Analysis of the Profitability of Heating a Retrofitted Building with an Air Heat Pump in Polish Climatic Conditions
Abstract
1. Introduction
2. Materials and Methods
2.1. Factors Influencing the Cost of Heating a Building
- Outdoor temperature (more precisely, the difference between the temperature in the rooms and the outdoor temperature);
- Thermal insulation of the building (or, vice versa, thermal transmittance of external partitions);
- Cost of thermal energy supplied to the building (regardless of the type of source, but taking into account the conversion efficiency);
- Prices of the raw material/energy carrier;
- Efficiency of the heating system.
2.1.1. Outdoor Temperature
- Zone I: −16 °C/7.7 °C;
- Zone II: −18 °C/7.9 °C;
- Zone III: −20 °C/7.6 °C;
- Zone IV: −22 °C/6.9 °C;
- Zone V: −24 °C/5.5 °C.
2.1.2. Thermal Insulation of the Building
2.1.3. Cost of Thermal Energy Delivered to the Building
2.1.4. Price of Energy Carriers
2.1.5. Efficiency of the Heating System
2.2. Model Assumptions
- We did not use the Central Statistical Office data on average square footage and year of construction [46];
- We did not assume an average location (usually Warsaw or central Poland);
- The primary energy indicator concerns the index of non-renewable energy used for heating, ventilation, and DHW;
- The final energy indicator concerns the energy of the demand on the heating and ventilation and DHW.
2.2.1. Building
- EU ≈ 107 kWh/m2/year (usable energy demand indicator);
- EP ≈ 88 kWh/m2/year (non-renewable energy demand indicator).
2.2.2. Central Heating Installation
- 1.
- Constant temperature 40 °C (for heating with oversized radiators);
- 2.
- Constant temperature 30 °C (for surface heating, e.g., underfloor heating);
- 3.
- Variable temperature between 35 °C and 50 °C (for heating with standard radiators, which are slightly oversized due to the thermal retrofitting of the building). The following supply temperatures were assumed, depending on the outdoor temperature (heating curve of the heat pump or gas boiler):
- LWT 35 °C for temperatures 10…20 °C;
- LWT 40 °C for temperatures 0…9 °C;
- LWT 45 °C for temperatures −1…−9 °C;
- LWT 50 °C for temperatures −10…−20 °C.
2.2.3. Climate Data
2.2.4. Cost of Energy Carriers
- Electricity;
- Natural gas.
- G11: The same rate for electricity, regardless of the time of day;
- G12: Cheaper electricity during the day from 1:00 p.m. to 3:00 p.m. and at night from 10:00 p.m. to 6:00 a.m.;
- G12w: Cheaper electricity during the day from 1:00 p.m. to 3:00 p.m., at night from 10:00 p.m. to 6:00 a.m., on weekends, and on public holidays. Note: Despite similarities, there are differences in rates between the G12 and G12w tariffs.
