Next Article in Journal
High-Order Grid-Connected Filter Design Based on Reinforcement Learning
Next Article in Special Issue
Experimental Study on Heat Transfer Performance of FKS-TPMS Heat Sink Designs and Time Series Prediction
Previous Article in Journal
Hybrid Variable Renewable Power Plants: A Case Study of ROR Hydro Arbitrage
Previous Article in Special Issue
A Critical Review on the Thermal Transport Characteristics of Graphene-Based Nanofluids
 
 
Font Type:
Arial Georgia Verdana
Font Size:
Aa Aa Aa
Line Spacing:
Column Width:
Background:
Article

Development of New Composite Beds for Enhancing the Heat Transfer in Adsorption Cooling Systems

1
Department of Thermal and Fluid Flow Machines, Faculty of Energy and Fuels, AGH University of Krakow, al. A. Mickiewicza 30, 30-059 Krakow, Poland
2
Centre for Energy and Environmental Technologies, Energy Research Centre, VSB-Technical University of Ostrava, 17. Listopadu 2172/15, 70800 Ostrava, Czech Republic
*
Author to whom correspondence should be addressed.
Energies 2025, 18(3), 584; https://doi.org/10.3390/en18030584
Submission received: 19 December 2024 / Revised: 21 January 2025 / Accepted: 23 January 2025 / Published: 26 January 2025
(This article belongs to the Special Issue Experimental and Numerical Thermal Science in Porous Media)

Abstract

Adsorption chillers are distinguished by their low electricity consumption, lack of moving parts and exceptional reliability. However, their considerable weight, due to the low sorption capacity of conventional adsorbents, remains a key limitation. This study investigates the effect of introducing thermally conductive additives—aluminium powder, copper powder and graphite flakes—at 5, 15 and 25 wt.% to silica-gel-based adsorbent beds on the enhancement of heat transfer. In contrast to other works, this study also includes a novel analysis of the thermal properties of dry sorbents, since the moisture content affects the thermal conductivity. Additives improve the thermal conductivity, as measured by the laser flash method (LFA), of the bed by up to 20.7% while maintaining a reasonable sorption capacity, as measured by the dynamic vapor sorption (DVS). Additions of copper at 5–15 wt.% and graphite flakes at 15–25 wt.% provide an optimal compromise between thermal conductivity and sorption capacity. Aluminium powder, on the other hand, offers flexibility over a wider range (5–25 wt.%). The increased thermal conductivity of these modified materials is expected to lead to more efficient heat transport, which suggests the hypothesis that it could reduce the cycle time and increase the efficiency of adsorption chillers.

1. Introduction

Using low-temperature heat from renewable energy sources (RESs) and waste heat is one of the ways to reduce primary energy consumption in the cooling sector, and thus, to reduce pollutant emissions into the atmosphere. The refrigeration sector consumes approximately 20% of the world’s electricity production [1], while air-conditioning equipment accounted for around 10% of global electricity demand in 2022 [2]. Currently, most chillers operate as electricity-driven compressor systems, and since global electricity production is still largely based on non-renewable sources, the refrigeration sector indirectly contributes to climate change. Moreover, it may exacerbate electricity grid instability during peak summer demand [3]. Therefore, adsorption chillers are one of the alternatives to compressor-based refrigeration systems.
Adsorption chillers can operate in two modes: cold production and water desalination. Regardless of the operation mode, the compression of the refrigerant occurs thermally, and the entire operation of the chiller is carried out with minimal demand for electricity, which has minimal environmental impact [4]. Additionally, adsorption chillers are capable of being powered by low-temperature heat [5], with a temperature range of 50 to 90 °C, which may be waste heat from industrial, technological, or production processes, heat from the conversion of solar energy in solar collectors [6,7], or heat from geothermal energy [8]. Moreover, environmentally friendly adsorbents, such as silica gel, zeolites, and activated carbon [9], and environmentally neutral refrigerants, such as water, ethanol, and methanol, can be used as adsorbates. An additional unique feature of adsorption units is their ability to desalinate water with low thermal energy requirements, which makes them particularly attractive and promising for enhancing global drinking water security [10,11,12]. However, one of the main barriers to the uptake of adsorption chiller technology is its low coefficient of performance (COP) and specific cooling power (SCP), large size, and high weight. The COP is defined as the ratio of the cooling capacity to the total heat required for preheating and desorption [9]. In turn, the SCP is defined as the ratio of the cooling capacity to the mass of the adsorbent [9].
The COP and SCP of adsorption chillers depend on a number of factors and can be improved by the following:
  • Modifying the design of the heat exchanger [13].
  • Modifying the sorbent by enriching it with metallic additives or using bonded beds, which increases the efficiency of the heat and mass transfer during the sorption processes [14,15,16].
  • Using sorbents with a higher sorption capacity than commercially available sorbents [17,18].
  • Optimising chiller operation through the selection of key parameters such as the timing of individual unit cycles, as well as the flow rates in the cooling, chilled water, and bed feed water circuits [19,20].
  • Using new heat media for bed regeneration [5,21,22].
This paper focuses on improving the heat and mass transfer within the bed by modifying the sorbent with metallic additives, which have been studied by many researchers. Helmy et al. [23] analysed the effect of metallic additives on the efficiency of a solar adsorption chiller with an activated carbon–methanol working pair. The authors analysed the addition of copper chips at 10%, 20% and 30% by weight. The result of the study was a 43% improvement in the COP of the chiller at the highest mass proportion of the addition. On the other hand, Askalany et al. [24] analysed the thermal conductivity coefficient (original measurement method) of activated carbon with iron, copper and aluminium additives at mass percentages of 10%, 20% and 30% of the additive. The authors then modelled the change in the COP and SCP ratios as a function of the additive mass share. At an additive share of 30%, the SCP ratio of the chiller improved by up to 100%; nonetheless, the authors did not measure the sorption capacity of the prepared samples. Demir et al. [25] analysed the heat transport (temperature measurement and dimensionless form of transient heat conduction analysis) in a unconsolidated silica gel bed together with the addition of copper, bronze, aluminium and stainless steel chips at additive mass percentages of 5%, 10% or 15%. The authors showed an improvement in the thermal conductivity coefficient in the range of 33–242%. Based on experimental results [25], Rezk et al. [26] developed a model to predict the effective conductivity coefficient of the sorbent with additives but did not show the change in the sorption capacity. The agreement of the modelling results with the experiment was ± 15%. The authors predicted that the silica gel mixture with 5% aluminium addition had 72% better thermal conductivity than raw silica gel. On the other hand, the addition of 5% brass to the silica gel improved the thermal conductivity of the sample by 47%, and the addition of 5% stainless steel improved the material’s thermal conductivity by 28%. The thermal conductivity coefficient of the sample increased almost linearly with the increasing mass proportion of the additive in the silica gel mixture. Ilis et al. [27] analysed the impact of the addition of aluminium (0–60% by volume) to the silica gel on improving the performance of the adsorption chiller. On the basis of numerical analyses, the authors indicated that the addition of 40% by volume aluminium was associated with the greatest improvement in the SCP by about 10%, while further increases in the percentage of volume aluminium in the bed were associated with a decrease in the SCP.
As mentioned in the previous paragraph, the cited studies analyse the improvement of heat transport in the bed, while at the same time, they do not include an analysis of mass transport; specifically, there is still a lack of experimental studies that simultaneously measure thermal conductivity and sorption capacity with a clearly defined research methodology. Furthermore, many studies include numerical studies of heat transport while disregarding experimental validation. Therefore, there is a need to conduct more comprehensive experimental research, including both sorption and thermal properties, which has been performed in this paper.
This article evaluates the sorption capacity and the thermal conductivity of silica gel doped with additives. Aluminium powder, copper powder, and graphite flakes at mass percentages of 5%, 15%, and 25% were used as additives. The studies of the thermal and sorption properties of the doped sorbent samples were carried out at temperatures of 303 K, 313 K, and 333 K. In addition, this research includes an analysis of the thermal properties of the sorbents in the dry state, which is a novelty compared to other work. Therefore, the main objective of this study was to analyse how highly thermally conductive additives affect the thermal conductivity coefficient of a dry material and, at the same time, to analyse the sorption properties of the materials studied.
This paper is organised as follows. In Section 2, the materials, the methods of sample preparation and the measuring equipment are described. In Section 3, the results of the sorption isotherms and thermal conductivity measurements are presented. Section 4 provides a background explanation of the results and a discussion of the dependence of the obtained results on the mass shares of the additives. Some conclusions are drawn in Section 5.

