Modelling, Simulation and Performance Analysis of Floating Photovoltaic Systems—A Systematic Review and Meta-Analysis
Abstract
1. Introduction
1.1. Floating Photovoltaics: A Brief Overview
1.2. Study Background
| n | Equation | Notes | Ref |
|---|---|---|---|
| 1 | Sandia [31] | ||
| 2 | Intra-Module temperature as a function of back-of-module temperature as given above. is suggested to be 2 K–3 K for open rack modules. | Sandia [31] | |
| 3 | Faiman [32] | ||
| 4 | Duffie & Beckman [40] | ||
| 5 | Skoplaki [41] | ||
| 6 | Mattei [42] | ||
| 7 | A common value for k is 0.025 K·m2/W | Ross Model [43] | |
| 8 | Similar to the Sandia model [31] but assigns static, system-independent coefficients. | Kurtz Model [44] | |
| 9 | Risser and Fuentes [45] | ||
| 10 | Keddouda [46] | ||
| 11 | Kamuyu [37] | ||
| 12 | Kamuyu model [37] with the inclusion of water temperature. | Kamuyu [37] | |
| 13 | Tamizhmani [47] | ||
| 14 | Muzathik [48] | ||
| 15 | Hayibo [49] |
1.3. The Need for a Systematic Literature Review
2. Methodology
2.1. Research Protocol
- What are the technical performance characteristics of floating photovoltaic systems with respect to temperature?
- What observable differences exist between the performance of floating photovoltaic systems and conventional ground-mounted or roof-mounted systems?
- What is the state of the art in floating photovoltaic system performance modelling?
- What are the future research areas for floating photovoltaic systems?
2.2. Record Identification
2.3. Record Screening
2.4. Record Exclusion/Inclusion
2.5. Record Synthesis and Data Collection
3. Results
3.1. Dataset Characterisation and Bibliometric Analysis
3.2. Textual Narrative Synthesis
3.2.1. Study Location
3.2.2. Scale of Study
3.2.3. Study Type
3.2.4. Temperature Modelling Approach
3.2.5. Study Output
3.3. Quantitative Meta-Analysis
- During the data extraction process, where available, representative data points have been extracted to characterise entire studies. Depending on the complexity and manner of reporting employed by the authors of the reviewed publications, single representative datapoints are not always available. Therefore, point data from available tables or graphs is used to substitute in these cases.
- Again, owing to the wide variation across (and within) most of the datasets, there are multiple instances of a dataset having more than one datapoint. In most cases, these are applied as is to the analysis. However, in cases in the analysis where the goal is to determine a representative metric for the dataset (e.g., mean, median, deviation, etc.), multi-value studies are often limited to a single value, so as not to skew the results. Mean values are calculated to achieve this objective.
- The following meta-analysis was executed using Python 3.13. All graphs were produced using the matplotlib library, and the statistical analysis functions were performed using the scikit-learn library.
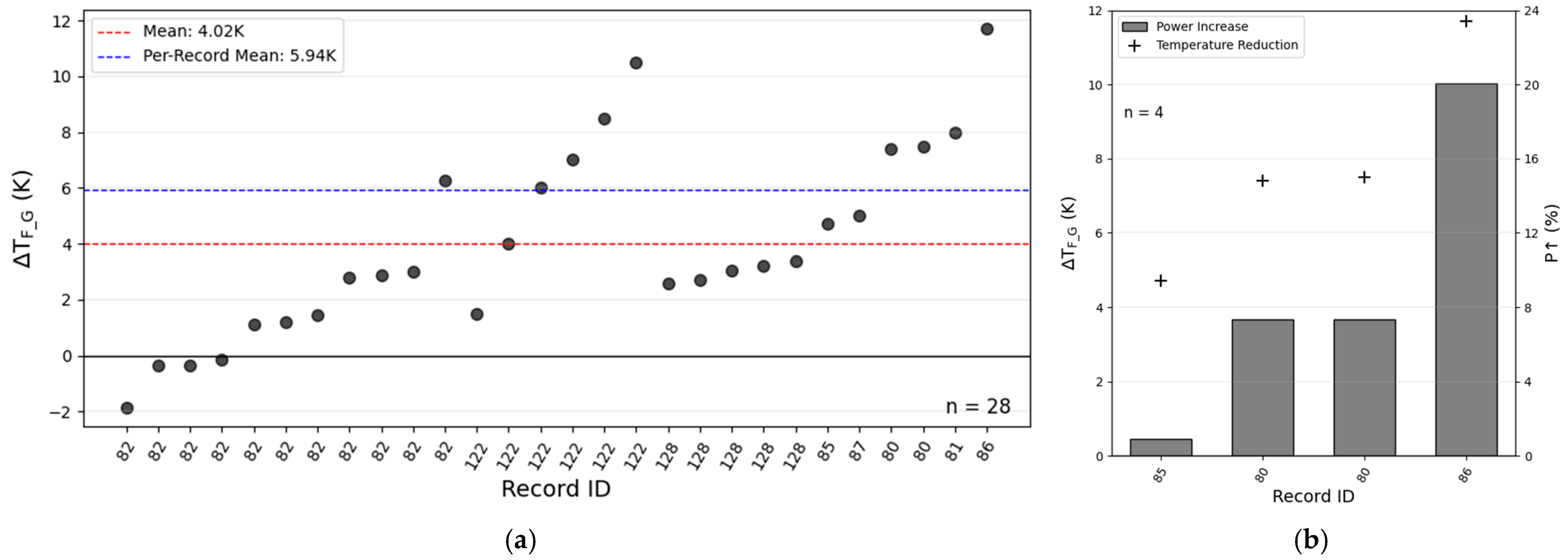
3.3.1. CC_Exp
3.3.2. CC_Mod
3.3.3. FPV_Exp
3.3.4. FPV_ModVal
3.3.5. U_Values
3.3.6. CT
4. Discussion
4.1. Key Findings
4.2. Limitations
4.3. Future Research Agenda
- Further studies are required to determine the relationship between temperature reduction and possible efficiency improvements for FPVs. Such studies require standard test conditions as well as the elimination of other variables that have the potential to influence efficiency. Therefore, a suitable hypothesis model is required, combined with multivariate analysis, to comprehensively determine the effect of temperature change on FPV efficiency and hence power generation.