- G13: Morning tariff (average price) from 7:00 to 13:00; afternoon tariff (highest price) in summer from 19:00 to 22:00, in winter from 16:00 to 21:00, other hours (lowest price) in summer from 13:00 to 19:00 and from 22:00 to 7:00, in winter from 13:00 to 16:00 and from 21:00 to 7:00, and on weekends;
- G14 dynamic (appeared from 1 January 2025): Energy prices depend on market prices [55].
- (a)
- Current prices;
- (b)
- Future (forecasted) prices.
- For 14 h, the “peak rate” applies (more expensive);
- For 10 h, the “off-peak tariff” applies (cheaper).
2.3. Algorithm
- (1)
- Separately for the tested supply temperatures LWT;
- (2)
- Separately for the studied energy tariffs.
3. Results
3.1. Calculations for Season I
3.2. Calculations for Season II
- 1.
- The average temperature in the period under review was 6.97 °C;
- 2.
- The demand for heat energy was 16,312 kWh;
- 3.
- The average COP was
- 5.53 for technology LWT30;
- 4.63 for technology LWTZM;
- 4.50 for technology LWT40.
- 4.
- The demand for electricity was
- 3246 kWh for technology LWT30;
- 3950 kWh for technology LWT40;
- 3991 kWh for technology LWTZM.
3.3. Results Summary
4. Discussion
5. Conclusions
Author Contributions
Funding
Institutional Review Board Statement
Informed Consent Statement
Data Availability Statement
Conflicts of Interest
Appendix A
| Outdoor Temp. (°C) | COP (LWT 30 °C) | COP (LWT 35 °C) | COP (LWT 40 °C) | COP (LWT 45 °C) | COP (LWT 50 °C) |
|---|---|---|---|---|---|
| −20 | 2.79 | 2.56 | 2.36 | 2.15 | 1.94 |
| −19 | 2.87 | 2.64 | 2.43 | 2.22 | 2.02 |
| −18 | 2.93 | 2.72 | 2.50 | 2.29 | 2.10 |
| −17 | 3.01 | 2.80 | 2.58 | 2.36 | 2.17 |
| −16 | 3.08 | 2.88 | 2.65 | 2.43 | 2.25 |
| −15 | 3.17 | 2.95 | 2.72 | 2.5 | 2.33 |
| −14 | 3.25 | 3.01 | 2.78 | 2.57 | 2.39 |
| −13 | 3.32 | 3.07 | 2.84 | 2.63 | 2.45 |
| −12 | 3.40 | 3.13 | 2.91 | 2.70 | 2.51 |
| −11 | 3.47 | 3.19 | 2.97 | 2.76 | 2.57 |
| −10 | 3.55 | 3.25 | 3.03 | 2.83 | 2.62 |
| −9 | 3.63 | 3.31 | 3.09 | 2.89 | 2.68 |
| −8 | 3.70 | 3.37 | 3.16 | 2.96 | 2.74 |
| −7 | 3.78 | 3.44 | 3.22 | 3.02 | 2.80 |
| −6 | 3.85 | 3.51 | 3.29 | 3.08 | 2.86 |
| −5 | 3.93 | 3.58 | 3.36 | 3.13 | 2.92 |
| −4 | 4.00 | 3.64 | 3.43 | 3.19 | 2.98 |
| −3 | 4.08 | 3.72 | 3.5 | 3.26 | 3.03 |
| −2 | 4.16 | 3.79 | 3.56 | 3.33 | 3.08 |
| −1 | 4.33 | 3.81 | 3.65 | 3.41 | 3.16 |
| 0 | 4.49 | 3.83 | 3.75 | 3.50 | 3.24 |
| 1 | 4.66 | 3.85 | 3.84 | 3.58 | 3.32 |
| 2 | 4.82 | 3.88 | 3.94 | 3.67 | 3.4 |
| 3 | 4.97 | 4.08 | 4.05 | 3.77 | 3.48 |
| 4 | 5.12 | 4.28 | 4.15 | 3.86 | 3.56 |
| 5 | 5.26 | 4.48 | 4.26 | 3.96 | 3.64 |
