Conjugate Heat Transfer and Thermal Stress Analysis of a Gas Turbine Double-Wall Cooling System with a Diamond-Type TPMS Effusion
Abstract
1. Introduction
2. Methodology
2.1. Numerical Model
2.2. Computational Domain and Boundary Conditions
2.3. Parameter Definition
2.4. Mesh Independence and Numerical Scheme
2.5. Validation
3. Results and Discussion
3.1. Internal Cooling Analysis
3.1.1. Impingement Flow and Temperature Contours
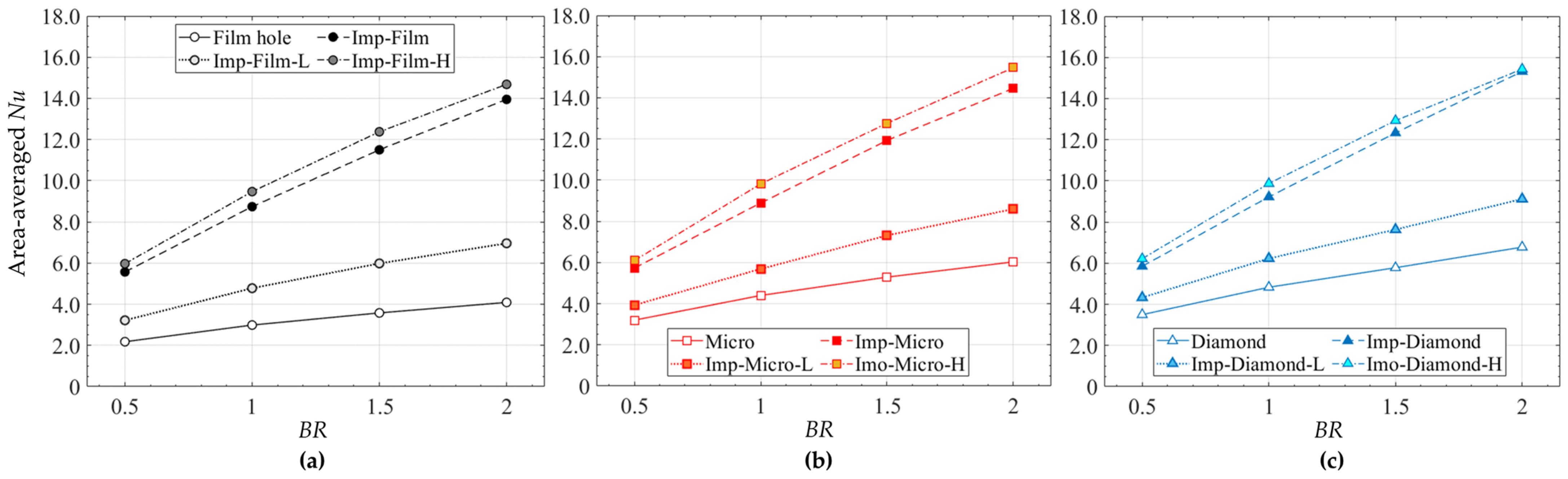
3.1.2. Nusselt Number
3.2. External Cooling Analysis
3.2.1. Flow Characteristics and Temperature Distributions
3.2.2. Overall Cooling Effectiveness
3.3. Overall Performance Analysis
3.3.1. Pressure Loss
3.3.2. Performance Evaluation
3.4. Thermal-Mechanical Analysis
3.4.1. Static Structural Simulation Approach
3.4.2. Thermal Stress Analysis
3.4.3. Displacement Analysis
4. Conclusions
- (1)
- The Diamond TPMS design generates a different flow pattern from the cylindrical film and micro-hole models. It suppresses jet lift-off and eliminates counter-rotating vortex pairs, resulting in a thicker coolant film that provides more complete coverage on the effusion plate. The Diamond structure, due to its complex internal topology, achieves higher cooling effectiveness by releasing coolant that attaches to the wall and ensuring a more uniform temperature distribution on the effusion plate.