2. Materials and Methods

Wide-porous silica gel with a size of 2–5 mm (Chmes) was ground using a laboratory grinder (High-Speed Multifunction GRINDER, ChemLand, Stargard, Poland) and then sieved using a laboratory shaker (LPzE-2e, MULTISERW, Marcyporęba, Poland). The laboratory shaker with a set of stainless-steel wire sieves makes it possible to obtain various material fractions from 50 μm to 1250 μm, with accuracy in accordance with PN-ISO 3310-1/3310-2. A silica gel fraction of 400–600 μm was used in this study. The silica gel was doped with three different additives in powder form: graphite flakes (Sigma-Aldrich, St. Louis, MO, USA), copper powder (Chempur, Piekary Śląskie, Poland) and aluminium powder (SELKAT, Kraków, Poland). The copper powder was <63 µm in diameter, the aluminium powder was <45 µm, and the graphite flakes were less than 300 µm in diameter. The additives were mechanically mixed with silica gel for each different mass concentration to obtain a homogeneous mixture. The materials were chosen because of their high thermal conductivity. The additives were used in different mass ratios: 5%, 15% and 25%. It should be emphasised that proper homogenisation of the sample is essential and influences the results obtained. All the samples analysed are summarised in Table 1 and shown in Figure 1.
During the experiments, the adsorption and desorption isotherms of silica gel with copper, aluminium and graphite flake additives were determined. The tests were carried out using the DVS vacuum dynamic vapour sorption measurement apparatus designed and manufactured by Surface Measurement Systems [19]. This device measures the change in mass of a sample absorbing a given amount of adsorbent with a high sensitivity of 0.1 µg. The temperature stability at 25 °C is equal to ±0.02 °C and the humidity conditions generated are typically within ±0.1% with respect to the target value. In this study, distilled water was used as the adsorbate. Firstly, the sample was heated to 100 °C for 60 min in order to dry the sample. The same time was set to stabilise the temperature of the whole system. Then, 20 stages of 20 min each were set. Each stage differed in the relative pressure, which gradually increased from 10% to 90% and then reduced again to 10%. Adsorption and desorption isotherms were calculated from the experimental results. The water uptake for all the samples was obtained as a function of the saturation pressure. The vapour flow rate was constant at 15 sccm (standard cubic centimetres per minute). Each sample was tested at three process temperatures: 30 °C, 40 °C and 60 °C.
Differential scanning calorimetry (DSC) was used to determine the specific heat capacity of the samples. The DSC 214 Polyma (NETZSCH-Gerätebau GmbH, Selb, Germany) was used in this study. The specific heat capacity was determined in accordance with ASTM E1269 using the DSC curves of the test sample and the standard, which was sapphire. The materials were tested in alumina crucibles with pierced lids at a constant heating rate of 10 °C/min in a nitrogen (20 mL/min) atmosphere. Before the right measurement, the prepared sample in the aluminium crucible was warmed at 150 °C for 15 min to desorb moisture, then weighed and the respective temperature programme started. Measurements were carried out in the temperature range of 20–80 °C.
The laser flash analysis (LFA) method (LFA 467 HyperFlash from Netzsch, Selb, Germany) was used to measure the thermal diffusivity of the samples. The tests were conducted in an inert nitrogen atmosphere with a gas flow rate of 50 mL/min. Measurements were performed under isothermal conditions at temperatures ranging from 80 °C to 20 °C, with 10 °C increments. For each temperature step, after stabilising the temperature in the chamber, a waiting time of 300 s was set before the laser pulse to ensure temperature stabilisation throughout the entire sample volume. Additionally, three measurements were conducted at each temperature step. The material sample, shaped as a cylinder with a height of 1.5 mm and a diameter of 14.8 mm, was placed in a holder and externally secured with stainless steel spacers coated with graphite. The sample was heated at a rate of 5 K/min to the desired temperature, after which a laser pulse of known energy was directed at it. From the moment of exposure, the time and temperature on the opposite side of the sample were recorded. The obtained signal was fitted to a model using LFA Proteus 8.0.3 software. The thermal diffusivity coefficient was automatically calculated based on the selected model.
The thermal conductivity coefficient λ of the sorbent is the second most important parameter (after its sorption properties). The thermal conductivity coefficient ( λ ) of the analysed samples was determined based on the relationship between the specific heat capacity ( c p ) obtained in the DSC, the thermal diffusivity ( α ) obtained in the LFA, and the density ( ρ ) (Equation (1)). The bulk density was determined from the mass and volume of the samples during the LFA measurements.
λ = α · ρ · c p ,
It should be noted that the thermal properties were measured for moisture-free material. In addition, all the samples analysed were powders and therefore the effective thermal conductivity coefficient was determined. In addition, the method adopted for determining the thermal conductivity coefficient was based on the three measured values, so the measurement uncertainty was determined in alignment with the principles outlined in the Guide to the Expression of Uncertainty in Measurement (GUM) [28]. According to these guidelines, uncertainty (u) is determined using the following formula (Equation (2)):
u ( f ) = i = 1 k f x i · u ( x i ) 2 ,
The results of the measurements of the sorption and thermal properties of the analysed materials are presented in Section 3.1 and Section 3.2 of this article.

