ion/Ioff decreased from 4.90 × 105 to 2.45 × 105 and 2.27 × 105, primarily due to a rise in the off-state leakage current. Moreover, Vth shifted negatively from 0.16 V to −0.36 V and −0.53 V, while Von decreased to −0.7 V and −0.9 V at 60 °C and 80 °C, respectively. The degradation in the performance at elevated temperatures is attributed to thermally activated carriers and increased defect-state excitation in the IGZO layer, which contribute to threshold voltage shifts and increased leakage.
The VC-IGZO-TFTs are characterized by a current flow that is oriented vertically through the semiconductor material, distinguishing them from planar transistors where the current flows horizontally. To fabricate flexible VC-IGZO-TFTs, the rigid silicon substrate and silicon dioxide (SiO2) gate insulator were replaced with transparent polyimide (PI) and a high dielectric constant hafnium oxide (HfO2) gate insulator, respectively. To assess the mechanical robustness, the devices were subjected to repeated bending at various angles. Figure 6a schematically illustrates the bending angles discussed in this work, where smaller angles correspond to more severe bending. Figure 6b presents the transfer characteristics after 100 bending cycles at different angles, with the inset showing a cross-sectional view of the VC-IGZO-TFT fabricated on a PI substrate. The results demonstrate that the devices maintain relatively stable transfer characteristics after 100 bending cycles at 10°and 20°, while a noticeable increase in the off-state current was observed after bending at 5°. The changes in the key electrical properties of VC-IGZO-TFTs subjected to 100 bending cycles at different curvature levels are depicted in Figure 6c,d. Compared with an unbent device, the Vth slightly decreases from 0.47 V to 0.38 V, and the SS value increased from an initial 0.101 V/dec to 0.192 V/dec, indicating minimal sensitivity to mechanical deformation. The unbent device achieves an Ion/Ioff of 4.63 × 106, which decreases to 3.06 × 106, 2.86 × 106, and 4.59 × 105 after bending at 20°, 10°, and 5°, respectively. This degradation primarily results from a significant increase in the off-state current. Moreover, the gate leakage current (IGS), measured at VGS = 6 V (corresponding to an electric field of 1 MV/cm), increased from 4.89 × 10−10 A, 5.46 × 10−10 A, 5.95 × 10−10 A to 8.28 × 10−10 A, indicating deteriorated gate insulation properties due to bending-induced defects, which enhanced the gate leakage current. The minimal change in the key electrical properties of VC-IGZO-TFTs demonstrates excellent mechanical stability, which can be attributed to the vertical structure that avoids in-plane cracks in the channel layer and is consistent with findings from previous studies on flexible vertical channel TFTs [26].
To further assess the impact of mechanical strain on flexible devices, the key electrical performance parameters of the flexible VC-IGZO-TFTs were examined under varying numbers of bending cycles at a fixed bending angle of 5°. Figure 7a illustrates the evolution of Vth and SS as functions of the bending cycle count. The device exhibits moderate degradation for up to 400 cycles, followed by a rapid deterioration beyond this point. Specifically, Vth shifts gradually from 0.47 V to 0.26 V as the number of cycles increases from 0 to 400. However, after 400 cycles, Vth experiences a pronounced negative shift, reaching −0.75 V at 600 cycles. Correspondingly, the SS gradually increases from 0.101 V/decade to 0.357 V/decade, followed by an abrupt rise to 0.873 V/decade, indicating the onset of severe electrical instability. Figure 7b presents the variations in the Ion/Ioff ratio and IGS at 5° under the same bending conditions. The Ion/Ioff ratio decreases significantly from 4.63 × 106 to 8.24 × 104 after 400 cycles and further drops to 7.9 × 103 after 600 cycles. Meanwhile, IGS exhibits a gradual increase to 6.41 × 10−8 A for up to 400 cycles, followed by a sharp rise to 5.79 × 10−3 A at 600 cycles, suggesting the severe degradation of the gate insulating layer. These observations indicate that the flexible TFTs retain relatively stable electrical characteristics for up to 400 bending cycles at a bending angle of 5°. Beyond this threshold, accumulated mechanical strain induces defect generation in both the gate dielectric and the active channel layer, leading to a substantial leakage current and performance deterioration. Therefore, the results confirm that the devices exhibit excellent mechanical durability under repeated strain conditions for up to 400 cycles, maintaining acceptable electrical functionality.