- (2)
- Integrating jet impingement as a double-wall cooling system generally increases the area-averaged Nusselt number. The most beneficial impact of the jet is observed in the film hole model due to a more pronounced secondary peak in heat transfer, and this peak corresponds to the region of high heat transfer in the wall jet formed after the impingement stagnation point. For the micro-hole and Diamond models, the internal surface areas are large, allowing the jet flow to penetrate to the hole. Therefore, the jet impingement has a smaller influence on the temperature distribution of the external plate. In all designs, the jet configuration with Dj = 0.9 mm and Hj = 1.8 mm shows the highest area-averaged Nusselt number.
- (3)
- While overall cooling effectiveness and pressure loss increase with BR for all models, the Diamond designs outperform the others. The cooling effectiveness and pressure loss are further increased when jet impingement is incorporated. At an equal total pressure loss, the Diamond with the jet impingement (Dj = 0.9 mm, Hj = 1.8 mm) provides a 101% higher cooling effectiveness than the pure film hole configuration.
- (4)
- The Diamond model demonstrates a 44.7% reduction in thermal stress compared to the film hole model, with a more uniform stress and displacement distribution on the effusion plate. This combination of the higher cooling effectiveness and lower thermal stress suggests that the Diamond TPMS effusion is the most effective thermo-mechanical design in this study, presenting a promising high-performance cooling solution for advanced gas turbines.
Author Contributions
Funding
Data Availability Statement
Acknowledgments
Conflicts of Interest
Nomenclature
| BR | Blowing ratio (−) |
| Dj | Diameter of the jet hole (m) |
| Vc, Vm | Velocity of the coolant and mainstream (m/s) |
| Tc, Tm | Temperature of the coolant and hot gas (K) |
| Twc, Twm | Temperature of the cold- and hot-side surfaces of the external plate (m) |
| Nu | Nusselt number on the cold-side surface of the external plate (−) |
| q | Wall heat flux on the cold-side surface of the external plate (W/m2) |
| kf | Thermal conductivity of the cooling air (W/m·K) |
| ζtot | Total pressure loss coefficient (−) |
| Mass flow rate of the coolant and hot gas (kg/s) | |
| Total mass flow rate (kg/s) | |
| pc, pm | Inlet pressure of the coolant and hot gas (Pa) |
| ph, out | Outlet pressure of the hot gas (Pa) |
| y+ | Dimensionless wall distance (−) |
References
- Araki, M.; Masada, J.; Hada, S.; Ito, E.; Tsukagoshi, K. Development of Mitsubishi 1600 °C Class J-Type Gas Turbine. In Proceedings of the ASME 2011 Power Conference, Denver, CO, USA, 12–14 July 2011; ASMEDC: New York, NY, USA, 2011; Volume 1, pp. 635–641. [Google Scholar]
- Yeranee, K.; Rao, Y. A Review of Recent Studies on Rotating Internal Cooling for Gas Turbine Blades. Chinese J. Aeronaut. 2021, 34, 85–113. [Google Scholar] [CrossRef]
- Lu, Y.; Zhang, M.; Chen, Y.; Ju, J.; Chen, F.; Bai, K.; Wang, X. A Newly Developed Multi-Strategy Optimization Algorithm Framework Based on the Adaptive Switching Approach Coupled with Grey Wolf Optimizer. Knowl. Inf. Syst. 2025, 67, 5571–5617. [Google Scholar] [CrossRef]
