Emission Characteristics During the Co-Firing of Fine Coal and Refuse-Derived Fuel from Municipal Waste
Abstract
1. Introduction
2. Materials and Methods
3. Results and Discussion
3.1. Physicochemical Parameter Determination
3.2. Characteristics of Solid Components in the Residual Waste
3.3. Emission Characteristics During the Combustion of the Tested Samples
3.4. Spectrographic Analysis of Dust
4. Conclusions and Future Directions
Author Contributions
Funding
Data Availability Statement
Conflicts of Interest
References
- Lyons, T.; Reinhard, C.; Planavsky, N. The rise of oxygen in Earth’s early ocean and atmosphere. Nature 2014, 506, 307–315. [Google Scholar] [CrossRef]
- Fosco, D.; De Molfetta, M.; Renzulli, P.; Notarnicola, B. Progress in monitoring methane emissions from landfills using drones: An overview of the last ten years. Sci. Total Environ. 2024, 945, 173981. [Google Scholar] [CrossRef]
- United Nations Environment Programme. Global Waste Management Outlook: Beyond an Age of Waste: Turning Rubbish into a Resource; United Nations Environment Programme: Nairobi, Kenya, 2024; COI: 20.500.12592/m905whx; Available online: https://www.unep.org/resources/global-waste-management-outlook-2024 (accessed on 30 June 2025) (accessed on 30 June 2025).
- Christensen, T.H.; Damgaard, A.; Bruun, H.H.; Jensen, L.S.; Jørgensen, P.; Gregersen, K.; Knox, K. Environmental assessment of solid waste management systems: A review. Waste Manag. 2009, 29, 2201–2219. [Google Scholar]
- United Nations Environment Programme. Global Waste Management Outlook 2024. Nairobi. Available online: https://wedocs.unep.org/bitstream/handle/20.500.11822/44939/global_waste_management_outlook_2024.pdf?sequence=3 (accessed on 30 June 2025).
- Huang, Y.; Zhang, Z.; Zhang, Y.; Wang, Z. Perceptional differences in the factors of local acceptance of waste incineration plant. Front. Psychol. 2022, 13, 1067886. [Google Scholar] [CrossRef] [PubMed]
- Triassi, M.; De Simone, B.; Montuori, P.; Russo, I.; De Rosa, E.; Di Duca, F.; Crivaro, C.; Cerullo, V.; Pontillo, P.; Díez, S. Determination of Residual Municipal Solid Waste Composition from Rural and Urban Areas: A Step toward the Optimization of a Waste Management System for Efficient Material Recovery. Sustainability 2023, 15, 13378. [Google Scholar] [CrossRef]
- Meng-Chuen, C.; Bodirsky, B.; Krueger, T.; Mishra, A.; Popp, A. The world’s growing municipal solid waste: Trends and impacts. Environ. Res. Lett. 2020, 15, 074021. [Google Scholar] [CrossRef]
- Czajczyńska, D.; Krzyżyńska, R.; Kulczycka, J.; Lewicka, E.; Mioduski, J.; Pokój, T. The characteristics of municipal solid waste in Poland and the possibilities of its energy recovery. Renew. Sustain. Energy Rev. 2017, 77, 896–906. [Google Scholar]
- Matli, C.; Challa, B.; Kadaverugu, R. Co-firing municipal solid waste with coal—A case study of Warangal City, India. Nat. Environ. Pollut. Technol. 2019, 18, 237–245. [Google Scholar]
- Surroop, D.; Juggurnath, A. Investigating the energy potential from co-firing coal with municipal solid waste. Univ. Maurit. Res. J. 2011, 17, 109–123. [Google Scholar] [CrossRef]
- Szykowska, K.; Walewska, A. The potential and prospects for the development of alternative fuel production. Contemp. Environ. Prot. Energy Probl. 2021, 177. Available online: https://scholar.googleusercontent.com/scholar?q=cache:or2RtWR7aAQJ:scholar.google.com/&hl=pl&as_sdt=0,5 (accessed on 30 June 2025).
- PN-G-97002:2018-11; Hard Coal—Classification—Types. WUG: Katowice, Poland, 2018.
- PN-ISO 589:2006; Hard coal—Determination of Total Moisture. WUG: Katowice, Poland, 2006.