4. Conclusions

VC-IGZO-TFTs employing spin-coated MXene as a porous source electrode were successfully fabricated. By increasing the concentrations of MXene, both the sheet resistance and porosity decrease simultaneously, significantly influencing the electrical performance of VC-IGZO-TFTs. An optimal trade-off between conductivity and porosity was achieved at a concentration of 3 mg/mL, yielding a Vth of 0.16 V, an SS of 0.20 V/decade, and an Ion/Ioff of 4.90 × 105. Moreover, the VC-IGZO-TFTs demonstrated excellent electrical reliability, exhibiting minimal variation in the performance parameters after 3600 s of positive and negative gate bias stress. The vertical device architecture also conferred outstanding mechanical robustness, as evidenced by the stable performance of flexible devices under repeated bending conditions. This work provides a promising strategy for the development of high-performance, mechanically robust, and flexible vertical channel TFTs, and highlights the potential of MXene-based porous electrodes in next-generation electronic applications.

Author Contributions

W.F.: Writing—review and editing, formal analysis, and funding acquisition. Q.C.: writing—original draft preparation, formal analysis, and investigation. P.G.: formal analysis and investigation. L.J.: funding acquisition and formal analysis. Y.Q.: investigation. D.-S.W.: formal analysis. R.-H.H.: formal analysis. S.-Y.L.: conceptualization, supervision, and funding acquisition. All authors took part in the investigation and discussion. All authors have read and agreed to the published version of the manuscript.

Funding

This work is supported in part by the Natural Science Foundation of Xiamen (3502Z20227065), in part by the National Natural Science Foundation of China (62304190), in part by the Natural Science Foundation of Fujian Province (2023J011457, 2022J011272), and in part by the Science Project of Xiamen University of Technology (YKJ22032R).

Data Availability Statement

The data are contained within the article.

Conflicts of Interest

The authors declare no conflicts of interest.