| 6 | 5.41 | 4.68 | 4.37 | 4.05 | 3.72 |
| 7 | 5.56 | 4.90 | 4.47 | 4.15 | 3.8 |
| 8 | 5.71 | 5.00 | 4.58 | 4.25 | 3.88 |
| 9 | 5.85 | 5.10 | 4.70 | 4.34 | 3.97 |
| 10 | 6.00 | 5.19 | 4.81 | 4.44 | 4.05 |
| 11 | 6.12 | 5.33 | 4.92 | 4.54 | 4.13 |
| 12 | 6.24 | 5.47 | 5.04 | 4.63 | 4.21 |
| 13 | 6.35 | 5.61 | 5.15 | 4.73 | 4.30 |
| 14 | 6.47 | 5.75 | 5.27 | 4.82 | 4.38 |
| 15 | 6.59 | 5.90 | 5.39 | 4.92 | 4.46 |
| 16 | 6.71 | 6.03 | 5.5 | 5.02 | 4.54 |
| 17 | 6.82 | 6.16 | 5.61 | 5.12 | 4.63 |
| 18 | 6.94 | 6.28 | 5.73 | 5.22 | 4.71 |
| 19 | 7.06 | 6.41 | 5.84 | 5.32 | 4.80 |
| 20 | 7.17 | 6.54 | 5.95 | 5.42 | 4.89 |
Appendix B. Simplified Installation Diagram

circulation pump
power supply from the electricity grid
outdoor temperature sensor
220 L buffer tank
indoor electric heater 9 kW (peak source)
circuit 1 (radiators)
circuit 2 (surface heating)Appendix C. Thermal Demand of the Building for Outdoor Temperatures −20…20 °C
| Outdoor Temperature [°C] | ΔT [°C] | Power [kW] | Heat Consumption [kWh) |
| −20 | 40 | 9.79 | 234.96 |
| −19 | 39 | 9.55 | 229.09 |
| −18 | 38 | 9.30 | 223.21 |
| −17 | 37 | 9.06 | 217.34 |
| −16 | 36 | 8.81 | 211.46 |
| −15 | 35 | 8.57 | 205.59 |
| −14 | 34 | 8.32 | 199.72 |
| −13 | 33 | 8.08 | 193.84 |
| −12 | 32 | 7.83 | 187.97 |
| −11 | 31 | 7.59 | 182.09 |
| −10 | 30 | 7.34 | 176.22 |
| −9 | 29 | 7.10 | 170.35 |
| −8 | 28 | 6.85 | 164.47 |
| −7 | 27 | 6.61 | 158.60 |
| −6 | 26 | 6.36 | 152.72 |
| −5 | 25 | 6.12 | 146.85 |
| −4 | 24 | 5.87 | 140.98 |
| −3 | 23 | 5.63 | 135.10 |
| −2 | 22 | 5.38 | 129.23 |
| −1 | 21 | 5.14 | 123.35 |
| 0 | 20 | 4.90 | 117.48 |
| 1 | 19 | 4.65 | 111.61 |
| 2 | 18 | 4.41 | 105.73 |
| 3 | 17 | 4.16 | 99.86 |
| 4 | 16 | 3.92 | 93.98 |
| 5 | 15 | 3.67 | 88.11 |
| 6 | 14 | 3.43 | 82.24 |
| 7 | 13 | 3.18 | 76.36 |
| 8 | 12 | 2.94 | 70.49 |
| 9 | 11 | 2.69 | 64.61 |
| 10 | 10 | 2.45 | 58.74 |
| 11 | 9 | 2.20 | 52.87 |
| 12 | 8 | 1.96 | 46.99 |
| 13 | 7 | 1.71 | 41.12 |
| 14 | 6 | 1.47 | 35.24 |
| 15 | 5 | 1.22 | 29.37 |
| 16 | 4 | 0.98 | 23.50 |
| 17 | 3 | 0.73 | 17.62 |
| 18 | 2 | 0.49 | 11.75 |
| 19 | 1 | 0.24 | 5.87 |
| 20 | 0 | 0.00 | 0.00 |
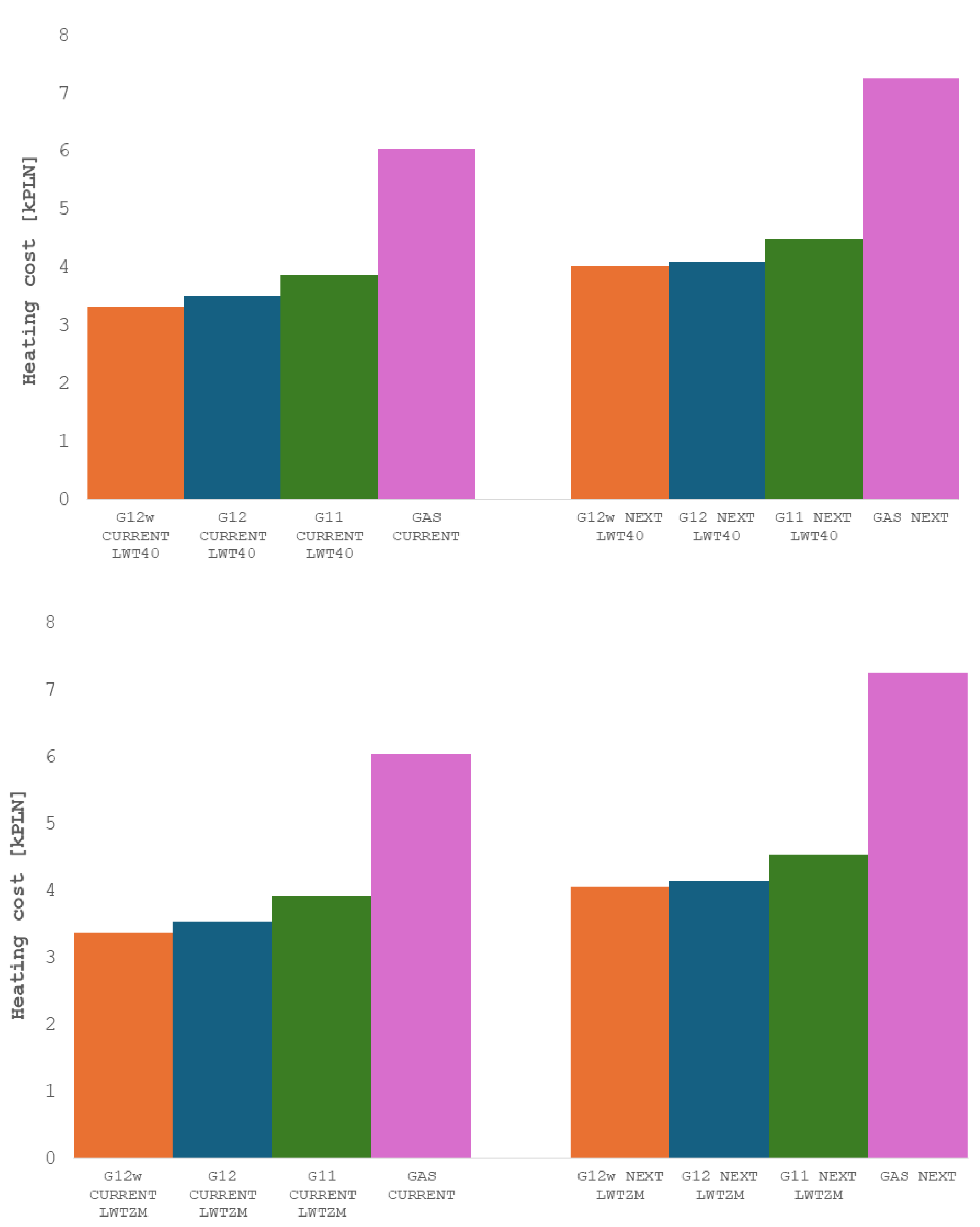
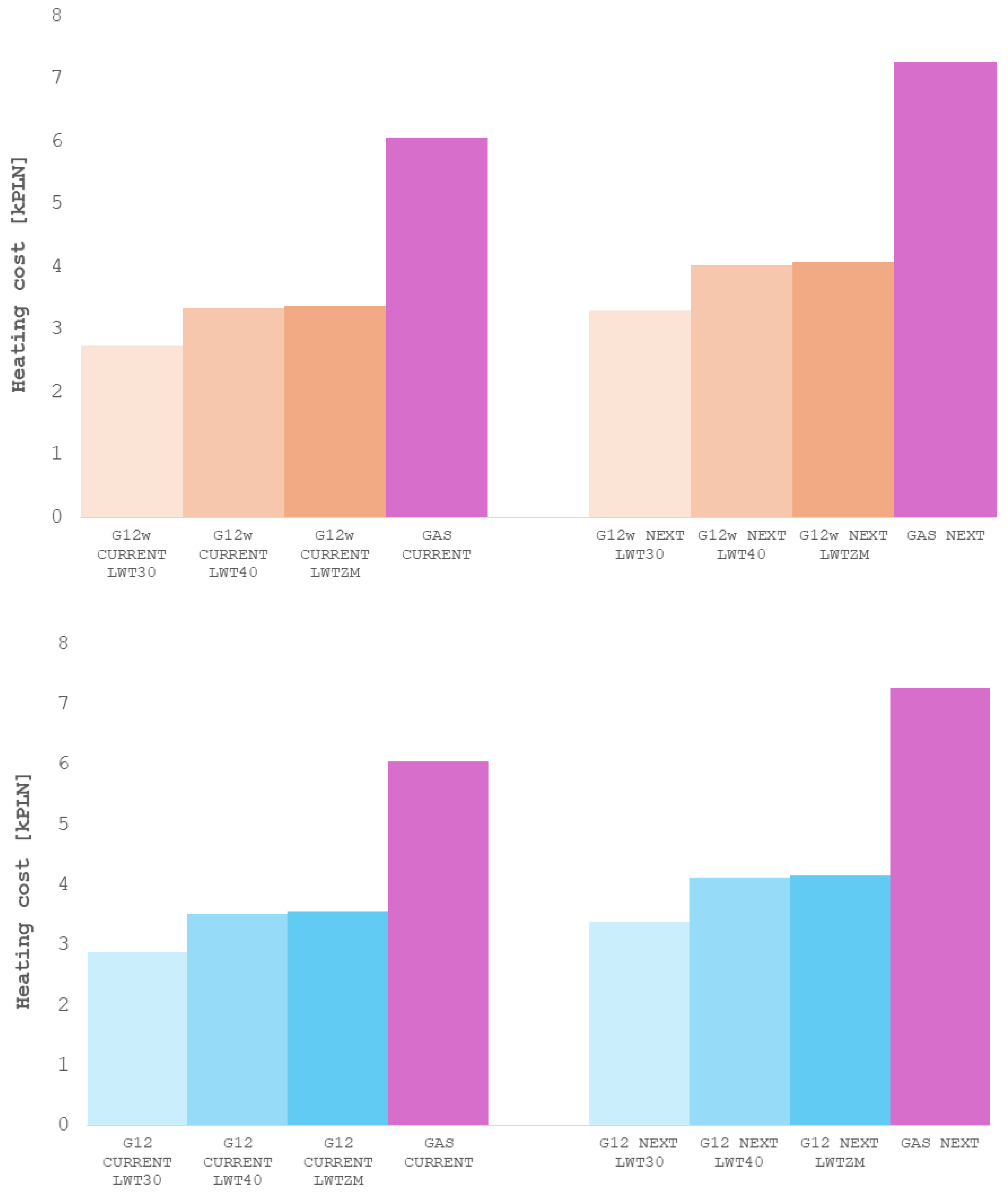
Appendix D. Heating Costs (Ranked in Ascending Order) [PLN Thousand] by Source in the 2022/2023 Season




Appendix E. Heating Costs (Ascending) [PLN Thousand] by Source in the 2023/2024 Season




References
- European Commission. The European Green Deal. Available online: https://commission.europa.eu/strategy-and-policy/priorities-2019-2024/european-green-deal_en (accessed on 3 March 2025).