3. Results

According to the described methodology, the thermal and sorption properties of the doped adsorbent materials were analysed. In the following sections, the change in the thermal conductivity and water adsorption for the doped sorbent samples is analysed.

3.1. Sorption Isotherm Analysis

The results of the experiments are shown in the figures, which are thoroughly discussed in the following sections. The sorption isotherm plots show the dependence of the change in the reference sample mass (in percentage) as a function of the relative vapour pressure. The measurement uncertainty of the mass change for the sorption isotherms is in the range of 0.000258–0.000378% and the hysteresis uncertainty is 0.000365–0.000535%, so these values are not shown in Figure 2, Figure 3, Figure 4, Figure 5, Figure 6, Figure 7, Figure 8 and Figure 9. Based on the results obtained, the trends of the adsorption and desorption processes and the intensity of both processes were determined. The shape of the water vapour sorption isotherm curves shows a similar shape at all the measurement temperatures (303 K, 313 K, 333 K). They are of mixed type III and IV (according to IUPAC) [29].

3.1.1. Sorption Analysis for Samples Doped with Aluminium Powder

Figure 2, Figure 3 and Figure 4 indicate the sorption isotherms and hysteresis loops for the raw silica gel samples and the samples doped with 5, 15 and 25 wt.% aluminium. Irrespective of the sample type, the sorption isotherms in the 0–40% relative humidity (RH) range show a nearly linear pattern for all the temperatures analysed. The sorption capacities of the silica gel are 33.70 wt.%, 33.92 wt.% and 33.53 wt.% at temperatures of 303 K, 313 K and 333 K, respectively. When aluminium is added to the silica gel, the sorption capacity of the material decreases. As the mass fraction of aluminium in the mixture increases, the sorption capacity decreases, so that for a mass fraction of aluminium of 25 wt.%, values of 24.79 wt.%, 24.88 wt.% and 24.72 wt.% are observed at temperatures of 303 K, 313 K and 333 K, respectively. The use of additives reduces the mass of the hygroscopic silica gel, decreasing the sorption capacity of the sample, as the additives do not exhibit significant sorption properties. Such additives may contribute to a reduction in mass transport in the bed. The difference between the equilibrium points of adsorption and desorption at different relative humidity points ranges from 0.2% to 8.4%. The distribution of the hysteresis loop for each sample is shown in Figure 2, Figure 3 and Figure 4.
Figure 2. Adsorption–desorption isotherm (left) and hysteresis loop (right) of silica gel SG and silica gel with aluminium at the temperature of 303 K.
Figure 2. Adsorption–desorption isotherm (left) and hysteresis loop (right) of silica gel SG and silica gel with aluminium at the temperature of 303 K.
Energies 18 00584 g002
Figure 3. Adsorption–desorption isotherm (left) and hysteresis loop (right) of silica gel SG and silica gel with aluminium at the temperature of 313 K.
Figure 3. Adsorption–desorption isotherm (left) and hysteresis loop (right) of silica gel SG and silica gel with aluminium at the temperature of 313 K.
Energies 18 00584 g003
Figure 4. Adsorption–desorption isotherm (left) and hysteresis loop (right) of silica gel SG and silica gel with aluminium at the temperature of 333 K.
Figure 4. Adsorption–desorption isotherm (left) and hysteresis loop (right) of silica gel SG and silica gel with aluminium at the temperature of 333 K.
Energies 18 00584 g004

3.1.2. Sorption Analysis for Samples Doped with Copper Powder

Figure 5, Figure 6 and Figure 7 show the sorption isotherms and hysteresis loops for the raw silica gel samples and the samples doped with 5 wt.% and 15 wt.% copper. A sample doped with 25 wt.% copper was not produced due to the fact that the high copper weight caused the additive to fall to the bottom of the measuring pan and it was not possible to obtain a homogeneous sample. For all the samples, the sorption isotherms in the range of 0–40 wt.% RH are characterised by an almost linear course for all the temperatures analysed. When copper is added to the silica gel, the sorption capacity of the material deteriorates. As the mass fraction of copper in the mixture increases, the sorption capacity decreases, so that for a mass fraction of copper of 15 wt.%, values of 28.13 wt.%, 29.29 wt.% and 29.08 wt.% are observed at temperatures of 303 K, 313 K and 333 K, respectively. The difference between the equilibrium points of adsorption and desorption at different relative humidity points ranges from −1.9% to 9.1%. The distribution of the hysteresis loop for each sample is shown in Figure 5, Figure 6 and Figure 7.
Figure 5. Adsorption–desorption isotherm (left) and hysteresis loop (right) of silica gel SG and silica gel with copper (Cu) at the temperature of 303 K.
Figure 5. Adsorption–desorption isotherm (left) and hysteresis loop (right) of silica gel SG and silica gel with copper (Cu) at the temperature of 303 K.
Energies 18 00584 g005
Figure 6. Adsorption–desorption isotherm (left) and hysteresis loop (right) of silica gel SG and silica gel with copper (Cu) at the temperature of 313 K.
Figure 6. Adsorption–desorption isotherm (left) and hysteresis loop (right) of silica gel SG and silica gel with copper (Cu) at the temperature of 313 K.
Energies 18 00584 g006
Figure 7. Adsorption–desorption isotherm (left) and hysteresis loop (right) of silica gel SG and silica gel with copper (Cu) at the temperature of 333 K.
Figure 7. Adsorption–desorption isotherm (left) and hysteresis loop (right) of silica gel SG and silica gel with copper (Cu) at the temperature of 333 K.
Energies 18 00584 g007