- Wang, W.; Yan, Y.; Zhou, Y.; Cui, J. Review of Advanced Effusive Cooling for Gas Turbine Blades. Energies 2022, 15, 8568. [Google Scholar] [CrossRef]
- Mi, Q.; Yi, S.H.; Gang, D.D.; Lu, X.G.; Liu, X.L. Research Progress of Transpiration Cooling for Aircraft Thermal Protection. Appl. Therm. Eng. 2024, 236, 121360. [Google Scholar] [CrossRef]
- Reimer, T.; Kuhn, M.; Gülhan, A.; Esser, B.; Sippel, M.; van Foreest, A. Transpiration Cooling Tests of Porous CMC in Hypersonic Flow. In Proceedings of the 17th AIAA International Space Planes and Hypersonic Systems and Technologies Conference, San Francisco, CA, USA, 11–14 April 2011; American Institute of Aeronautics and Astronautics: Reston, VA, USA, 2011; pp. 1–13. [Google Scholar]
- Langener, T.; von Wolfersdorf, J.; Steelant, J. Experimental Investigations on Transpiration Cooling for Scramjet Applications Using Different Coolants. AIAA J. 2011, 49, 1409–1419. [Google Scholar] [CrossRef]
- Kumar, C.S.; Pattamatta, A. Assessment of Heat Transfer Enhancement Using Metallic Porous Foam Configurations in Laminar Slot Jet Impingement: An Experimental Study. J. Heat Transfer 2018, 140, 022202. [Google Scholar] [CrossRef]
- Liu, Y.Q.; Jiang, P.X.; Xiong, Y.B.; Wang, Y.P. Experimental and Numerical Investigation of Transpiration Cooling for Sintered Porous Flat Plates. Appl. Therm. Eng. 2013, 50, 997–1007. [Google Scholar] [CrossRef]
- Xu, G.; Liu, Y.; Luo, X.; Ma, J.; Li, H. Experimental Investigation of Transpiration Cooling for Sintered Woven Wire Mesh Structures. Int. J. Heat Mass Transf. 2015, 91, 898–907. [Google Scholar] [CrossRef]
- Hinse, M.; Yildiz, K.; Richer, P.; Jodoin, B.; Bourmand, M.; Yun, S.; Hong, Z. Numerical and Experimental Studies of Transpiration Cooling Film Effectiveness over Porous Materials. J. Thermophys. Heat Transf. 2022, 36, 803–817. [Google Scholar] [CrossRef]
- Huang, Z.; Xiong, Y.B.; Liu, Y.Q.; Jiang, P.X.; Zhu, Y.H. Experimental Investigation of Full-Coverage Effusion Cooling through Perforated Flat Plates. Appl. Therm. Eng. 2015, 76, 76–85. [Google Scholar] [CrossRef]
- Wambersie, A.; Wong, H.; Ireland, P.; Mayo, I. Experiments of Transpiration Cooling Inspired Panel Cooling on a Turbine Blade Yielding Film Effectiveness Levels over 95%. Int. J. Turbomach. Propuls. Power 2021, 6, 16. [Google Scholar] [CrossRef]
- Yeranee, K.; Rao, Y. A Review of Recent Research on Flow and Heat Transfer Analysis in Additively Manufactured Transpiration Cooling for Gas Turbines. Energies 2025, 18, 3282. [Google Scholar] [CrossRef]
- Min, Z.; Parbat, S.N.; Yang, L.; Chyu, M.K. Thermal-Fluid and Mechanical Investigations of Additively Manufactured Geometries for Transpiration Cooling. In Proceedings of the Volume 5B: Heat Transfer, Phoenix, AZ, USA, 17–21 June 2019; American Society of Mechanical Engineers: New York, NY, USA, 2019; Volume 5B-2019, pp. 1–13. [Google Scholar]
- Huang, G.; Min, Z.; Yang, L.; Jiang, P.-X.; Chyu, M. Transpiration Cooling for Additive Manufactured Porous Plates with Partition Walls. Int. J. Heat Mass Transf. 2018, 124, 1076–1087. [Google Scholar] [CrossRef]