- Experimental studies are recommended to address the current lack of studies originating in the Southern Hemisphere, and especially geographic-based studies that take into account different weather systems across the world.
- The meta-analysis conducted in the study herein identified a regression model having suitability for FPV temperature prediction, but this model requires further refinement. It is recommended to apply normalisation techniques to the dataset to improve the model’s consistency and accuracy across different conditions.
- The explicit consideration of the effects of evaporative cooling and humidity is underrepresented in the literature. Enhancing scientific knowledge on these areas will significantly improve the understanding of the total cooling effect experienced in the FPV microclimate.
- Research considering the comparative assessment of different FPV cooling techniques is essential to maximise the natural cooling benefits. Passive and active cooling techniques should be directly compared to identify the optimal systems under test conditions.
- Further studies are recommended to elucidate the differences between monofacial and bifacial FPV systems. The models developed for FPV temperature prediction are primarily oriented towards monofacial/conventional PV modules. Research efforts should be directed towards the development of bifacial module temperature prediction models or holistic approaches that incorporate both monofacial and bifacial module characteristics in a unified framework.
- Further research accounting for the specific physical and electronic properties of PV cell materials. These exist in the domain of general photovoltaic application, but there is a need to extend these studies to account for the unique nature of FPV operation.
- A key step going forward is to develop a holistic understanding of the role of artificial intelligence in temperature prediction models. These models have been assessed, but primarily in isolation; therefore, a comprehensive evaluation of their application to the field of FPV modelling is necessary.
- There is limited research on the identification of optimal applications for FPV systems. Particularly with a focus on integration with other renewable energy systems, studies should assess the synergy between FPV and other energy technologies, and seek to clarify the ideal approaches to FPV integration.
- It is recommended that an international collaborative network between major stakeholders in FPV research be established. These collaborative endeavours should focus on consolidating research on FPV systems, thereby addressing scientific, engineering, environmental, economic, and wider societal considerations as part of a broader sustainability-oriented agenda for FPVs. Additionally, collaborative studies can be undertaken to develop technology roadmaps underpinning the development of FPV systems for different applications, e.g., integration with other renewable forms of energy, such as hydropower or offshore wind power. Such collaboration would also increase research diversity, accelerate innovation, enable data sharing and unified testing, and promote standardisation of methods in the field.