- PN-ISO 1928:2020-05; Solid fuels—Determination of the Heat of Combustion by the Method of Combustion in a Calorimetric Bomb and Calculation of the Calorific Value. ISO: Geneva, Switzerland, 2020.
- PN-G-04584:2001; Solid fuels—Determination of Total Sulfur and Ash Content Using Automatic Analyzers. ISO: Geneva, Switzerland, 2001.
- PN-G-04571:1998; Solid fuels—Determination of Carbon, Hydrogen and Nitrogen Content Using Automatic Analyzers—Macro Method. ISO: Geneva, Switzerland, 1998.
- PN-ISO 587:2000; Solid Fuels—Determination of Chlorine Content Using Eschka’s Mixture. ISO: Geneva, Switzerland, 2000.
- PN-ISO 15237:2007; Solid fuels—Determination of Total Mercury in Coal. ISO: Geneva, Switzerland, 2007.
- ISO 21644:2021-07; Solid Recovered Fuels—Methods for Determining Biomass Content. ISO: Geneva, Switzerland, 2021.
- Jelonek, I.; Jelonek, Z. Atlas: Microscopic Images of Solid Components Found in Pellet and Briquette Fuels Produced from Biomass; Ridero: Kraków, Poland, 2020; ISBN 978-83-8221-585-4. [Google Scholar]
- Jelonek, I.; Jelonek, Z. Photo Catalog for the Identification of Solid Contaminants in Charcoal and Charcoal Briquettes Using Optical Microscopy; Ridero: Kraków, Poland, 2019; ISBN 978-83-8155-888-4. [Google Scholar]
- Rompalski, P.; Guzy-Proc, J. Stand for optimizing combustion process of solid fuels (biofuel, solid recovered fuel, energy mixtures, solid fuel granulates, coals). In Przegląd Górniczy; Stowarzyszenie Inżynierów i Techników Górnictwa ul.: Powstańców, oland, 2025; pp. 193–198. [Google Scholar]
- PN-EN ISO 21640:2021-10; Solid Secondary Fuels—Specifications and Classes. ISO: Geneva, Switzerland, 2021.
- Kurose, R.; Ikeda, M.; Makino, H. Combustion characteristics of high ash coal in a pulverized coal combustion. Fuel 2001, 80, 1447–1455. [Google Scholar] [CrossRef]
- VARIO Luxx MRU. Available online: https://www.mru.eu/en/products/detail/varioluxx/ (accessed on 27 August 2025).
- Testo 330. Available online: https://www.testo.com/pl-PL/analizator-spalin-testo-330-2/p/0563-3372-75 (accessed on 27 August 2025).
- Liang, W.; Ning, X.; Zhang, J.; Li, Y.; Niu, L.; Jiang, C.; Wang, G. Effect of Ash on Coal Combustion Performance and Kinetics Analysis. Combust. Sci. Technol. 2020, 194, 785–800. [Google Scholar] [CrossRef]
- Yuan, L.; Yu, L.; Shi’en, H.; Yun, L.; Yanqing, N. Co-firing biomass with coal on ash deposition behavior at various temperatures in a Down-Fired furnace. Fuel 2024, 364, 131049. [Google Scholar] [CrossRef]
- Hariana, H.; Prabowo; Edi, H.; Fairuz, K.; Arif, D.; Muhammad, A. A comprehensive evaluation of cofiring biomass with coal and slagging-fouling tendency in pulverized coal fired boilers. Ain Shams Eng. J. 2023, 14, 102001. [Google Scholar] [CrossRef]
- Kokowska-Pawłowska, M. Variability of sulfur content and sulfide mineralization of coal petrographic components in selected coal seams Poruba (620) and Zaleskie beds (405). Czas. Syst. Wspomagania W Inżynierii Prod. 2017, 6, 101–110. Available online: https://yadda.icm.edu.pl/baztech/element/bwmeta1.element.baztech-eca99482-0b6d-4e48-b5e2-d1ed65685df3 (accessed on 30 June 2025).