References

  1. Parashkov, R.; Becker, E.; Hartmann, S.; Ginev, G.; Schneider, D.; Krautwald, H.; Dobbertin, T.; Metzdorf, D.; Brunetti, F.; Schildknecht, C.; et al. Vertical Channel All-Organic Thin-Film Transistors. Appl. Phys. Lett. 2003, 82, 4579–4580. [Google Scholar] [CrossRef]
  2. Hwang, T.-Y.; Choi, Y.; Song, Y.; Eom, N.S.A.; Kim, S.; Cho, H.-B.; Myung, N.V.; Choa, Y.-H. A Noble Gas Sensor Platform: Linear Dense Assemblies of Single-Walled Carbon Nanotubes (LACNTs) in a Multi-Layered Ceramic/Metal Electrode System (MLES). J. Mater. Chem. C 2018, 6, 972–979. [Google Scholar] [CrossRef]
  3. Chan, I.; Nathan, A. Amorphous Silicon Thin-Film Transistors with 90° Vertical Nanoscale Channel. Appl. Phys. Lett. 2005, 86, 253501. [Google Scholar] [CrossRef]
  4. Kang, J.-W.; Lee, D.-H.; Kwon, Y.-H.; Seong, N.-J.; Choi, K.-J.; Hwang, C.-S.; Yoon, S.-M. Comparative Analysis on Negative-Bias-Illumination-Stress Instabilities between Planar- and Vertical-Channel Thin-Film Transistors Using InGaZnO Active Channels Prepared by Atomic-Layer Deposition. Mater. Sci. Semicond. Process. 2024, 181, 108665. [Google Scholar] [CrossRef]
  5. Kim, H.-R.; Kim, G.-H.; Seong, N.-J.; Choi, K.-J.; Kim, S.-K.; Yoon, S.-M. Comparative Studies on Vertical-Channel Charge-Trap Memory Thin-Film Transistors Using In-Ga-Zn-O Active Channels Deposited by Sputtering and Atomic Layer Depositions. Nanotechnology 2020, 31, 435702. [Google Scholar] [CrossRef]
  6. Pi, T.; Xiao, D.; Yang, H.; He, G.; Wu, X.; Liu, W.; Zhang, D.W.; Ding, S.-J. High-Performance a-IGZO TFT Fabricated With Ultralow Thermal Budget via Microwave Annealing. IEEE Trans. Electron Devices 2022, 69, 156–159. [Google Scholar] [CrossRef]
  7. Yang, G.W.; Park, J.; Choi, S.; Kim, C.; Kim, D.M.; Choi, S.-J.; Bae, J.-H.; Cho, I.H.; Kim, D.H. Total Subgap Range Density of States-Based Analysis of the Effect of Oxygen Flow Rate on the Bias Stress Instabilities in a-IGZO TFTs. IEEE Trans. Electron Devices 2022, 69, 166–173. [Google Scholar] [CrossRef]
  8. Kim, J.; Park, J.; Yoon, G.; Khushabu, A.; Kim, J.-S.; Pae, S.; Cho, E.-C.; Yi, J. Effect of IGZO Thin Films Fabricated by Pulsed-DC and RF Sputtering on TFT Characteristics. Mater. Sci. Semicond. Process. 2020, 120, 105264. [Google Scholar] [CrossRef]
  9. Morimoto, T.; Yang, Y.; Ochiai, Y.; Fukuda, N.; Ohki, Y. Effects of Metal Content on Electrical and Physical Properties in Solution-Processed IGZO Thin Films. Appl. Phys. A 2020, 126, 388. [Google Scholar] [CrossRef]
  10. Moon, S.-H.; Kwon, Y.-H.; Seong, N.-J.; Choi, K.-J.; Yoon, S.-M. Performance Enhancement of Self-Aligned Coplanar TFTs With ALD-IGZO Channels via Effective Doping From Interlayer Dielectric. IEEE Electron Device Lett. 2023, 44, 1128–1131. [Google Scholar] [CrossRef]
  11. Lee, D.-H.; Kwon, Y.-H.; Seong, N.-J.; Choi, K.-J.; Yang, J.-H.; Hwang, C.-S.; Yoon, S.-M. Scaling Benefits for Active and Gate Insulator of Vertical Channel Thin-Film Transistors Using Atomic Layer Deposited InGaZnO Channel. IEEE Electron. Device Lett. 2024, 45, 404–407. [Google Scholar] [CrossRef]
  12. Ryoo, H.-J.; Ahn, H.-M.; Seong, N.-J.; Choi, K.-J.; Hwang, C.-S.; Chang, S.-J.; Yoon, S.-M. Device Characterization of Nanoscale Vertical-Channel Transistors Implemented with a Mesa-Shaped SiO2 Spacer and an In–Ga–Zn–O Active Channel. ACS Appl. Electron. Mater. 2021, 3, 4189–4196. [Google Scholar] [CrossRef]
  13. Ahn, H.-M.; Moon, S.-H.; Kwon, Y.-H.; Seong, N.-J.; Choi, K.-J.; Hwang, C.-S.; Yang, J.-H.; Kim, Y.-H.; Yoon, S.-M. Geometrical and Structural Design Schemes for Trench-Shaped Vertical Channel Transistors Using Atomic-Layer Deposited In-Ga-Zn-O. IEEE Electron Device Lett. 2022, 43, 1909–1912. [Google Scholar] [CrossRef]
  14. Ahn, H.-M.; Kwon, Y.-H.; Seong, N.-J.; Choi, K.-J.; Hwang, C.-S.; Yoon, S.-M. Impact of Strategic Approaches for Improving the Device Performance of Mesa-Shaped Nanoscale Vertical-Channel Thin-Film Transistors Using Atomic-Layer Deposited In–Ga–Zn–O Channel Layers. Electron. Mater. Lett. 2022, 18, 294–303. [Google Scholar] [CrossRef]