- Furthermore, future research should focus specifically on developing FPV-specific standards. These should be developed in collaboration between researchers, laboratories, and manufacturers, and the International Organisation for Standardisation (ISO) or similar relevant bodies, and should address the unique challenges faced by FPV systems, including mechanical fatigue, dynamic cabling requirements, and system durability.
- Finally, techno-economic assessments are required to evaluate the economic viability of FPV systems alongside the technical feasibility of these systems. This should involve assessing the financial implications of FPV systems as well as working towards system optimisation in line with the various modelling and performance assessment approaches thus far explored, as studies of this nature are required to achieve industrial application and adoption.
5. Conclusions
- According to the analysis reported in this study, floating photovoltaic systems experience a temperature reduction typically between 1 K and 10 K when compared to ground-mounted PV systems.
- There is an expected, and indeed confirmed, increase in efficiency and power generated that accompanies the temperature reduction. However, the rate of power/efficiency increase with temperature change varies significantly with experimental conditions.
- Multi-layer heat transfer models are the most accurate at predicting FPV module temperature. CFD-based models are increasingly explored, but are not as accurate as the former. Conventional models developed for ground-mounted PV systems can be tuned to function at high levels of accuracy.
- Future research is suggested based on the research areas identified in this study (Section 4.3). Advancing FPV modelling techniques and standardising FPV data reporting are crucial for progress. Improved data consistency will enhance model accuracy and comparability. Studies examining the optimised application of FPV systems will also likely have a major impact on the development and implementation of FPV systems as part of the wider adoption of renewable energy sources.
Author Contributions
Funding
Data Availability Statement
Acknowledgments
Conflicts of Interest
Abbreviations
| PV | Photovoltaic |
| FPV | Floating Photovoltaic |
| GPV | Ground-mounted Photovoltaic |
| CFD | Computational Fluid Dynamics |
| SLR | Systematic Literature Review |
| TEA | Techno-economic Analysis |
| R2 | Coefficient of Determination |
| MAE | Mean Absolute Error |
| MSE | Mean Squared Error |
| RMSE | Root Mean Squared Error |
| MAPE | Mean Absolute Percentage Error |
Appendix A
Appendix A.1. Statistical Metrics for Model Accuracy Assessment
Appendix A.2. PRISMA Checklist
| Section and Topic | Item # | Checklist Item | Section Where Item Is Reported |
|---|---|---|---|
| TITLE | |||
| Title | 1 | Identify the report as a systematic review. | 0.1 |
| ABSTRACT | |||
| Abstract | 2 | See the PRISMA 2020 for Abstracts checklist. | 0.1 * |
| INTRODUCTION | |||
| Rationale | 3 | Describe the rationale for the review in the context of existing knowledge. | 1.3 |
| Objectives | 4 | Provide an explicit statement of the objective(s) or question(s) the review addresses. | 2.1 |
| METHODS | |||
| Eligibility criteria | 5 | Specify the inclusion and exclusion criteria for the review and how studies were grouped for the syntheses. | 2.2, 2.3 |
| Information sources | 6 | Specify all databases, registers, websites, organisations, reference lists and other sources searched or consulted to identify studies. Specify the date when each source was last searched or consulted. | 2.2 |
| Search strategy | 7 | Present the full search strategies for all databases, registers, and websites, including any filters and limits used. | 2.2 |
| Selection process | 8 | Specify the methods used to decide whether a study met the inclusion criteria of the review, including how many reviewers screened each record and each report retrieved, whether they worked independently, and, if applicable, details of automation tools used in the process. | 2.3 |
| Data collection process | 9 | Specify the methods used to collect data from reports, including how many reviewers collected data from each report, whether they worked independently, any processes for obtaining or confirming data from study investigators, and, if applicable, details of automation tools used in the process. | 2.5, 3.3 |
| Data items | 10a | List and define all outcomes for which data were sought. Specify whether all results that were compatible with each outcome domain in each study were sought (e.g., for all measures, time points, analyses), and if not, the methods used to decide which results to collect. | 2.5 |
| 10b | List and define all other variables for which data were sought (e.g., participant and intervention characteristics, funding sources). Describe any assumptions made about any missing or unclear information. | 2.5 | |