- Stimpson, C.K.; Snyder, J.C.; Thole, K.A.; Mongillo, D. Roughness Effects on Flow and Heat Transfer for Additively Manufactured Channels. J. Turbomach. 2016, 138, 051008. [Google Scholar] [CrossRef]
- Kim, M.; Shin, D.H.; Kim, J.S.; Lee, B.J.; Lee, J. Experimental Investigation of Effusion and Transpiration Air Cooling for Single Turbine Blade. Appl. Therm. Eng. 2021, 182, 116156. [Google Scholar] [CrossRef]
- Kim, M.; Shin, D.H.; Lee, B.J.; Lee, J. Experimental and Numerical Investigation of Micro-Scale Effusion and Transpiration Air Cooling on Cascaded Turbine Blades. Case Stud. Therm. Eng. 2022, 32, 101892. [Google Scholar] [CrossRef]
- Poupinha, C.; Kozlowska, S.; Lluch, J.S.; Altimare, D.; Kinell, M. Experimental Study on Transpiration Cooling through Additively Manufactured Porous Structures. Int. J. Heat Mass Transf. 2024, 227, 125532. [Google Scholar] [CrossRef]
- Xu, R.; Cheng, Z.; Jiang, P. Fundamentals and Recent Progress of Additive Manufacturing-Assisted Porous Materials on Transpiration Cooling. J. Glob. Power Propuls. Soc. 2023, 2023, 19–48. [Google Scholar] [CrossRef] [PubMed]
- Min, Z.; Huang, G.; Parbat, S.N.; Yang, L.; Chyu, M.K. Experimental Investigation on Additively Manufactured Transpiration and Film Cooling Structures. J. Turbomach. 2019, 141, 031009. [Google Scholar] [CrossRef]
- Fier, N.D.; Bogard, D.G. Additively Manufactured Porous Geometries for Hybrid Turbine Cooling. In Proceedings of the Volume 5A: Heat Transfer—Combustors, Virtual, 7–11 June 2021; Film Cooling. American Society of Mechanical Engineers: New York, NY, USA, 2021; Volume 5A-2021, pp. 1–10. [Google Scholar]
- Broumand, M.; Son, J.; Pyo, Y.; Yun, S.; Hong, Z. TPMS-Based Transpiration Cooling for Film Cooling Enhancement. Int. J. Heat Mass Transf. 2024, 231, 125824. [Google Scholar] [CrossRef]
- Yeranee, K.; Zuo, Q.; Rao, Y.; Cheng, Y. Conjugate Heat Transfer Simulations Of Vortex Chamber With Diamond-Type Tpms Effusion For Gas Turbine Blade Leading Edge Cooling. In Proceedings of the Global Power and Propulsion Society, Shanghai, China, 4–6 September 2025. [Google Scholar]
- Kim, K.M.; Song, J.; Park, J.S.; Lee, S.; Cho, H.H. Material Design of a Film Cooling System Using Experimental Heat Transfer Data. Int. J. Heat Mass Transf. 2012, 55, 6278–6284. [Google Scholar] [CrossRef]
- Kim, K.M.; Moon, H.; Park, J.S.; Cho, H.H. Optimal Design of Impinging Jets in an Impingement/Effusion Cooling System. Energy 2014, 66, 839–848. [Google Scholar] [CrossRef]
- Wang, S.; Li, X.; Ren, J. Film Cooling and Stress Concentration Properties of the Backward-Diffusion Elliptical Hole. Appl. Therm. Eng. 2024, 244, 122713. [Google Scholar] [CrossRef]
- Li, W.; Lu, X.; Li, X.; Ren, J.; Jiang, H. On Improving Full-Coverage Effusion Cooling Efficiency by Varying Cooling Arrangements and Wall Thickness in Double Wall Cooling Application. J. Heat Transfer 2019, 141, 042201. [Google Scholar] [CrossRef]
- Liu, R.; Li, H.; You, R.; Huang, Y.; Tao, Z. Conjugate Heat Transfer Study of Various Cooling Structures and Sensitivity Analysis of Overall Cooling Effectiveness. Sci. Rep. 2022, 12, 19271. [Google Scholar] [CrossRef]