- Directive 2010/31/EU of the European Parliament and of the Council of 19 May 2010 on the Energy Performance of Buildings (Recast). Available online: https://eur-lex.europa.eu/legal-content/EN/TXT/?uri=CELEX%3A32010L0031 (accessed on 4 March 2025).
- Directive 2009/28/EC of the European Parliament and of the Council of 23 April 2009 on the Promotion of the Use of Energy from Renewable Sources and Amending and Subsequently Repealing Directives 2001/77/EC and 2003/30/EC (Text with EEA relevance). Available online: https://eur-lex.europa.eu/legal-content/EN/TXT/?uri=CELEX%3A32009L0028 (accessed on 4 March 2025).
- Directive (EU) 2023/1791 of the European Parliament and of the Council of 13 September 2023 on Energy Efficiency and Amending Regulation (EU) 2023/955 (Recast) (Text with EEA Relevance). Available online: https://eur-lex.europa.eu/legal-content/EN/ALL/?uri=CELEX%3A32023L1791 (accessed on 3 March 2025).
- Clean Air, Czyste Powietrze. Available online: https://energetycznyprojekt.pl/dotacje-i-ulgi/program-czyste-powietrze-2/?utm_source=google&utm_medium=cpc&utm_campaign=%5BSearch%5D%20-%20Termomodernizacje&gad_source=1&gad_campaignid=21179132783&gbraid=0AAAAABOIBnzc3SEGa2-IXmF-vCwYULtao&gclid=Cj0KCQjwo63HBhCKARIsAHOHV_XG6psAdwdVa9WsP6laeknifubjawzqAQUqpFqA2Coz9xUkEk_XvcQaAvgxEALw_wcB (accessed on 4 March 2025).
- My Heat, Program Dofinansowania Pomp Ciepła. Available online: https://mojecieplo.gov.pl/ (accessed on 7 March 2025).
- Polityka Energetyczna Polski do 2040 r. (PEP2040). Available online: https://www.gov.pl/web/ia/polityka-energetyczna-polski-do-2040-r-pep2040 (accessed on 7 March 2025).
- Krajowy Plan w Dziedzinie Energii i Klimatu. Available online: https://www.gov.pl/web/klimat/krajowy-plan-na-rzecz-energii-i-klimatu (accessed on 14 March 2025).
- ETS—European Union Emissions Trading System. Available online: https://eur-lex.europa.eu/EN/legal-content/summary/eu-emissions-trading-system.html) (accessed on 17 March 2025).
- Zieniewicz, R. Przygotuj się na Gigantyczne Rachunki za Gaz po Wprowadzeniu Opłat za Emisję ETS2. 2025. Available online: https://www.farmer.pl/energia/przygotuj-sie-na-gigantyczne-rachunki-za-gaz-po-wprowadzeniu-oplat-za-emisje-ets2,155415.html (accessed on 17 March 2025).
- Bilal, A.; Känzig, D.R. Does Unilateral Decarbonization Pay For Itself? Working Paper 33364, National Bureau Of Economic Research, Cambridge. 2025. Available online: https://www.nber.org/system/files/working_papers/w33364/w33364.pdf (accessed on 17 March 2025).
- Mišík, M.; Oravcová, V.; Vicenová, R. Energy efficiency of buildings in Central and Eastern Europe: Room for improvement. Energy Effic. 2024, 17, 32. [Google Scholar] [CrossRef]
- Sewastianik, S.; Gajewski, A. Energetic and Ecologic Heat Pumps Evaluation in Poland. Energies 2020, 13, 4980. [Google Scholar] [CrossRef]
- Sewastianik, S.; Gajewski, A. An Environmental Assessment of Heat Pumps in Poland. Energies 2021, 14, 8104. [Google Scholar] [CrossRef]
- Pater, S. Field measurements and energy performance analysis of renewable energy source devices in a heating and cooling system in a residential building in southern Poland. Energy Build. 2019, 199, 115–125. [Google Scholar] [CrossRef]
- Chwieduk, B.; Chwieduk, D. Analysis of operation and energy performance of a heat pump driven by a PV system for space heating of a single family house in polish conditions. Renew. Energy 2021, 165 Pt 2, 117–126. [Google Scholar] [CrossRef]
- Ginda, G.; Iwaszczuk, N.; Dudek, M. Supporting Multi-Attribute, Non-Compensating Selection of the Right Heat Pump Device for a Residential Building, Considering the Limited Availability of the Necessary Resources. Energies 2022, 15, 5478. [Google Scholar] [CrossRef]
- Jędrzejuk, H.; Chwieduk, D. Possibilities of Upgrading Warsaw Existing Residential Area to Status of Positive Energy Districts. Energies 2021, 14, 5984. [Google Scholar] [CrossRef]
- Gradziuk, P.; Siudek, A.; Klepacka, A.M.; Florkowski, W.J.; Trocewicz, A.; Skorokhod, I. Heat Pump Installation in Public Buildings: Savings and Environmental Benefits in Underserved Rural Areas. Energies 2022, 15, 7903. [Google Scholar] [CrossRef]
- Ciuman, P.; Kaczmarczyk, J.; Jastrzębska, M. Simulation Analysis of Heat Pumps Application for the Purposes of the Silesian Botanical Garden Facilities in Poland. Energies 2023, 16, 340. [Google Scholar] [CrossRef]