| Study risk of bias assessment | 11 | Specify the methods used to assess risk of bias in the included studies, including details of the tool(s) used, how many reviewers assessed each study, and whether they worked independently, and if applicable, details of automation tools used in the process. | 2.3 |
| Effect measures | 12 | Specify for each outcome the effect measure(s) (e.g., risk ratio, mean difference) used in the synthesis or presentation of results. | - |
| Synthesis methods | 13a | Describe the processes used to decide which studies were eligible for each synthesis (e.g., tabulating the study intervention characteristics and comparing against the planned groups for each synthesis (item #5)). | 2.4, 2.5 |
| 13b | Describe any methods required to prepare the data for presentation or synthesis, such as handling of missing summary statistics, or data conversions. | 3.3 | |
| 13c | Describe any methods used to tabulate or visually display results of individual studies and syntheses. | 3.3 | |
| 13d | Describe any methods used to synthesise results and provide a rationale for the choice(s). If meta-analysis was performed, describe the model(s), method(s) to identify the presence and extent of statistical heterogeneity, and software package(s) used. | 3.3 | |
| 13e | Describe any methods used to explore possible causes of heterogeneity among study results (e.g., subgroup analysis, meta-regression). | 3.3 | |
| 13f | Describe any sensitivity analyses conducted to assess robustness of the synthesised results. | - | |
| Reporting bias assessment | 14 | Describe any methods used to assess risk of bias due to missing results in a synthesis (arising from reporting biases). | - |
| Certainty assessment | 15 | Describe any methods used to assess certainty (or confidence) in the body of evidence for an outcome. | - |
| RESULTS | |||
| Study selection | 16a | Describe the results of the search and selection process, from the number of records identified in the search to the number of studies included in the review, ideally using a flow diagram. | 2.5 |
| 16b | Cite studies that might appear to meet the inclusion criteria, but which were excluded, and explain why they were excluded. | 2.4 | |
| Study characteristics | 17 | Cite each included study and present its characteristics. | 2.5 |
| Risk of bias in studies | 18 | Present assessments of risk of bias for each included study. | 3.1 |
| Results of individual studies | 19 | For all outcomes, present, for each study: (a) summary statistics for each group (where appropriate) and (b) an effect estimate and its precision (e.g., confidence/credible interval), ideally using structured tables or plots. | 3.3 |
| Results of syntheses | 20a | For each synthesis, briefly summarise the characteristics and risk of bias among contributing studies. | 3.1, 3.2, 3.3 |
| 20b | Present results of all statistical syntheses conducted. If meta-analysis was performed, present for each the summary estimate and its precision (e.g., confidence/credible interval) and measures of statistical heterogeneity. If comparing groups, describe the direction of the effect. | 3.3 | |
| 20c | Present results of all investigations of possible causes of heterogeneity among study results. | 3.3 | |
| 20d | Present results of all sensitivity analyses conducted to assess the robustness of the synthesised results. | - | |
| Reporting biases | 21 | Present assessments of risk of bias due to missing results (arising from reporting biases) for each synthesis assessed. | 4.2 |
| Certainty of evidence | 22 | Present assessments of certainty (or confidence) in the body of evidence for each outcome assessed. | |
| DISCUSSION | |||
| Discussion | 23a | Provide a general interpretation of the results in the context of other evidence. | 4.1 |
| 23b | Discuss any limitations of the evidence included in the review. | 4.2 | |
| 23c | Discuss any limitations of the review processes used. | 4.2 | |
| 23d | Discuss implications of the results for practice, policy, and future research. | 4.3 | |
| OTHER INFORMATION | |||
| Registration and protocol | 24a | Provide registration information for the review, including register name and registration number, or state that the review was not registered. | 2.1 |
| 24b | Indicate where the review protocol can be accessed, or state that a protocol was not prepared. | 2.1 | |
| 24c | Describe and explain any amendments to information provided at registration or in the protocol. | - | |
| Support | 25 | Describe sources of financial or non-financial support for the review, and the role of the funders or sponsors in the review. | 5 |
| Competing interests | 26 | Declare any competing interests of review authors. | 5 |
| Availability of data, code and other materials | 27 | Report which of the following are publicly available and where they can be found: template data collection forms; data extracted from included studies; data used for all analyses; analytic code; any other materials used in the review. | 5 |
References
- IEA Global Energy Review 2025—Analysis 2025. Available online: https://www.iea.org/reports/global-energy-review-2025 (accessed on 22 August 2025).