3.1.3. Sorption Analysis for Samples Doped with Graphite Flakes

Figure 8, Figure 9 and Figure 10 indicate the sorption isotherms and hysteresis loops for the raw silica gel samples and the samples doped with graphite flakes at 5, 15 and 25 wt.%. For all the materials analysed, an almost linear course of sorption isotherms is observed in the range 0–30% RH for all the temperatures analysed. When graphite flakes are added to the silica gel, the sorption capacity of the material decreases. As the mass fraction of the additive in the mixture increases, the sorption capacity decreases, so that for a GF mass fraction of 25 wt.%, values of 25.24 wt.%, 25.67 wt.% and 25.70 wt.% are observed at temperatures of 303 K, 313 K and 333 K, respectively. The difference between the equilibrium points of adsorption and desorption at different relative humidity points ranges from −0.6% to 8.5%. The distribution of the hysteresis loop for each sample is shown in Figure 8, Figure 9 and Figure 10.
Figure 8. Adsorption–desorption isotherm (left) and hysteresis loop (right) of silica gel SG and silica gel with graphite flakes (GF) at the temperature of 303 K.
Figure 8. Adsorption–desorption isotherm (left) and hysteresis loop (right) of silica gel SG and silica gel with graphite flakes (GF) at the temperature of 303 K.
Energies 18 00584 g008
Figure 9. Adsorption–desorption isotherm (left) and hysteresis loop (right) of silica gel SG and silica gel with graphite flakes (GF) at the temperature of 313 K.
Figure 9. Adsorption–desorption isotherm (left) and hysteresis loop (right) of silica gel SG and silica gel with graphite flakes (GF) at the temperature of 313 K.
Energies 18 00584 g009
Figure 10. Adsorption–desorption isotherm (left) and hysteresis loop (right) of silica gel SG and silica gel with graphite flakes (GF) at the temperature of 333 K.
Figure 10. Adsorption–desorption isotherm (left) and hysteresis loop (right) of silica gel SG and silica gel with graphite flakes (GF) at the temperature of 333 K.
Energies 18 00584 g010

3.2. Thermal Conductivity Analysis

This section presents the results of the experimental measurements of the thermal conductivity of the materials analysed. Figure 11, Figure 12 and Figure 13 show the temperature dependence of the thermal conductivity coefficient and the additive mass fraction. The uncertainty of the thermal conductivity measurements is in the range of 0.002–0.005 W/(mK). When analysing the thermal properties of sorption materials, the moisture content of the samples must first be taken into account. Based on the results of the sorption isotherms, it should be noted that different samples have different water contents depending on the temperature and ambient humidity. Given that water has a thermal conductivity coefficient approximately five times higher than that of silica gel and that the adsorption and desorption processes are exothermic and endothermic, respectively, dry samples were analysed for an objective comparison of the materials. Moreover, it is important to note when analysing the thermal properties of the materials that the prepared samples are mixtures of silica gel and an additive with good thermal conductivity. Therefore, the degree of homogeneity of the sample is based on the physical adhesion of the silica gel and the additive.

3.2.1. Thermal Conductivity Analysis for Samples Doped with Aluminium Powder

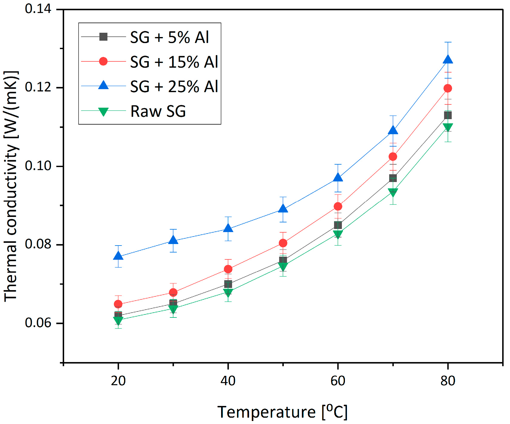
The results of the thermal conductivity measurements for silica gel with aluminium powder are shown in Figure 11. The analysis of the results shown in Figure 11 highlights the increase in thermal conductivity with an increasing aluminium mass fraction. The average increase, in the analysed temperature range, in the thermal conductivity is 2.5%, 8.0%, and 20.7% for samples doped with 5%, 15%, and 25% of Al, respectively. Therefore, the improvement in the thermal conductivity value does not depend linearly on the change in the proportion of the thermally conductive additive.

3.2.2. Thermal Conductivity Analysis for Samples Doped with Copper Powder

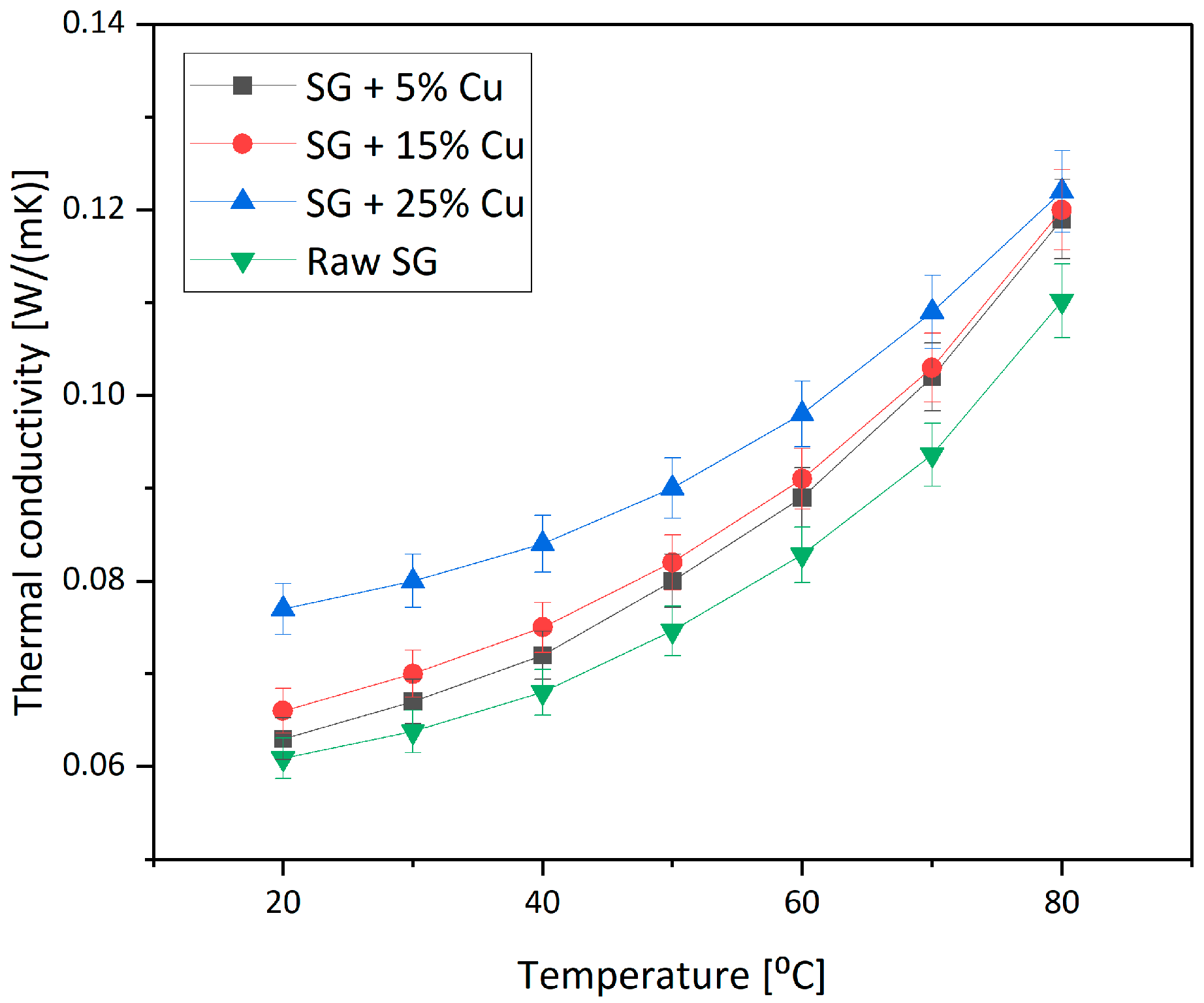
The results of the change in the thermal conductivity of the silica gel with the addition of copper powder are shown in Figure 12. It can be seen that there is a clear improvement in thermal conductivity (by 6.6%) already with the addition of 5% copper, whereas for the addition of aluminium and graphite flakes, the improvement is insignificant. The addition of 15% copper improves the thermal conductivity by an average of 9.6%, while a 25% copper content is associated with a 20.2% improvement in thermal conductivity compared to raw silica gel. Nevertheless, it should be noted that the material doped with 25% copper was characterised by a high inhomogeneity and copper falling to the bottom of the sample. Therefore, the result obtained confirms the thesis posited at the sorption test stage that obtaining a homogeneous sample with such a high proportion of copper is not possible without the use of an additional binder.