- Chwieduk, D.; Chwieduk, B. Application of Heat Pumps in New Housing Estates in Cities Suburbs as an Means of Energy Transformation in Poland. Energies 2023, 16, 3495. [Google Scholar] [CrossRef]
- Ołtarzewska, A.; Krawczyk, D.A. Simulation and Performance Analysis of an Air-Source Heat Pump and Photovoltaic Panels Integrated with Service Building in Different Climate Zones of Poland. Energies 2024, 17, 1182. [Google Scholar] [CrossRef]
- Witkowska, A.; Krawczyk, D.A. Analysis of the Advisability of Using an Air-Source Heat Pump in a Single Family House in Poland and Spain. Proceedings 2020, 51, 11. [Google Scholar] [CrossRef]
- Brudermueller, T.; Potthoff, U.; Fleisch, E.; Wortmann, F.; Staake, T. Estimation of energy efficiency of heat pumps in residential buildings using real operation data. Nat. Commun. 2025, 16, 2834. [Google Scholar] [CrossRef]
- Śliwa, T.; Kotyza, J. Application of existing wells as ground heat source for heat pumps in Poland. Appl. Energy 2003, 74, 3–8. [Google Scholar] [CrossRef]
- Kijo-Kleczkowska, A.; Bruś, P.; Więciorkowski, G. Economic analysis of heat pump exploitation—A case study. Energy 2023, 280, 128184. [Google Scholar] [CrossRef]
- Masiukiewicz, M.; Tańczuk, M.; Anweiler, S.; Streckienė, G.; Boldyryev, S.; Chacartegui, R.; Olszewski, E. Performance variability of air-water heat pumps in cold and warm years across European climate zones. Energy 2025, 324, 136001. [Google Scholar] [CrossRef]
- Bayer, D.R.; Pruckner, M. Data-driven heat pump retrofit analysis in residential buildings: Carbon emission reductions and economic viability. Appl. Energy 2024, 373, 123823. [Google Scholar] [CrossRef]
- Khan, S.A.; O‘Hegarty, R.; Finn, D.; Kinnane, O. Environmental footprint analysis of domestic air source heat pumps, Resources. Conserv. Recycl. Adv. 2024, 22, 200217. [Google Scholar] [CrossRef]
- Duniec, G. Pory Roku Okiem Astronoma, Meteorologa i Agrometeorologa. Centrum Modelowania Meteorologicznego. 2024. Available online: https://modele.imgw.pl/?page_id=40550 (accessed on 17 March 2025).
- Narowski, P. Ewolucja Kryteriów Wyboru i Wartości Temperatury Obliczeniowej Powietrza Zewnętrznego dla Ogrzewnictwa w Polsce. Fiz. Budowli W Teor. I Prakt. 2011, VI, 61–67. [Google Scholar]
- Zmiany Klimatu w Polsce Wymagają Zmian w Projektowaniu Systemów Ogrzewania i Klimatyzacji. 2024. Available online: https://dobrymontaz.com/zmiany-klimatu-w-polsce-wymagaja-zmian-w-projektowaniu-systemow-ogrzewania-i-klimatyzacji/ (accessed on 14 March 2025).
- Projekty SKP2000 i TLM2000—Zmiany Klimatu w Polsce Wymagają Zmian w Projektowaniu Systemów HVAC. 2023. Available online: https://portpc.pl/projekty-skp2000-i-tlm2000%E2%88%92zmiany-klimatu-w-polsce-wymagaja-zmian-w-projektowaniu-systemow-hvac/ (accessed on 14 March 2025).
- Bazazzadeh, H.; Pilechiha, P.; Nadolny, A.; Mahdawinejad, M.; Hashemi Safaei, S. The Impact Assessment of Climate Change on Building Energy Consumption in Poland. Energies 2021, 14, 4084. [Google Scholar] [CrossRef]
- Lachman, P.; Djaków, P. Zmiany Klimatu i Ich Wpływ na Projektowanie Instalacji c.o. z Pompami Ciepła w Budynkach, Współczynnik SCOP Pomp Ciepła w Metodologii Wyznaczania Charakterystyki Energetycznej Budynków. PORT PC 2021. Available online: https://portpc.pl/pdf/9kongres/materialy/2021_Poradnik_Zmiany_klimatu.pdf (accessed on 17 March 2025).
- Obwieszczenie Ministra Rozwoju i Technologii z Dnia 15 Kwietnia 2022 r. w Sprawie Ogłoszenia Jednolitego Tekstu Rozporządzenia Ministra Infrastruktury w Sprawie Warunków Technicznych, Jakim Powinny Odpowiadać Budynki i ich Usytuowanie. Available online: https://isap.sejm.gov.pl/isap.nsf/DocDetails.xsp?id=WDU20220001225 (accessed on 14 March 2025).
- Zużycie Energii w Gospodarstwach Domowych w 2021 Roku. GUS. 2023. Available online: https://stat.gov.pl/obszary-tematyczne/srodowisko-energia/energia/zuzycie-energii-w-gospodarstwach-domowych-w-2021-roku,2,5.html (accessed on 17 March 2025).
- Czym Się Ogrzewają Polacy. Najnowsze Dane z Bazy CEEB. Magazyn Ciepła Systemowego, Izba Gospodarcza Ciepłownictwo Polskie. 2023. Available online: https://magazyncieplasystemowego.pl/cieplownictwo/czym-sie-ogrzewaja-polacy-najnowsze-dane-z-bazy-ceeb/ (accessed on 19 March 2025).
- CEEB GUNB. Available online: https://zone.gunb.gov.pl/ (accessed on 14 March 2025).