- Yeranee, K.; Xu, C.; Rao, Y.; Cheng, Y.; Zuo, Q.; Zhang, G. Conjugate Heat Transfer and Flow Analysis of Double-Wall Cooling with Printable Gyroid-Type TPMS-Based Effusion. Aerospace 2025, 12, 854. [Google Scholar] [CrossRef]
- Son, J.; Pyo, Y.; Richer, P.; Jodoin, B.; Hong, Z. Impact of TPMS Structure Unit Cell Size on Transpiration Cooling. In Proceedings of the AIAA Science and Technology Forum and Exposition, AIAA SciTech Forum 2025, Orlando, FL, USA, 6–10 January 2025; American Institute of Aeronautics and Astronautics: Reston, VA, USA, 2025; pp. 1–17. [Google Scholar]
- Yeranee, K.; Rao, Y.; Xu, C.; Xie, J.; Zhang, Y. Conjugate Heat Transfer and Fluid Flow Analysis on Printable Double-Wall Effusion Cooling with Internal Topology-Optimized TPMS Structures. Therm. Sci. Eng. Prog. 2024, 55, 102939. [Google Scholar] [CrossRef]
- Skamniotis, C.; Courtis, M.; Cocks, A.C.F. Multiscale Analysis of Thermomechanical Stresses in Double Wall Transpiration Cooling Systems for Gas Turbine Blades. Int. J. Mech. Sci. 2021, 207, 106657. [Google Scholar] [CrossRef]
- Son, J.; Broumand, M.; Pyo, Y.; Richer, P.; Jodoin, B.; Hong, Z. Effects of Lattice Orientation Angle on TPMS-Based Transpiration Cooling. In Proceedings of the Volume 13: Heat Transfer: General Interest/Additive Manufacturing Impacts on Heat Transfer, London, UK, 24–28 June 2024; Wind Energy. American Society of Mechanical Engineers: New York, NY, USA, 2024; Volume 13, pp. 1–13. [Google Scholar]
- Nakamata, C.; Mimura, F.; Matsushita, M.; Yamane, T.; Fukuyama, Y.; Yoshida, T. Local Cooling Effectiveness Distribution of an Integrated Impingement and Pin Fin Cooling Configuration. In Proceedings of the Volume 4: Turbo Expo 2007, Parts A and B, Montreal, QC, Canada, 14–17 May 2007; ASMEDC: New York, NY, USA, 2007; Volume 4 PART A, pp. 23–34. [Google Scholar]
- Shaikh, H.I.; Siddapureddy, S.; Prabhu, S.V. Effect of Jet Plate Thickness on the Local Heat Transfer Coefficient with Multiple Air Jet Impingement. Appl. Therm. Eng. 2023, 229, 120517. [Google Scholar] [CrossRef]
- Li, H.; Xie, F.; Wang, Y.; Wang, C.; Yan, Y.; Cui, J. Numerical Investigation on the Cooling Effectiveness and Pressure Loss of a Novel Laminated Cooling Configuration With Cellular Partition. J. Therm. Sci. Eng. Appl. 2023, 15, 011015. [Google Scholar] [CrossRef]
- Celik, I.B.; Ghia, U.; Roache, P.J.; Freitas, C.J.; Coleman, H.; Raad, P.E. Procedure for Estimation and Reporting of Uncertainty Due to Discretization in CFD Applications. ASME J. Fluids Eng. 2008, 130, 078001. [Google Scholar] [CrossRef]
- Jung, E.Y.; Chung, H.; Choi, S.M.; Woo, T.; Cho, H.H. Conjugate Heat Transfer on Full-Coverage Film Cooling with Array Jet Impingements with Various Biot Numbers. Exp. Therm. Fluid Sci. 2017, 83, 1–8. [Google Scholar] [CrossRef]
- Wae-hayee, M.; Yeranee, K.; Piya, I.; Rao, Y.; Nuntadusit, C. Heat Transfer Correlation of Impinging Jet Array from Pipe Nozzle under Fully Developed Flow. Appl. Therm. Eng. 2019, 154, 37–45. [Google Scholar] [CrossRef]



















| Models | Details of the Effusion Cooling | Discharge Area (mm2) | In-Hole Area (mm2) | Porosity (%) |