- Maulidayanti, E.M.; Yuliani, M.; Robbani, M.H.; Wiharja, W.; Hambali, E.; Setyaningsih, D. Evaluasi Produksi Refuse-Derived Fuel (RDF) dari Sampah Perkotaan (Studi Kasus: RDF Plant di Kabupaten Cilacap). J. Teknol. Lingkung. 2024, 25, 179–189. [Google Scholar] [CrossRef]
- Sharma, U.; Sharma, D.; Kumar, A.; Bansal, T.; Agarwal, A.; Kumar, S.; Hussian, A.; Kamyab, H.; Haq, M. Utilization of refuse-derived fuel in industrial applications: Insights from Uttar Pradesh, India. Heliyon 2025, 11, e41336. [Google Scholar] [CrossRef]
- Demirbas, A. Effects of Moisture and Hydrogen Content on the Heating Value of Fuels. Energy Sources Part A Recovery Util. Environ. Eff. 2007, 29, 649–655. [Google Scholar] [CrossRef]
- Yijing, L.; Hua, Z.; Liming, S.; Pinjing, H. Occurrence of chlorine in municipal solid waste and its thermal transformation. CIESC J. 2021, 72, 4900–4909. [Google Scholar] [CrossRef]
- Ma, Y.; Rotter, S. Overview on the Chlorine Origin of MSW and Cl-Originated Corrosion During MSW & RDF Combustion Process. In Proceedings of the 2nd International Conference on Bioinformatics and Biomedical Engineering, Shanghai, China, 16–18 May 2008; pp. 4255–4258. [Google Scholar] [CrossRef]
- Liu, C.; Yue, C.; Ma, Y. Pollutant Emissions and Heavy Metal Migration in Co-Combustion of Sewage Sludge and Coal. Energies 2024, 17, 2457. [Google Scholar] [CrossRef]
- Bisinella, V.; Götze, R.; Conradsen, K.; Damgaard, A.; Christensen, T.H.; Astrup, T.F. Importance of waste composition for Life Cycle Assessment of waste management solutions. J. Clean. Prod. 2017, 164, 1180–1191. [Google Scholar] [CrossRef]
- Lei, M.; Han, H.; Tian, X.; Zhang, L.; Zhang, Q. Analysis and prediction of combustion characteristics of co-combustion of coal and biomass (straw, sludge and herb residue). J. Therm. Anal. Calorim. 2025, 150, 1741–1755. [Google Scholar] [CrossRef]
- Tchapda, A.H.; Pisupati, S.V. A Review of Thermal Co-Conversion of Coal and Biomass/Waste. Energies 2014, 7, 1098–1148. [Google Scholar] [CrossRef]
- Cieślik, E.M.; Konieczny, T. Emissions from CO-Combustion of Coal and Municipal Solid Waste in domestic Central Heating Boiler. Inżynieria Ekol. Ecol. Eng. 2017, 18, 9–13. [Google Scholar] [CrossRef]
- Abu-Elyazeed, O.S.M.; Nofal, M.; Ibrahim, K.; Yang, J. Co-combustion of RDF and biomass mixture with bituminous coal: A case study of clinker production plant in Egypt. Waste Dispos. Sustain. Energy 2021, 3, 257–266. [Google Scholar] [CrossRef]
- PN-EN 303-5+A1:2023-05; Heating Boilers—Part 5: Heating Boilers Fired with Solid Fuels, with Manual and Automatic Fuel Charging, with a Nominal Output up to 500 kW—Terminology, Requirements, Testing and Marking. iTeh: San Francisco, CA, USA, 2023.
- Dula, M.; Kraszkiewicz, A. Theory and Practice of Burning Solid Biofuels in Low-Power Heating Devices. Energies 2025, 18, 182. [Google Scholar] [CrossRef]
- Flatabø, G.; Cornelissen, G.; Carlsson, P.; Nilsen, P.; Tapasvi, D.; Bergland, W.; Sørmo, E. Industrially relevant pyrolysis of diverse contaminated organic wastes: Gas compositions and emissions to air. J. Clean. Prod. 2023, 423, 138777. [Google Scholar] [CrossRef]
- Morin, B.; Allen, G.; Marin, A.; Rector, L.; Ahmadi, M. Impacts of wood species and moisture content on emissions from residential wood heaters. J. Air Waste Manag. Assoc. 2022, 72, 647–661. [Google Scholar] [CrossRef] [PubMed]
- Directive 2010/75/EU of the European Parliament and of the Council of 24 November 2010 on Industrial Emissions (Integrated Pollution Prevention and Control). Available online: https://eur-lex.europa.eu/legal-content/EN/TXT/?uri=CELEX:32010L0075 (accessed on 30 June 2025).