  15. Choi, S.-N.; Yoon, S.-M. Implementation of In–Ga–Zn–O Thin-Film Transistors with Vertical Channel Structures Designed with Atomic-Layer Deposition and Silicon Spacer Steps. Electron. Mater. Lett. 2021, 17, 485–492. [Google Scholar] [CrossRef]
  16. Ryoo, H.-J.; Seong, N.-J.; Choi, K.-J.; Yoon, S.-M. Implementation of Oxide Vertical Channel TFTs with Sub-150 Nm Channel Length Using Atomic-Layer Deposited IGZO Active and HfO2 Gate Insulator. Nanotechnology 2021, 32, 255201. [Google Scholar] [CrossRef]
  17. Kim, Y.-M.; Kang, H.-B.; Kim, G.-H.; Hwang, C.-S.; Yoon, S.-M. Improvement in Device Performance of Vertical Thin-Film Transistors Using Atomic Layer Deposited IGZO Channel and Polyimide Spacer. IEEE Electron. Device Lett. 2017, 38, 1387–1389. [Google Scholar] [CrossRef]
  18. Chen, Q.; Wang, L.; Duan, X.; Guo, J.; Wang, Z.; Huang, K.; Feng, J.; Sun, Y.; Jiao, G.; Jing, W.; et al. Investigation of Asymmetric Characteristics of Novel Vertical Channel-All-Around (CAA) In-Ga-Zn-O Field Effect Transistors. IEEE Electron. Device Lett. 2022, 43, 894–897. [Google Scholar] [CrossRef]
  19. Baek, Y.J.; Kang, I.H.; Hwang, S.H.; Han, Y.L.; Kang, M.S.; Kang, S.J.; Kim, S.G.; Woo, J.G.; Yu, E.S.; Bae, B.S. Vertical Oxide Thin-Film Transistor with Interfacial Oxidation. Sci. Rep. 2022, 12, 3094. [Google Scholar] [CrossRef]
  20. Zuo, X.; Chang, K.; Zhao, J.; Xie, Z.; Tang, H.; Li, B.; Chang, Z. Bubble-Template-Assisted Synthesis of Hollow Fullerene-like MoS2 Nanocages as a Lithium Ion Battery Anode Material. J. Mater. Chem. A 2016, 4, 51–58. [Google Scholar] [CrossRef]
  21. Hsu, Y.-K.; Mondal, A.; Su, Y.-Z.; Sofer, Z.; Shanmugam Anuratha, K.; Lin, J.-Y. Highly Hydrophilic Electrodeposited NiS/Ni3S2 Interlaced Nanosheets with Surface-Enriched Ni3+ Sites as Binder-Free Flexible Cathodes for High-Rate Hybrid Supercapacitors. Appl. Surf. Sci. 2022, 579, 151923. [Google Scholar] [CrossRef]
  22. Mondal, A.; Afzal, M.; Mondal, S. Facile Synthesis of MgO-Carbon Nanocomposites for Advanced Capacitive Electrode Materials. Chem. Pap. 2024, 78, 4961–4970. [Google Scholar] [CrossRef]
  23. Zhao, M.; Yan, J.; Wang, Y.; Chen, Q.; Cao, R.; Xu, H.; Wuu, D.-S.; Wu, W.-Y.; Lai, F.-M.; Lien, S.-Y.; et al. The Enhanced Performance of Oxide Thin-Film Transistors Fabricated by a Two-Step Deposition Pressure Process. Nanomaterials 2024, 14, 690. [Google Scholar] [CrossRef]
  24. Murugan, B.; Lee, S.Y. Effects of Change of Oxygen Vacancy on Hysteresis Voltage and Stability under Time-Temperature Dependence Positive Bias Stress in Amorphous SZTO Transistors. Microelectron. Eng. 2022, 253, 111678. [Google Scholar] [CrossRef]
  25. Li, Y.; Huang, X.; Liao, C.; Wang, R.; Zhang, S.; Zhang, L.; Huang, R. A Dynamic Current Hysteresis Model for IGZO-TFT. Solid-State Electron. 2022, 197, 108459. [Google Scholar] [CrossRef]
  26. Han, G.; Cao, S.; Yang, Q.; Yang, W.; Guo, T.; Chen, H. High-Performance All-Solution-Processed Flexible Photodetector Arrays Based on Ultrashort Channel Amorphous Oxide Semiconductor Transistors. ACS Appl. Mater. Interfaces 2018, 10, 40631–40640. [Google Scholar] [CrossRef]
Figure 1. (a) Schematic diagram of vertical transmission. (b) Schematic diagram of the VC-IGZO-TFTs based on MXene.
Figure 1. (a) Schematic diagram of vertical transmission. (b) Schematic diagram of the VC-IGZO-TFTs based on MXene.
Energies 18 02331 g001
Figure 2. SEM image of MXene with different concentrations. (a) 2.0, (b) 2.5, (c-1) 3.0, (c-2) 3.0, (d) 3.5, and (e) 4 mg/mL (The insets indicate white-colored regions for pore area by ImageJ software). (f) The sheet resistance and porosity corresponding to the concentrations.
Figure 2. SEM image of MXene with different concentrations. (a) 2.0, (b) 2.5, (c-1) 3.0, (c-2) 3.0, (d) 3.5, and (e) 4 mg/mL (The insets indicate white-colored regions for pore area by ImageJ software). (f) The sheet resistance and porosity corresponding to the concentrations.