- Ustawa z Dnia 5 Sierpnia 2022 r. o Dodatku Węglowym, Dz.U. 2022 poz. 1692. Available online: https://isap.sejm.gov.pl/isap.nsf/DocDetails.xsp?id=WDU20220001692 (accessed on 19 March 2025).
- Ustawa o Bonie Energetycznym Oraz o Zmianie Niektórych Ustaw w Celu Ograniczenia cen Energii Elektrycznej, Gazu Ziemnego i Ciepła Systemowego. 2024. Available online: https://orka.sejm.gov.pl/proc10.nsf/ustawy/346_u.htm (accessed on 19 March 2025).
- Wolff, D.; Teuber, P.; Budde, J.; Jagnow, K. Abschlussbericht. 2004. Available online: https://opac.dbu.de/ab/DBU-Abschlussbericht-AZ-14133.pdf (accessed on 19 March 2025).
- PN EN 303-5:2012, Kotły Grzewcze na Paliwa Stałe z Ręcznym i Automatycznym Zasypem Paliwa o Mocy Nominalnej do 300 kW. Terminologia, Wymagania, Badania i Oznakowanie. 2023. Available online: https://kamen.com.pl/blog/norma-pn-en-303-5-co-musisz-wiedziec-o-normie-emisji-i-sprawnosci-dla-domowych-kotlow-na-wegiel/ (accessed on 14 March 2025).
- Foit, M. Kotły Węglowe na 5. Klasa w Teorii i Praktyce. Instal Reporter. 2016. Available online: https://instalreporter.pl/ogolna/kotly-weglowe-na-5-klasa-w-teorii-i-praktyce/ (accessed on 14 March 2025).
- Kwiatkowski, T. Współczynnik Przenikania Ciepła U–Według Norm, Według Obliczeń, Rockwool. Available online: https://www.rockwool.com/pl/inspiracje-baza-wiedzy/baza-wiedzy/efektywnosc-energetyczna/obliczanie-wspolczynnika-przenikania-ciepla/ (accessed on 19 March 2025).
- Dane do Obliczeń Energetycznych Budynków, Ministerstwo Inwestycji i Rozwoju. 2019. Available online: https://www.gov.pl/web/archiwum-inwestycje-rozwoj/dane-do-obliczen-energetycznych-budynkow (accessed on 14 March 2025).
- Statystyczne Dane Klimatyczne dla Obszaru Polski do Obliczeń Energetycznych Budynków, Ministerstwo Rozwoju i Technologii. 2024. Available online: https://dane.gov.pl/pl/dataset/797,typowe-lata-meteorologiczne-i-statystyczne-dane-klimatyczne-dla-obszaru-polski-do-obliczen-energetycznych-budynkow (accessed on 14 March 2025).
- Firląg, S.; Piasecki, M. NZEB Renovation Definition in a Heating Dominated Climate: Case Study of Poland. Appl. Sci. 2018, 8, 1605. [Google Scholar] [CrossRef]
- Ciepło Właściwie. Available online: https://cieplo.app/ (accessed on 4 March 2025).
- Pompy Ciepła dla Zrównoważonej Przyszłości, LG Business Solutions. 2024. Available online: https://www.lg.com/content/dam/channel/wcms/pl/business/download/airsolution/LG_2024_Therma-V-R290-Monobloc_20240321_221354458_.pdf (accessed on 7 March 2025).
- Normy Klimatyczne 1991–2020, Klimat IMGW-PIB. Available online: https://klimat.imgw.pl/pl/climate-normals/TSR_AVE (accessed on 9 March 2025).
- Pogoda i Klimat, Aktualne Dane Pomiarowe. 2025. Available online: https://meteomodel.pl/aktualne-dane-pomiarowe/?rodzaj=da&wmoid=12600 (accessed on 4 March 2025).
- Ceny Gazu w 2025 Roku dla Obiorców w Gospodarstwach Domowych–Taryfa PGNiG OD bez Zmian do Końca Czerwca, Rachunki Wyższe z Nowymi Opłatami Dystrybucyjnymi. PGNiG. 2024. Available online: https://pgnig.pl/aktualnosci/-/news-list/id/ceny-gazu-w-2025-roku-dla-obiorcow-w-gospodarstwach-domowych-taryfa-pgnig-od-bez-zmian-do-konca-czerwca-rachunki-wyzsze-z-nowymi-oplatami-dystrybucyjn/newsGroupId/10184 (accessed on 7 March 2025).
- Jakie Będą Ceny Prądu w 2025 Roku? Available online: https://lepiej.tauron.pl/bezpieczenstwo-i-finanse/jakie-beda-ceny-pradu-w-2025-roku/ (accessed on 9 March 2025).
- RCEm—Rynkowa Miesięczna Cena Energii Elektrycznej. Available online: https://www.pse.pl/oire/rcem-rynkowa-miesieczna-cena-energii-elektrycznej (accessed on 9 March 2025).
- Nowa Energia na Lata. Tauron. 2025. Available online: https://www.tauron.pl/dla-domu/prad/prad-z-usluga/nowa-energia?ef=O&o=9 (accessed on 7 March 2025).
- Nowa Taryfa TAURON Dystrybucji na 2025 rok. Tauron Dystrybucja. 2024. Available online: https://www.tauron-dystrybucja.pl/o-spolce/aktualnosci/2024/12/18 (accessed on 7 March 2025).
- Taryfa PGNiG Obrót Detaliczny sp. z o.o. w Zakresie Obrotu Paliwami Gazowymi nr 15, PGNiG, Grupa Orlen. Warszawa. 2024. Available online: https://pgnig.pl/documents/10184/45904/Taryfa+nr+15+PGNiG+obowi%C4%85zuj%C4%85ca+od+1+lipca+2024.pdf/1b47b2fd-e864-46f8-9358-999433e21f69 (accessed on 7 March 2025).
- Decyzja, Prezes Urzędu Regulacji Energetyki. Warszawa. 2024. Available online: https://pgnig.pl/documents/10184/45904/Taryfa+PSG+nr+13+obowi%C4%85zuj%C4%85ca+od+1+stycznia+2025.pdf/813a6214-4418-4fbf-a05a-bfb5b71fad42 (accessed on 7 March 2025).