3.2.3. Thermal Conductivity Analysis for Samples Doped with Graphite Flakes

Figure 13 shows the change in the thermal conductivity of silica gel doped with graphite flakes. The addition of 5% GF does not improve the thermal conductivity. Taking into account the measurement uncertainty, the results are comparable to those of raw silica gel. There are two possible explanations for the slight decrease in thermal conductivity observed for SG + 5% GF. Firstly, it is supposed that below a specific mass fraction of GF, the GF particles do not form the thermal conductive pathways, and the thermal contact resistance between the GF and SG particles is higher as compared to the SG particles themselves. A similar finding was reported by Lee et al. [30], who reported that the effective thermal conductivity of Cu powder mixed with graphene possesses a lower thermal conductivity than pure Cu powder, and they attributed this phenomenon to the lack of thermal conductive pathways and increased thermal contact resistance. The second possible explanation for the decrease in the thermal conductivity for SG + 5% GF is the anisotropy of graphite flakes. This means that their thermal conductivity depends on the direction of heat flow. Therefore, it cannot be excluded that in the case of SG + 5% GF, the graphite flakes arranged in the “through plane” position (lower thermal conductivity) instead of the “in-plane” position (higher thermal conductivity) [31]. Nonetheless, the above explanations are only speculations and require further research.
A higher concentration of graphite flakes in the sample (>10% mass) significantly improves the thermal conductivity coefficient over the entire temperature range analysed. For samples doped with 15% GF, an improvement in the material’s thermal conductivity coefficient of an average of 8.1% is observed, while for a share of 25% GF in the material, the improvement in thermal conductivity reaches 16.5%.

4. Discussion

The additives were added to the adsorbent to increase the thermal conductivity of the whole bed by reducing the discontinuities in internal heat transport. The use of additives will reduce the mass of the hygroscopic silica gel and reduce the sorption capacity of the sample, as the additives do not exhibit significant sorption properties. This is why the simultaneous analysis of the thermal and sorption properties is so important.
When analysing the results for silica gel doped with aluminium powder, it is important to highlight the good mixing of aluminium powder with silica gel. The prepared samples were more homogeneous than the SG samples doped with GF and Cu. This may be related to the fact that aluminium in contact with air is covered by an oxide layer (Al2O3), which is chemically stable and hydrophilic. This layer can adhere well to the silica gel grains because both surfaces have hydroxyl groups (-OH), allowing physical interactions [32]. Considering the analysis of the thermal and sorption properties of the copper-added silica gel, it should be concluded that copper has a less hydrophilic surface compared to aluminium oxide, which limits the interaction with the hydrophilic silica gel. The adhesion of copper and silica gel is mainly based on the van der Waals forces, which are moderately strong. Nevertheless, thin layers of oxides (e.g., CuO, Cu2O) can form on the surface of copper grains [33], which are more compatible with silica gel, although it should be noted that the layers are thin and less stable than aluminium [34,35].
In addition to inter-particle interactions, attention should also be paid to the issue of the density differences between silica gel and the additives as a factor affecting the homogeneity of the samples obtained. The metal powders, such as aluminium and copper, differed in their effect on the homogeneity of the mixture with the silica gel matrix. Aluminium, with a density approximately twice that of graphite flakes, allowed for a homogeneous mixture with the silica gel. In contrast, copper, whose density is more than three times that of aluminium, caused a deepening delamination of the samples as its content increased. With copper admixture above 25% by weight, the preparation of a homogeneous sample was impossible due to the considerable segregation of the components. Among the materials tested, the graphite flakes showed a density most similar to silica gel. Nevertheless, difficulties in obtaining a homogeneous mixture were observed, especially for low GF mass proportions (<10% mass). This has to do with the fact that graphite is characterised by weak van der Waals forces between the layers and, in addition, the surfaces of graphite flakes are smooth and chemically inert. Consequently, the adhesion with silica gel is relatively weak. This is an important observation from the point of view of thermal conductivity analysis. Given the nature of the LFA measurement method, the homogeneity of the sample greatly influences the final result.
Analysing the sorption isotherms shown in Figure 2, Figure 3, Figure 4, Figure 5, Figure 6, Figure 7, Figure 8, Figure 9 and Figure 10, it should be noted that the sorption capacity decreases with an increasing additive mass in the sample. Some small differences in the change in the reference mass can be explained by measurement uncertainty and sample heterogeneity. As expected, the samples with an additive of 5% mass fraction show sorption capacities most comparable to the reference sample. On average, the decrease in the sorption capacity with respect to the silica gel sample is approximately 2.2% for the aluminium samples, 3.4% for the copper addition and 1.2% for the graphite flakes samples. When analysing the results for materials doped with 15 wt.% of the additives, an approximately six times greater decrease in the sorption capacity is observed compared to samples doped with 5% highly conductive additives. For samples doped with aluminium, the average loss of adsorbed water for all the temperatures was 12.7%, while for the graphite flakes additive, it was 8.7%. The maximum loss was observed for the sample with copper, where the decrease in the sorption capacity was 15 wt.%. In contrast, as expected, the greatest loss in sorption capacity of all the mixtures relative to the reference sample was obtained for samples with 25 wt.% of the additives. For silica gel doped with aluminium, the decrease in capacity was 25.5%, while for the graphite flakes additive, it was 22.8%.
On the other hand, the thermal conductivity of the doped samples increases with an increasing mass fraction of the additives, which is shown in Figure 14. The addition of copper is associated with the greatest improvement in thermal conductivity in the range of 5–15% by weight. In contrast, samples doped with aluminium powder show the best homogeneity and a stable increase in thermal conductivity regardless of the change in the good conductive additive. In order to transfer heat efficiently, a straight and uninterrupted pathway composed of well-bonded atoms and molecules is needed. This is why the formation of as many thermally conductive pathways as possible is characteristic of the most homogeneous materials, where an additive with good thermal conductivity is uniformly distributed throughout the sample volume. Therefore, it can be concluded that for samples with graphite flakes and aluminium powder, an increase in the proportion of the additive from 5% to 25% by weight is associated with the phenomenon of the formation of more thermally conductive paths, which is reflected in the improvement in the thermal conductivity coefficient. In contrast, copper, due to its high density, tends to settle at the bottom of the material and an increase in the proportion of copper in the silica gel from 15% to 25% by weight is not associated with the expected increase in thermal conductivity. It can be concluded that further increases in the proportion of copper in the mixture beyond 15% are not reflected in the formation of a sufficiently large number of thermally conductive pathways.
Considering the results of the sorption isotherms and the thermal conductivity coefficient of silica gel doped with good heat-conducting materials, it can be concluded that with an increase in the mass fraction of the additive in the mixture, an improvement in the heat transfer coefficient and a decrease in the sorption capacity are observed, as shown in Figure 14. Therefore, the results obtained indicate that for doped beds, it is impossible to simultaneously improve the heat and mass transport in the bed. Taking into account the relationship indicated in Figure 14, it can be concluded that the optimum mass proportion of the additive for the materials analysed is in the range of 5–15%, where an improvement in heat transport in the bed is not accompanied by a significant degradation in the sorption capacity.