Energies 18 02331 g002
Figure 3. (a) The transfer characteristics of IGZO-TFTs based on different MXene concentrations and (b) dual-swept transfer curves of IGZO-TFTs with the MXene concentration of 3 mg/mL.
Figure 3. (a) The transfer characteristics of IGZO-TFTs based on different MXene concentrations and (b) dual-swept transfer curves of IGZO-TFTs with the MXene concentration of 3 mg/mL.
Energies 18 02331 g003
Figure 4. (a) On-state band diagram of the VC-IGZO-TFT under a positive bias to the gate. (b) Off-state band diagram of the VC-IGZO-TFT under a negative bias to the gate. (c) Energy-level diagram to indicate electron transport principle of the VC-IGZO-TFT.
Figure 4. (a) On-state band diagram of the VC-IGZO-TFT under a positive bias to the gate. (b) Off-state band diagram of the VC-IGZO-TFT under a negative bias to the gate. (c) Energy-level diagram to indicate electron transport principle of the VC-IGZO-TFT.
Energies 18 02331 g004
Figure 5. The biasing stability of VC-IGZO-TFT prepared with MXene concentration of 3 mg/mL, (a) the transfer characteristics, (b) Ion/Ioff and SS, and (c) Vth and Von of VC-IGZO-TFTs under positive gate bias stress (PBS, VGS = +10 V); (d) the transfer characteristics, (e) Ion/Ioff and SS, and (f) Vth and Von of VC-IGZO-TFT under negative bias stress (NBS, VGS = −10 V); the thermal stresses of VC-IGZO-TFTs under different thermal stresses, (g) the transfer characteristics, (h) Ion/Ioff and SS, and (i) Vth and Von of VC-IGZO-TFTs as functions of temperatures.
Figure 5. The biasing stability of VC-IGZO-TFT prepared with MXene concentration of 3 mg/mL, (a) the transfer characteristics, (b) Ion/Ioff and SS, and (c) Vth and Von of VC-IGZO-TFTs under positive gate bias stress (PBS, VGS = +10 V); (d) the transfer characteristics, (e) Ion/Ioff and SS, and (f) Vth and Von of VC-IGZO-TFT under negative bias stress (NBS, VGS = −10 V); the thermal stresses of VC-IGZO-TFTs under different thermal stresses, (g) the transfer characteristics, (h) Ion/Ioff and SS, and (i) Vth and Von of VC-IGZO-TFTs as functions of temperatures.
Energies 18 02331 g005
Figure 6. (a) Images of flexible VC-IGZO-TFTs bent into 20°, 10° and 5°. (b) The transfer characteristics of flexible VC-IGZO-TFTs bent into different angles. (c) The Vth and SS as functions of bending angle after 100 cyclic bending tests. (d) The Ion/Ioff and IGS as functions of bending angle after 100 cyclic bending tests.
Figure 6. (a) Images of flexible VC-IGZO-TFTs bent into 20°, 10° and 5°. (b) The transfer characteristics of flexible VC-IGZO-TFTs bent into different angles. (c) The Vth and SS as functions of bending angle after 100 cyclic bending tests. (d) The Ion/Ioff and IGS as functions of bending angle after 100 cyclic bending tests.
Energies 18 02331 g006
Figure 7. (a) Vth and SS; (b) Ion/Ioff and IGS versus number of bending cycles at a fixed bending angle of 5°.
Figure 7. (a) Vth and SS; (b) Ion/Ioff and IGS versus number of bending cycles at a fixed bending angle of 5°.
Energies 18 02331 g007
Table 1. Detailed electrical properties of VC-IGZO-TFTs in MXene solutions with different concentrations.
Table 1. Detailed electrical properties of VC-IGZO-TFTs in MXene solutions with different concentrations.
Concentration (mg/mL) Vth (V)Ion/IoffSS (V/dec)Ion (μA)
2.0−1.147.31 × 1040.290.13
2.5−0.454.02 × 1050.210.36
3.00.164.90 × 1050.201.68
3.50.592.94 × 1050.322.31
4.00.914.44 × 1030.641.43
Disclaimer/Publisher’s Note: The statements, opinions and data contained in all publications are solely those of the individual author(s) and contributor(s) and not of MDPI and/or the editor(s). MDPI and/or the editor(s) disclaim responsibility for any injury to people or property resulting from any ideas, methods, instructions or products referred to in the content.