- Lyu, Q.; Xin, F. Przegląd kontroli rtęci podczas współspalania węgla i biomasy w atmosferzeO2/CO2. Nauk. Stosow. 2024, 14, 4209. [Google Scholar] [CrossRef]
- Liu, Q.; Gao, J.; Li, G.; Zheng, Y.; Li, R.; Yue, T. Bibliometric analysis on mercury emissions from coal-fired power plants: A systematic review and future prospect. Environ. Sci. Pollut. Res. 2024, 31, 19148–19165. [Google Scholar] [CrossRef]
- Singh, S.; Dhyani, S.; Pujari, P.R. Coal-Fired Thermal Power Plants and Mercury Risks: Status and Impacts to Realize Minamata Convention Promises. Anthr. Sci. 2022, 1, 419–427. [Google Scholar] [CrossRef]
- Zhang, L.; Wang, S.; Wu, Q.; Wang, F.; Lin, C.-J.; Zhang, L.; Hui, M.; Yang, M.; Su, H.; Hao, J. Mercury transformation and speciation in flue gases from anthropogenic emission sources: A critical review. Atmos. Chem. Phys. 2016, 16, 2417–2433. [Google Scholar] [CrossRef]
- Finkelman, R. Potential health impacts of burning coal beds and waste banks. Int. J. Coal Geol. 2004, 59, 19–24. [Google Scholar] [CrossRef]
- Nakamura, K.; Kinoshita, S.; Takatsuki, H. The origin and behavior of lead, cadmium and antimony in MSW incinerator. Waste Manag. 1996, 16, 509–517. [Google Scholar] [CrossRef]
- Long, Y.; Shen, D.; Wang, H.; Lu, W.; Zhao, Y. Heavy metal source analysis in municipal solid waste (MSW): Case study on Cu and Zn. J. Hazard. Mater. 2011, 186, 1082–1087. [Google Scholar] [CrossRef] [PubMed]




Sample No. | A | ||||||||||||
| Total Humidity | Ash | Sulphur | Volatile Matter | Combustion Heat | Calorific Value | Vitrinite Reflectance | Caking Power | Total Carbon | Total Hydrogen | Nitrogen | Chlorine | Mercury | |