| Year of Construction | Primary Energy (kWh/m2a) | Final Energy (kWh/m2a) |
|---|---|---|
| Before 1918 | >350 | >300 |
| 1918–1944 | 300–350 | 260–300 |
| 1945–1970 | 250–300 | 220–260 |
| 1971–1978 | 210–250 | 190–220 |
| 1979–1988 | 160–210 | 140–190 |
| 1989–2002 | 140–180 | 125–160 |
| 2003–2010 | 100–150 | 90–120 |
| Fee Components/Gas Fee | Net Price [PLN/kWh] | Gross Price [PLN/kWh] | Final Price [PLN/kWh] |
|---|---|---|---|
| GAS CURRENT fuel | 0.23965 | 0.29477 | 0.37123 |
| GAS CURRENT distribution | 0.06216 | 0.07646 | |
| GAS CURRENT total | 0.30181 | 0.37123 | |
| GAS NEXT total | 0.44547 | ||
| Fee Components/Electricity Fee in the G11 Tariff | Net Price [PLN/kWh] | Gross Price [PLN/kWh] | Final Price [PLN/kWh] |
|---|---|---|---|
| G11 CURRENT active | 0.50500 | 0.62115 | 0.98117 |
| G11 CURRENT quality | 0.03210 | 0.03948 | |
| G11 CURRENT network | 0.25410 | 0.31254 | |
| G11 CURRENT RES | 0.00350 | 0.00431 | |
| G11 CURRENT cogeneration | 0.00300 | 0.00369 | |
| G11 CURRENT total | 0.79770 | 0.98117 | |
| Forecast | |||
| G11 NEXT active | 0.63200 | 0.77736 | 1.13738 |
| G11 NEXT quality | 0.03210 | 0.03948 | |
| G11 NEXT network | 0.25410 | 0.31254 | |
| G11 NEXT RES | 0.00350 | 0.00431 | |
| G11 NEXT cogeneration | 0.00300 | 0.00369 | |
| G11 NEXT total | 0.92470 | 1.13738 | |
| Fee Components/Electricity Fee in the G12 Tariff | Zone I (Peak) | Zone II (Off-Peak) | Zone Final Price [PLN/kWh] | ||||
|---|---|---|---|---|---|---|---|
| Net Price [PLN/kWh] | Gross Price [PLN/kWh] | Final Price [PLN/kWh] | Net Price [PLN/kWh] | Gross Price [PLN/kWh] | Final Price [PLN/kWh] | ||
| G12 CURRENT active | 0.50500 | 0.62115 | 1.025205 | 0.46700 | 0.57441 | 0.69655 | 14 h peak zone, 10 h off-peak zone |
| G12 CURRENT quality | 0.03210 | 0.03948 | 0.03210 | 0.03948 | |||
| G12 CURRENT network | 0.28990 | 0.35658 | 0.06090 | 0.07491 | |||
| G12 CURRENT RES | 0.00350 | 0.00431 | 0.00330 | 0.00406 | |||
| G12 CURRENT cogeneration | 0.00300 | 0.00369 | 0.00300 | 0.00369 | |||
| G12 CURRENT total | 0.83350 | 1.02521 | 0.56630 | 0.69655 | 0.88827 | ||
| Forecast | |||||||
| G12 NEXT active | 0.71700 | 0.88191 | 1.285965 | 0.46700 | 0.57441 | 0.9655 | 14 h peak zone, 10 h off-peak zone |
| G12 NEXT quality | 0.03210 | 0.03948 | 0.03210 | 0.03948 | |||
| G12 NEXT network | 0.28990 | 0.35658 | 0.06090 | 0.07491 | |||
| G12 NEXT RES | 0.00350 | 0.00431 | 0.00330 | 0.00406 | |||
| G12 NEXT cogeneration | 0.00300 | 0.00369 | 0.00300 | 0.00369 | |||
| G12 NEXT total | 1.04550 | 1.28597 | 0.56630 | 0.69655 | 1.04038 | ||
| Fee Components/Electricity Fee in the G12 Tariff | Zone I (Peak) | Zone II (Off-Peak) | Zone Final Price [PLN/kWh] | ||||
|---|---|---|---|---|---|---|---|
| Net Price [PLN/kWh] | Gross Price [PLN/kWh] | Final Price [PLN/kWh] | Net Price [PLN/kWh] | Gross Price [PLN/kWh] | Final Price [PLN/kWh] | ||
| G12w CURRENT active | 0.50500 | 0.62115 | 1.070961 | 0.46700 | 0.57441 | 0.68560 | 14 h peak zone, 10 h off-peak zone |
| G12w CURRENT quality | 0.03210 | 0.03948 | 0.03210 | 0.03948 | |||
| G12w CURRENT network | 0.32710 | 0.40233 | 0.05180 | 0.06371 | |||
| G12w CURRENT RES | 0.00350 | 0.00431 | 0.00350 | 0.00431 | |||
| G12w CURRENT cogeneration | 0.00300 | 0.00369 | 0.00300 | 0.00369 | |||
| G12w CURRENT total | 0.87070 | 1.07096 | 0.55740 | 0.68560 | 0.91039 | ||
| Forecast | |||||||
| G12w NEXT active | 0.84900 | 1.04427 | 1.494081 | 0.46700 | 0.57441 | 0.68560 | 14 h peak zone, 10 h off-peak zone |
| G12w NEXT quality | 0.03210 | 0.03948 | 0.03210 | 0.03948 | |||
| G12w NEXT network | 0.32710 | 0.40233 | 0.05180 | 0.06371 | |||
| G12w NEXT RES | 0.00350 | 0.00431 | 0.00350 | 0.00431 | |||
| G12w NEXT cogeneration | 0.00300 | 0.00369 | 0.00300 | 0.00369 | |||
| G12w NEXT total | 1.21470 | 1.49408 | 0.55740 | 0.68560 | 1.15721 | ||
| Tariff | G12w CURRENT LWT30 | G12 CURRENT LWT30 | G11 CURRENT LWT30 | GAS CURRENT |
| Price [PLN] | 3191 | 3368 | 3721 | 6856 |
| Tariff | G12w CURRENT LWT40 | G12 CURRENT LWT40 | G11 CURRENT LWT40 | GAS CURRENT |
| Price [PLN] | 3864 | 4077 | 4504 | 6856 |
| Tariff | G12w CURRENT LWTZM | G12 CURRENT LWTZM | G11 CURRENT LWTZM | GAS CURRENT |