5. Conclusions

In this study, the sorption and thermal properties of silica gel and silica gel samples doped with 5, 15, and 25 wt.% of aluminium, copper, and graphite flakes were investigated. The measurements were conducted under dry, fully desorbed conditions, which represents a novel approach rarely explored in other studies and provides a unique perspective on the thermal properties of the sorbents.
The analysis of the sorption equilibrium points provides critical insights into the sorption capacity of adsorbents under varying relative pressures or adsorbate concentrations. This information is invaluable for selecting the appropriate adsorbent and optimising the process parameters. As demonstrated by the results, the incorporation of additives into silica gel at a concentration of 5 wt.% does not significantly impact the vacuum vapour sorption characteristics. Specifically, the sorption isotherms for silica gel with 5 wt.% graphite flakes (GFs) closely resemble those of raw silica gel, with a minimal reduction in the sorption capacity of approximately 1.2%. In contrast, the addition of 5 wt.% aluminium or copper leads to more pronounced reductions in the sorption capacity, amounting to 2.2% and 3.4%, respectively. A clear correlation is observed between the extent of the capacity reduction and the density of the additive. Notably, copper, being the densest additive tested, results in the most significant decrease in the sorption capacity.
Taking into account both the improvement of the thermal conductivity coefficient and the sorption capacity of the material, it can be concluded that the optimum proportion of copper addition in silica gel is 5–15 wt.%, which provides the best balance between heat and mass transport. For mixtures of silica gel and graphite flakes, the best compromise in terms of the thermal and sorption properties is achieved with a graphite content of 15–25 wt.%. In contrast, for mixtures of silica gel and aluminium powder, efficiency can be maintained over a wide range of additive content of 5–25 wt.%. The improved thermal conductivity of these materials, despite the reduction in the sorption capacity, may allow for a shorter desorption time compared to unmodified sorbents. Consequently, shorter duty cycles, combined with improved desorption processes, can lead to increased heat transfer efficiency and improved overall performance of adsorption chillers, but this requires testing on a real system.
The challenges associated with achieving a homogeneous adsorption bed should be addressed in the context of an innovative approach: employing a bonded sorbent bed as an alternative to the conventional fixed beds currently used in adsorption chillers. The integration of an appropriate binder, along with highly thermally conductive additives, holds the potential to enhance the heat transfer coefficient between the bed and the heat exchanger. Furthermore, mechanically bonding the sorbent with the thermally conductive additives can mitigate the issue of bed heterogeneity, particularly for additives with significantly higher densities than silica gel, especially when the additives are in powdered form.
Future research will focus on evaluating the performance of coated sorbent beds, with particular attention paid to the impact of sorbent bonding on the heat and mass transfer within the bed. This investigation aims to assess the potential of bonded beds to enhance the efficiency of sorption processes in adsorption chillers.

Author Contributions

Conceptualisation, K.S. and T.B.; methodology, T.B., W.K. and E.R.; formal analysis, A.M.-M. and J.Č.; investigation, T.B., W.K. and E.R.; data curation, P.B.; writing—original draft preparation, T.B. and K.S.; writing—review and editing, A.M.-M., J.Č., K.S., Ł.M., T.B., E.R. and P.B.; visualisation, T.B. and J.Č.; supervision, K.S. and Ł.M.; project administration, A.M.-M., K.S. and Ł.M.; funding acquisition, Ł.M. All authors have read and agreed to the published version of the manuscript.

Funding

This research was funded by the Ministry of Science and Higher Education, Poland, AGH grant No. 16.16.210.476, and partly supported by the Excellence Initiative—Research University programme of the AGH University of Krakow.

Data Availability Statement

The original contributions presented in this study are included in the article. Further inquiries can be directed to the corresponding authors.

Conflicts of Interest

The authors declare no conflicts of interest.