| % | % | % | % | kJ/kg | kJ/kg | % | (RI) | % | % | % | % | ppm | |
| 1 | 6.84 | 15.97 | 1.15 | 31.72 | 24,914 | 23,589 | 0.62 | 17 | 63.48 | 3.68 | 1.08 | 0.602 | 0.10 |
| 7 | 15.16 | 14.15 | 0.19 | 0 | 22,896 | 18,549 | - | - | 54.13 | 6.41 | 1.60 | 1.629 | 0.01 |
Sample No. | B | ||||||||||||
| Total Humidity | Ash | Sulphur | Volatile Matter | Combustion Heat | Calorific Value | Vitrinite Reflectance | Caking Power | Total Carbon | Total Hydrogen | Nitrogen | Chlorine | Mercury | |
| % | % | % | % | kJ/kg | kJ/kg | % | (RI) | % | % | % | % | ppm | |
| 2 | 15.07 | 13.50 | 0.35 | - | 23,375 | 18,682 | - | - | 56.34 | 5.61 | 1.32 | 1.085 | 0.07 |
| 3 | 14.88 | 14.28 | 0.54 | - | 23,928 | 20,030 | - | - | 56.91 | 5.04 | 1.30 | 0.664 | 0.09 |
| 4 | 14.24 | 14.67 | 0.57 | - | 24,280 | 19,640 | - | - | 57.83 | 4.95 | 1.47 | 0.526 | 0.14 |
| 5 | 14.04 | 15.35 | 0.79 | - | 23,573 | 19,144 | - | - | 58.63 | 4.63 | 1.43 | 0.645 | 0.09 |
| 6 | 12.10 | 14.22 | 0.79 | - | 24,764 | 20,890 | - | - | 62.88 | 4.56 | 1.22 | 0.606 | 0.1 |
| Analytical Method | Component | % |
|---|---|---|
Petrographic analysis | Organic matter (woody biomass, non-woody biomass, cellulose, bark, charcoal, biocoal, animal-based biomass) | 56 |
| Inorganic matter (sand, quartz, stone dust, ceramics, glass, metal, rust, ash, slag) | 12 | |
| Petroleum products (plastics, rubber, paint, grease, glue, polymer resin, tar) | 32 | |
| Total: | 100 | |
ISO 21644:2021-07 | Organic matter | 55.2 |
| Inorganic matter | 44.8 | |
| Total: | 100 | |
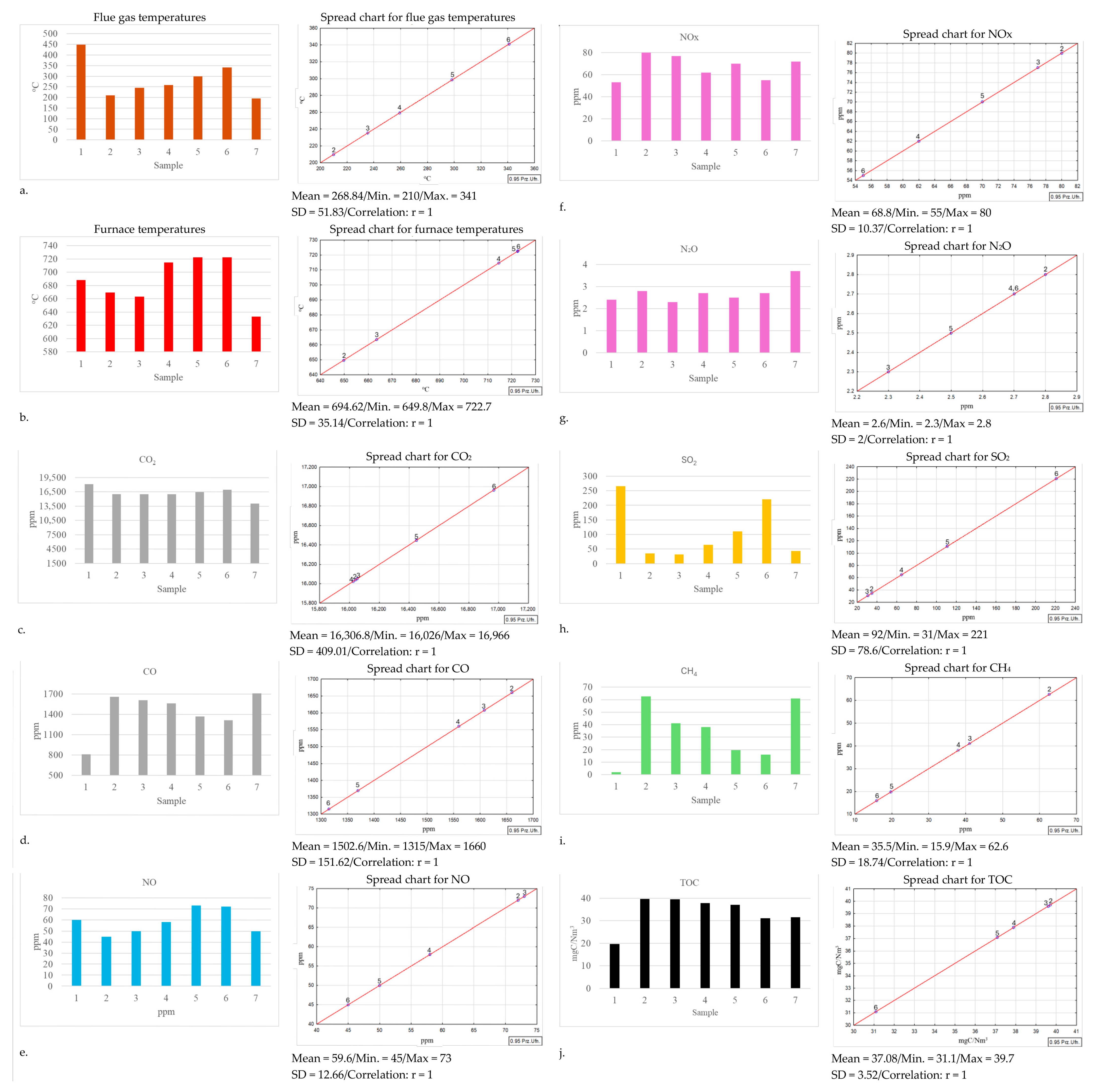
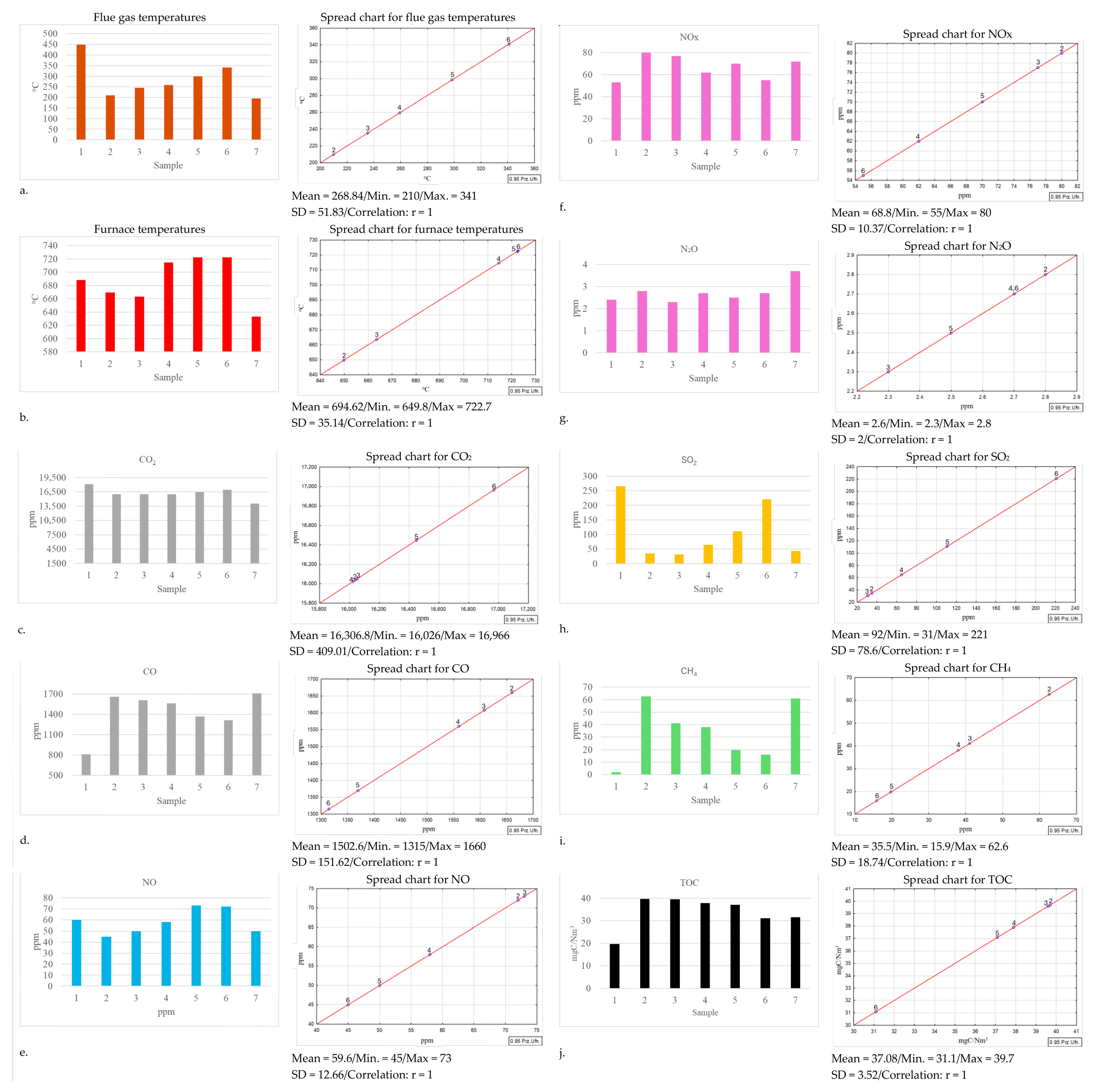