|---|---|---|---|---|
| Film hole | A single hole with a diameter of 0.9 mm | 1.27 | 5.06 | 4.0 |
| Micro-holes | 13 holes with a diameter of 0.3 mm | 1.86 | 21.8 | 5.67 |
| Diamond | A unit cell size of 0.9 mm, with a length and width of 2.7 and 2.1 mm | 1.59 | 22.4 | 5.43 |
| Studied Cases | Jet Impingement Configurations |
|---|---|
| Imp-Film, Imp-Micro, Imp-Diamond | Dj = 0.9 mm and Hj = 0.9 mm |
| Imp-Film-L, Imp-Micro-L, Imp-Diamond-L | Dj = 1.8 mm and Hj = 0.9 mm |
| Imp-Film-H, Imp-Micro-H, Imp-Diamond-H | Dj = 0.9 mm and Hj = 1.8 mm |
| Models | Area-Averaged η | Improvement (%) |
|---|---|---|
| Film hole | 0.31–0.37 | - |
| Imp-Film | 0.41–0.56 | 30.7–51.0 |
| Imp-Film-L | 0.34–0.44 | 10.0–18.0 |
| Imp-Film-H | 0.42–0.49 | 34.1–50.9 |
| Micro-holes | 0.51–0.64 | 63.4–72.2 |
| Imp-Micro | 0.54–0.70 | 72.3–87.9 |
| Imp-Micro-L | 0.52–0.65 | 64.6–73.1 |
| Imp-Micro-H | 0.54–0.70 | 72.8–86.4 |
| Diamond | 0.54–0.70 | 73.1–87.4 |
| Imp-Diamond | 0.57–0.77 | 80.9–105.2 |
| Imp-Diamond-L | 0.55–0.73 | 76.9–96.8 |
| Imp-Diamond-H | 0.56–0.76 | 79.6–102.8 |
| Models | Area-Averaged η | Improvement (%) |
|---|---|---|
| Film hole | 0.364 | - |
| Imp-Film | 0.529 | 45.1 |
| Imp-Film-L | 0.428 | 17.6 |
| Imp-Film-H | 0.541 | 48.7 |
| Micro-holes | 0.643 | 76.5 |
| Imp-Micro | 0.687 | 88.6 |
| Imp-Micro-L | 0.646 | 77.4 |
| Imp-Micro-H | 0.689 | 89.1 |
| Diamond | 0.692 | 89.9 |
| Imp-Diamond | 0.732 | 100.9 |
| Imp-Diamond-L | 0.714 | 96.0 |
| Imp-Diamond-H | 0.732 | 101.0 |
Disclaimer/Publisher’s Note: The statements, opinions and data contained in all publications are solely those of the individual author(s) and contributor(s) and not of MDPI and/or the editor(s). MDPI and/or the editor(s) disclaim responsibility for any injury to people or property resulting from any ideas, methods, instructions or products referred to in the content. |
© 2025 by the authors. Licensee MDPI, Basel, Switzerland. This article is an open access article distributed under the terms and conditions of the Creative Commons Attribution (CC BY) license (https://creativecommons.org/licenses/by/4.0/).
Share and Cite
Yeranee, K.; Xu, C.; Cheng, Y.; Rao, Y. Conjugate Heat Transfer and Thermal Stress Analysis of a Gas Turbine Double-Wall Cooling System with a Diamond-Type TPMS Effusion. Energies 2025, 18, 6322. https://doi.org/10.3390/en18236322
Yeranee K, Xu C, Cheng Y, Rao Y. Conjugate Heat Transfer and Thermal Stress Analysis of a Gas Turbine Double-Wall Cooling System with a Diamond-Type TPMS Effusion. Energies. 2025; 18(23):6322. https://doi.org/10.3390/en18236322
Chicago/Turabian StyleYeranee, Kirttayoth, Chao Xu, Yuli Cheng, and Yu Rao. 2025. "Conjugate Heat Transfer and Thermal Stress Analysis of a Gas Turbine Double-Wall Cooling System with a Diamond-Type TPMS Effusion" Energies 18, no. 23: 6322. https://doi.org/10.3390/en18236322
APA StyleYeranee, K., Xu, C., Cheng, Y., & Rao, Y. (2025). Conjugate Heat Transfer and Thermal Stress Analysis of a Gas Turbine Double-Wall Cooling System with a Diamond-Type TPMS Effusion. Energies, 18(23), 6322. https://doi.org/10.3390/en18236322