Share and Cite

MDPI and ACS Style

Fu, W.; Chen, Q.; Gao, P.; Jiang, L.; Qiu, Y.; Wuu, D.-S.; Horng, R.-H.; Lien, S.-Y. Performance Improvement of Vertical Channel Indium–Gallium–Zinc Oxide Thin-Film Transistors Using Porous MXene Electrode. Energies 2025, 18, 2331. https://doi.org/10.3390/en18092331

AMA Style

Fu W, Chen Q, Gao P, Jiang L, Qiu Y, Wuu D-S, Horng R-H, Lien S-Y. Performance Improvement of Vertical Channel Indium–Gallium–Zinc Oxide Thin-Film Transistors Using Porous MXene Electrode. Energies. 2025; 18(9):2331. https://doi.org/10.3390/en18092331

Chicago/Turabian Style

Fu, Wanqiang, Qizhen Chen, Peng Gao, Linqin Jiang, Yu Qiu, Dong-Sing Wuu, Ray-Hua Horng, and Shui-Yang Lien. 2025. "Performance Improvement of Vertical Channel Indium–Gallium–Zinc Oxide Thin-Film Transistors Using Porous MXene Electrode" Energies 18, no. 9: 2331. https://doi.org/10.3390/en18092331

APA Style

Fu, W., Chen, Q., Gao, P., Jiang, L., Qiu, Y., Wuu, D.-S., Horng, R.-H., & Lien, S.-Y. (2025). Performance Improvement of Vertical Channel Indium–Gallium–Zinc Oxide Thin-Film Transistors Using Porous MXene Electrode. Energies, 18(9), 2331. https://doi.org/10.3390/en18092331

Note that from the first issue of 2016, this journal uses article numbers instead of page numbers. See further details here.

Article Metrics

Back to TopTop