| Parameter | Flue Gas Temp. | Furnace Temp. | Air Flow | Power | O2 | CO2 | CO2 | CO | NO | NOx | N2O | SO2 | NH3 | CH4 | HCOH | TOC | |
|---|---|---|---|---|---|---|---|---|---|---|---|---|---|---|---|---|---|
| Fuel C/R | Sample No. | (°C) | (°C) | (m3/min) | kW | % | % | ppm | ppm | ppm | ppm | ppm | ppm | ppm | ppm | ppm | mgC/Nm3 |
| 100% C | 1 | 448 | 698 | 0.8 | 25 | 16.0 | 4.9 | 18,134 | 811 | 50 | 53 | 2.4 | 266 | 0 | 1.9 | 0.02 | 19.74 |
| 20% C 80% R | 2 | 210 | 649.8 | 0.8 | 13 | 16.3 | 4.6 | 16,041 | 1660 | 72 | 80 | 2.8 | 35 | 0 | 62.6 | 0.06 | 39.7 |
| 40% C 60% R | 3 | 235.5 | 663.5 | 0.8 | 15 | 16.2 | 4.7 | 16,052 | 1608 | 73 | 77 | 2.3 | 31 | 0 | 41.1 | 0.06 | 39.6 |
| 50% C 50% R | 4 | 259.3 | 714.7 | 0.8 | 16 | 16.2 | 4.6 | 16,026 | 1560 | 58 | 62 | 2.7 | 65 | 0 | 38 | 0.04 | 37.9 |
| 60% C 40% R | 5 | 298.4 | 722.4 | 0.8 | 18 | 16.4 | 4.4 | 16,449 | 1370 | 50 | 70 | 2.5 | 111 | 0 | 19.7 | 0.02 | 37.1 |
| 80% C 20% R | 6 | 341 | 722.7 | 0.8 | 20 | 15.8 | 5.1 | 16,966 | 1315 | 45 | 55 | 2.7 | 221 | 0 | 15.9 | 0.02 | 31.1 |
| 100% R | 7 | 196 | 623.2 | 0.8 | 13 | 16.6 | 4.3 | 14,040 | 1708 | 60 | 72 | 3.7 | 43 | 0.09 | 65.9 | 0.06 | 31.5 |
| As | Cd | Co | Cr | Cu | Mn | Mo | Ni | Hg | Pb | ||
|---|---|---|---|---|---|---|---|---|---|---|---|
| Fuel | Sample No. | ppm | ppm | ppm | ppm | ppm | ppm | ppm | ppm | ppm | ppm |
| 100% C | 1 | <4 | 0 | 29 | <5 | 15 | 180 | 410 | <10 | 0 | 12 |
| 20% C 80% R | 2 | <4 | 0.4 | 24 | <4 | 22 | 480 | 980 | <9 | 0 | 8 |
| 40% C 60% R | 3 | <4 | 0.3 | 25 | <4 | 22 | 397 | 920 | <9 | 0 | 10 |
| 50% C 50% R | 4 | <5 | 0.3 | 29 | <4 | 18 | 395 | 860 | <9 | 0 | 12 |