References

  1. IEA. CO2 Emissions in 2022; IEA: Paris, France, 2023. [Google Scholar]
  2. International Energy Agency. IEA Electricity Market Report 2020 Update 2023; International Energy Agency: Paris, France, 2023. [Google Scholar]
  3. International Energy Agency (IEA). Keeping Cool in a Hotter World Is Using More Energy, Making Efficiency More Important than Ever. Available online: https://www.iea.org/commentaries/keeping-cool-in-a-hotter-world-is-using-more-energy-making-efficiency-more-important-than-ever (accessed on 12 November 2024).
  4. Wang, R.; Wang, L.; Wu, J. Adsorption Refrigeration Technology. Theory and Application; John Wiley & Sons: Singapore, 2014; ISBN 9781118197462. [Google Scholar]
  5. Ghilen, N.; El Ganaoui, M.; Gabsi, S.; Benelmir, R. Performance of a Solar-Biomass Adsorption Chiller. Fluid Dyn. Mater. Process. 2022, 19, 1015–1026. [Google Scholar] [CrossRef]
  6. Qadir, N.U.; Xu, Z.Y.; Pan, Q.W.; Said, S.A.M.; Mansour, R.B.; Akhtar, K. Performance prediction of a two-bed solar-powered adsorption chiller with heat and mass recovery cycles and adaptive cycle time—A first step towards the design of fully autonomous commercial-scale adsorption chillers. Appl. Therm. Eng. 2021, 192, 116950. [Google Scholar] [CrossRef]
  7. Jahangir, M.H.; Kargarzadeh, A.; Javanshir, F. Energy investigation in buildings applying a solar adsorption chiller coupled with biofuel heaters and solar heating/cooling systems in different climates. Energy Rep. 2022, 8, 15493–15510. [Google Scholar] [CrossRef]
  8. Chen, C.H.; Lu, J.H.; Perng, J.C.; Chen, J.J. Shallow Geothermal and Solar Energy-Driven Adsorption-Compression Hybrid Air Conditioning System. In Proceedings of the 2023 7th International Conference on Green Energy and Applications (ICGEA), Singapore, 10–12 March 2023; pp. 209–212. [Google Scholar] [CrossRef]
  9. Boruta, P.; Bujok, T.; Mika, Ł. Adsorbents, Working Pairs and Coated Beds for Natural Refrigerants in Adsorption Chillers—State of the Art. Energies 2021, 14, 4707. [Google Scholar] [CrossRef]
  10. Sosnowski, M.; Krzywanski, J.; Skoczylas, N. Adsorption Desalination and Cooling Systems: Advances in Design, Modeling and Performance. Energies 2022, 15, 4036. [Google Scholar] [CrossRef]
  11. Sztekler, K. Optimisation of operation of adsorption chiller with desalination function. Energies 2021, 14, 2668. [Google Scholar] [CrossRef]
  12. Ng, K.C.; Thu, K.; Kim, Y.; Chakraborty, A.; Amy, G. Adsorption desalination: An emerging low-cost thermal desalination method. Desalination 2013, 308, 161–179. [Google Scholar] [CrossRef]
  13. Bujok, T.; Boruta, P.; Mika, Ł.; Sztekler, K. Analysis of designs of heat exchangers used in adsorption chillers. Energies 2021, 14, 8038. [Google Scholar] [CrossRef]
  14. Caprì, A.; Frazzica, A.; Calabrese, L. Recent developments in coating technologies for adsorption heat pumps: A review. Coatings 2020, 10, 855. [Google Scholar] [CrossRef]
  15. Grabowska, K.; Krzywanski, J.; Nowak, W.; Wesolowska, M. Construction of an innovative adsorbent bed configuration in the adsorption chiller—Selection criteria for effective sorbent-glue pair. Energy 2018, 151, 317–323. [Google Scholar] [CrossRef]
  16. Restuccia, G.; Freni, A.; Maggio, G. A zeolite-coated bed for air conditioning adsorption systems: Parametric study of heat and mass transfer by dynamic simulation. Appl. Therm. Eng. 2002, 22, 619–630. [Google Scholar] [CrossRef]
  17. Chauhan, P.R.; Kaushik, S.C.; Tyagi, S.K. A review on thermal performance enhancement of green cooling system using different adsorbent/refrigerant pairs. Energy Convers. Manag. X 2022, 14, 100225. [Google Scholar] [CrossRef]
  18. Kim, S.H.; Cho, K.; Kim, J.N.; Beum, H.T.; Yoon, H.C.; Lee, C.H. Improvement of cooling performance of water adsorption chiller by using aluminophophate adsorbent. Microporous Mesoporous Mater. 2020, 309, 110572. [Google Scholar] [CrossRef]
  19. El-Sharkawy, I.I.; Abdelmeguid, H.; Saha, B.B. Towards an optimal performance of adsorption chillers: Reallocation of adsorption/desorption cycle times. Int. J. Heat Mass Transf. 2013, 63, 171–182. [Google Scholar] [CrossRef]
  20. Aristov, Y.I.; Sapienza, A.; Ovoshchnikov, D.S.; Freni, A.; Restuccia, G. Reallocation of adsorption and desorption times for optimisation of cooling cycles. Int. J. Refrig. 2012, 35, 525–531. [Google Scholar] [CrossRef]
  21. Pan, Q.; Li, X.; Wang, B.; Li, J.; Jin, S.; Xu, J.; Ge, T. Operating characteristics of an adsorption chiller with heat and mass recovery scheme for low-grade heat source. Appl. Therm. Eng. 2024, 251, 123614. [Google Scholar] [CrossRef]
  22. Pan, Q.; Peng, J.; Wang, R. Experimental study of an adsorption chiller for extra low temperature waste heat utilization. Appl. Therm. Eng. 2019, 163, 114341. [Google Scholar] [CrossRef]
  23. Helmy, M.; El-Ghetany, H.H.; Ahmed, M.H.; Mosalam, H.; Aly, W.I.A. Experimental study of the optimal mixing ratio of metallic additives for improving the performance of the solar activated carbon-methanol adsorption refrigeration system. Int. J. Refrig. 2024, 167, 118–126. [Google Scholar] [CrossRef]
  24. Askalany, A.A.; Henninger, S.K.; Ghazy, M.; Saha, B.B. Effect of improving thermal conductivity of the adsorbent on performance of adsorption cooling system. Appl. Therm. Eng. 2017, 110, 695–702. [Google Scholar] [CrossRef]
  25. Demir, H.; Mobedi, M.; Ülkü, S. The use of metal piece additives to enhance heat transfer rate through an unconsolidated adsorbent bed. Int. J. Refrig. 2010, 33, 714–720. [Google Scholar] [CrossRef]
  26. Rezk, A.; Al-Dadah, R.K.; Mahmoud, S.; Elsayed, A. Effects of contact resistance and metal additives in finned-tube adsorbent beds on the performance of silica gel/water adsorption chiller. Appl. Therm. Eng. 2013, 53, 278–284. [Google Scholar] [CrossRef]
  27. Gediz Ilis, G.; Demir, H.; Mobedi, M.; Baran Saha, B. A new adsorbent bed design: Optimization of geometric parameters and metal additive for the performance improvement. Appl. Therm. Eng. 2019, 162, 114270. [Google Scholar] [CrossRef]
  28. JCGM GUM-6:2020; Guide to the Expression of Uncertainty in Measurement—Part 6: Developing and Using Measurement Models. The International Organization for Standardization: Geneva, Switzerland, 2020; pp. 1–103.
  29. Thommes, M.; Kaneko, K.; Neimark, A.V.; Olivier, J.P.; Rodriguez-Reinoso, F.; Rouquerol, J.; Sing, K.S.W. Physisorption of gases, with special reference to the evaluation of surface area and pore size distribution (IUPAC Technical Report). Pure Appl. Chem. 2015, 87, 1051–1069. [Google Scholar] [CrossRef]
  30. Lee, H.; Koutsioukis, A.; Jafari, D.; Geurts, B.J.; Wits, W.W. Measurement of effective thermal conductivity of composite powders of 2D materials and metals for additive manufacturing. J. Phys. Conf. Ser. 2024, 2766, 012186. [Google Scholar] [CrossRef]
  31. Fayazmanesh, K.; Salari, S.; Bahrami, M. Effective thermal conductivity modeling of consolidated sorption composites containing graphite flakes. Int. J. Heat Mass Transf. 2017, 115, 73–79. [Google Scholar] [CrossRef]
  32. Hair, M.L. Hydroxyl Groups on Silica Surface. Glas. Surfaces 1975, 299–309. [Google Scholar] [CrossRef]
  33. Du, G.; Gong, P.; Cui, C.; Wang, L.; An, C. Solid-State Construction of CuO–Cu2O@C with Synergistic Effects of Pseudocapacity and Carbon Coating for Enhanced Electrochemical Lithium Storage. Nanomaterials 2024, 14, 1378. [Google Scholar] [CrossRef]
  34. Seifollahzadeh, P.; Alizadeh, M.; Abbasi, M.R. Strength prediction of multi-layered copper-based composites fabricated by accumulative roll bonding. Trans. Nonferrous Met. Soc. China 2021, 31, 1729–1739. [Google Scholar] [CrossRef]
  35. Hug, E.; Bellido, N. Brittleness study of intermetallic (Cu, Al) layers in copper-clad aluminium thin wires. Mater. Sci. Eng. A 2011, 528, 7103–7106. [Google Scholar] [CrossRef]
Figure 1. Photographs of silica gel samples with 15% of the additive: (a) pure silica gel, (b) SG with aluminium, (c) SG with graphite flakes and (d) SG with copper.
Figure 1. Photographs of silica gel samples with 15% of the additive: (a) pure silica gel, (b) SG with aluminium, (c) SG with graphite flakes and (d) SG with copper.
Energies 18 00584 g001
Figure 11. Change in the thermal conductivity coefficient for silica gel with aluminium powder as a function of the temperature.
Figure 11. Change in the thermal conductivity coefficient for silica gel with aluminium powder as a function of the temperature.
Energies 18 00584 g011
Figure 12. Change in the thermal conductivity coefficient for silica gel with copper powder as a function of the temperature.
Figure 12. Change in the thermal conductivity coefficient for silica gel with copper powder as a function of the temperature.
Energies 18 00584 g012
Figure 13. Change in the thermal conductivity coefficient for silica gel with graphite flakes (GF) as a function of the temperature.
Figure 13. Change in the thermal conductivity coefficient for silica gel with graphite flakes (GF) as a function of the temperature.
Energies 18 00584 g013
Figure 14. Change in the thermal conductivity and sorption capacity as a function of the additive mass fraction.
Figure 14. Change in the thermal conductivity and sorption capacity as a function of the additive mass fraction.
Energies 18 00584 g014
Table 1. Samples examined in this study.
Table 1. Samples examined in this study.
SampleBasic
Material
Type of AdditiveMass Share of Additive [%]
SGWide-porous silica geln/a0
SG + 5% AlWide-porous silica gelAluminium powder5
SG + 15% AlWide-porous silica gelAluminium powder15
SG + 25% AlWide-porous silica gelAluminium powder25
SG + 5% GFWide-porous silica gelGraphite flakes5
SG + 15% GFWide-porous silica gelGraphite flakes15
SG + 25% GFWide-porous silica gelGraphite flakes25
SG + 5% CuWide-porous silica gelCopper powder5
SG + 15% CuWide-porous silica gelCopper powder15
Disclaimer/Publisher’s Note: The statements, opinions and data contained in all publications are solely those of the individual author(s) and contributor(s) and not of MDPI and/or the editor(s). MDPI and/or the editor(s) disclaim responsibility for any injury to people or property resulting from any ideas, methods, instructions or products referred to in the content.