| Price [PLN] | 3925 | 4142 | 4576 | 6856 |
| Tariff | G12w NEXT LWT30 | G12 NEXT LWT30 | G11 NEXT LWT30 | GAS NEXT |
| Price [PLN] | 3841 | 3945 | 4313 | 8227 |
| Tariff | G12w NEXT LWT40 | G12 NEXT LWT40 | G11 NEXT LWT40 | GAS NEXT |
| Price [PLN] | 4650 | 4776 | 5221 | 8227 |
| Tariff | G12w NEXT LWTZM | G12 NEXT LWTZM | G11 NEXT LWTZM | GAS NEXT |
| Price [PLN] | 4724 | 4852 | 5304 | 8227 |
| Tariff | G12w CURRENT LWT30 | G12 CURRENT LWT30 | G11 CURRENT LWT30 | GAS CURRENT |
| Price [PLN] | 2741 | 2884 | 3186 | 6055 |
| Tariff | G12w CURRENT LWT40 | G12 CURRENT LWT40 | G11 CURRENT LWT40 | GAS CURRENT |
| Price [PLN] | 3336 | 3510 | 3877 | 6055 |
| Tariff | G12w CURRENT LWTZM | G12 CURRENT LWTZM | G11 CURRENT LWTZM | GAS CURRENT |
| Price [PLN] | 3372 | 3546 | 3917 | 6055 |
| Tariff | G12w NEXT LWT30 | G12 NEXT LWT30 | G11 NEXT LWT30 | GAS NEXT |
| Price [PLN] | 3307 | 33,775 | 3693 | 7267 |
| Tariff | G12w NEXT LWT40 | G12 NEXT LWT40 | G11 NEXT LWT40 | GAS NEXT |
| Price [PLN] | 4024 | 4110 | 4494 | 7267 |
| Tariff | G12w NEXT LWTZM | G12 NEXT LWTZM | G11 NEXT LWTZM | GAS NEXT |
| Price [PLN] | 4069 | 4152 | 4540 | 7267 |
| Cost difference between seasons for different tariffs | G12w CURRENT LWT30 | G12 CURRENT LWT30 | G11 CURRENT LWT30 | GAS CURRENT |
| amount difference | 450 PLN | 484 PLN | 535 PLN | 800 PLN |
| percentage difference | 14.11% | 14.38% | 14.38% | 11.67% |
| Cost difference between seasons for different tariffs | G12w CURRENT LWT40 | G12 CURRENT LWT40 | G11 CURRENT LWT40 | |
| amount difference | 528 PLN | 568 PLN | 627 PLN | |
| percentage difference | 13.65% | 13.92% | 13.92% | |
| Cost difference between seasons for different tariffs | G12w CURRENT LWTZM | G12 CURRENT LWTZM | G11 CURRENT LWTZM | |
| amount difference | 553 PLN | 596 PLN | 659 PLN | |
| percentage difference | 14.09% | 14.40% | 14.40% |
| Cost difference between seasons for different tariffs | G12w NEXT LWT30 | G12 NEXT LWT30 | G11 NEXT LWT30 | GAS NEXT |
| amount difference | 534 PLN | 568 PLN | 620 PLN | 960 PLN |
| percentage difference | 13.91% | 14.40% | 14.38% | 11.67% |
| Cost difference between seasons for different tariffs | G12w NEXT LWT40 | G12 NEXT LWT40 | G11 NEXT LWT40 | |
| amount difference | 626 PLN | 666 PLN | 727 PLN | |
| percentage difference | 13.46% | 13.94% | 13.92% | |
| Cost difference between seasons for different tariffs | G12w NEXT LWTZM | G12 NEXT LWTZM | G11 NEXT LWTZM | |
| amount difference | 655 PLN | 699 PLN | 764 PLN | |
| percentage difference | 13.86% | 14.42% | 14.40% |
Disclaimer/Publisher’s Note: The statements, opinions and data contained in all publications are solely those of the individual author(s) and contributor(s) and not of MDPI and/or the editor(s). MDPI and/or the editor(s) disclaim responsibility for any injury to people or property resulting from any ideas, methods, instructions or products referred to in the content. |
© 2025 by the authors. Licensee MDPI, Basel, Switzerland. This article is an open access article distributed under the terms and conditions of the Creative Commons Attribution (CC BY) license (https://creativecommons.org/licenses/by/4.0/).
Share and Cite
Iwaszczuk, A.; Baran, J.; Iwaszczuk, N. Analysis of the Profitability of Heating a Retrofitted Building with an Air Heat Pump in Polish Climatic Conditions. Energies 2025, 18, 5413. https://doi.org/10.3390/en18205413
Iwaszczuk A, Baran J, Iwaszczuk N. Analysis of the Profitability of Heating a Retrofitted Building with an Air Heat Pump in Polish Climatic Conditions. Energies. 2025; 18(20):5413. https://doi.org/10.3390/en18205413
Chicago/Turabian StyleIwaszczuk, Aleksander, Jarosław Baran, and Natalia Iwaszczuk. 2025. "Analysis of the Profitability of Heating a Retrofitted Building with an Air Heat Pump in Polish Climatic Conditions" Energies 18, no. 20: 5413. https://doi.org/10.3390/en18205413
APA StyleIwaszczuk, A., Baran, J., & Iwaszczuk, N. (2025). Analysis of the Profitability of Heating a Retrofitted Building with an Air Heat Pump in Polish Climatic Conditions. Energies, 18(20), 5413. https://doi.org/10.3390/en18205413