| 60% C 40% R | 5 | <5 | 0 | 28 | <4 | 18 | 390 | 860 | <8 | 0 | 12 |
| 80% C 20% R | 6 | <5 | 0 | 29 | <6 | 18 | 389 | 810 | <8 | 0 | 16 |
| 100% R | 7 | <6 | 0.6 | 27 | <4 | 20 | 419 | 910 | <8 | 0 | 8 |
Disclaimer/Publisher’s Note: The statements, opinions and data contained in all publications are solely those of the individual author(s) and contributor(s) and not of MDPI and/or the editor(s). MDPI and/or the editor(s) disclaim responsibility for any injury to people or property resulting from any ideas, methods, instructions or products referred to in the content. |
© 2025 by the authors. Licensee MDPI, Basel, Switzerland. This article is an open access article distributed under the terms and conditions of the Creative Commons Attribution (CC BY) license (https://creativecommons.org/licenses/by/4.0/).
Share and Cite
Jelonek, Z.; Rompalski, P. Emission Characteristics During the Co-Firing of Fine Coal and Refuse-Derived Fuel from Municipal Waste. Energies 2025, 18, 5414. https://doi.org/10.3390/en18205414
Jelonek Z, Rompalski P. Emission Characteristics During the Co-Firing of Fine Coal and Refuse-Derived Fuel from Municipal Waste. Energies. 2025; 18(20):5414. https://doi.org/10.3390/en18205414
Chicago/Turabian StyleJelonek, Zbigniew, and Przemysław Rompalski. 2025. "Emission Characteristics During the Co-Firing of Fine Coal and Refuse-Derived Fuel from Municipal Waste" Energies 18, no. 20: 5414. https://doi.org/10.3390/en18205414
APA StyleJelonek, Z., & Rompalski, P. (2025). Emission Characteristics During the Co-Firing of Fine Coal and Refuse-Derived Fuel from Municipal Waste. Energies, 18(20), 5414. https://doi.org/10.3390/en18205414