Share and Cite

MDPI and ACS Style

Mika, Ł.; Bujok, T.; Sztekler, K.; Kalawa, W.; Radomska, E.; Mlonka-Mędrala, A.; Čespiva, J.; Boruta, P. Development of New Composite Beds for Enhancing the Heat Transfer in Adsorption Cooling Systems. Energies 2025, 18, 584. https://doi.org/10.3390/en18030584

AMA Style

Mika Ł, Bujok T, Sztekler K, Kalawa W, Radomska E, Mlonka-Mędrala A, Čespiva J, Boruta P. Development of New Composite Beds for Enhancing the Heat Transfer in Adsorption Cooling Systems. Energies. 2025; 18(3):584. https://doi.org/10.3390/en18030584

Chicago/Turabian Style

Mika, Łukasz, Tomasz Bujok, Karol Sztekler, Wojciech Kalawa, Ewelina Radomska, Agata Mlonka-Mędrala, Jakub Čespiva, and Piotr Boruta. 2025. "Development of New Composite Beds for Enhancing the Heat Transfer in Adsorption Cooling Systems" Energies 18, no. 3: 584. https://doi.org/10.3390/en18030584

APA Style

Mika, Ł., Bujok, T., Sztekler, K., Kalawa, W., Radomska, E., Mlonka-Mędrala, A., Čespiva, J., & Boruta, P. (2025). Development of New Composite Beds for Enhancing the Heat Transfer in Adsorption Cooling Systems. Energies, 18(3), 584. https://doi.org/10.3390/en18030584

Note that from the first issue of 2016, this journal uses article numbers instead of page numbers. See further details here.

Article Metrics

Back to TopTop