- Hayat, M.B.; Ali, D.; Monyake, K.C.; Alagha, L.; Ahmed, N. Solar energy—A look into power generation, challenges, and a solar-powered future. Int. J. Energy Res. 2019, 43, 1049–1067. [Google Scholar] [CrossRef]
- Maka, A.O.M.; Alabid, J.M. Solar energy technology and its roles in sustainable development. Clean. Energy 2022, 6, 476–483. [Google Scholar] [CrossRef]
- Li, G.; Li, M.; Taylor, R.; Hao, Y.; Besagni, G.; Markides, C.N. Solar energy utilisation: Current status and roll-out potential. Appl. Therm. Eng. 2022, 209, 118285. [Google Scholar] [CrossRef]
- Victoria, M.; Haegel, N.; Peters, I.M.; Sinton, R.; Jäger-Waldau, A.; del Cañizo, C.; Breyer, C.; Stocks, M.; Blakers, A.; Kaizuka, I.; et al. Solar photovoltaics is ready to power a sustainable future. Joule 2021, 5, 1041–1056. [Google Scholar] [CrossRef]
- Ali, A.O.; Elgohr, A.T.; El-Mahdy, M.H.; Zohir, H.M.; Emam, A.Z.; Mostafa, M.G.; Al-Razgan, M.; Kasem, H.M.; Elhadidy, M.S. Advancements in photovoltaic technology: A comprehensive review of recent advances and future prospects. Energy Convers. Manag. X 2025, 26, 100952. [Google Scholar] [CrossRef]
- IRENA. Renewable Power Generation Costs in IRENA 2024. Available online: https://www.irena.org/Publications/2025/Jun/Renewable-Power-Generation-Costs-in-2024 (accessed on 22 August 2025).
- World Bank Group (WBG); Solar Energy Management Assistance Program (ESMAP); Solar Energy Research Institute of Singapore (SERIS). Where Sun Meets Water: Floating Solar Market Report. SERIS 2019. Available online: https://www.seris.nus.edu.sg/wp-content/uploads/2023/09/ESMAP_FloatingSolar_TEXT-A4-WEB.pdf (accessed on 21 July 2025).
- Golroodbari, S.Z.; Ayyad, A.W.A.; van Sark, W. Offshore floating photovoltaics system assessment in worldwide perspective. Prog. Photovolt. Res. Appl. 2023, 31, 1061–1077. [Google Scholar] [CrossRef]
- Micheli, L.; Talavera, D.L. Economic feasibility of floating photovoltaic power plants: Profitability and competitiveness. Renew. Energy 2023, 211, 607–616. [Google Scholar] [CrossRef]
- Pouran, H.M.; Lopes, M.P.C.; Nogueira, T.; Branco, D.A.C.; Sheng, Y. Environmental and technical impacts of floating photovoltaic plants as an emerging clean energy technology. iScience 2022, 25, 105253. [Google Scholar] [CrossRef]
- Ueda, Y.; Sakurai, T.; Tatebe, S.; Itoh, A. Performance Analysis of PV Systems on the Water. Available online: https://www.researchgate.net/publication/281325437_Performance_analysis_of_PV_systems_on_the_water (accessed on 22 August 2025).
- Selj, J.; Wieland, S.; Tsanakas, I. Floating Photovoltaic Power Plants: A Review of Energy Yield, Reliability, and Maintenance 2025. Available online: https://iea-pvps.org/key-topics/t13-floating-pv-plants-review-2025/ (accessed on 22 August 2025).
- Trapani, K.; Redón Santafé, M. A review of floating photovoltaic installations: 2007–2013. Prog. Photovolt Res. Appl. 2015, 23, 524–532. [Google Scholar] [CrossRef]
- Smyth, M.; Russell, J.; Milanowski, T. Solar Energy in the Winemaking Industry; Springer: London, UK, 2011. [Google Scholar]
- Pringle, A.M.; Handler, R.M.; Pearce, J.M. Aquavoltaics: Synergies for dual use of water area for solar photovoltaic electricity generation and aquaculture. Renew. Sustain. Energy Rev. 2017, 80, 572–584. [Google Scholar] [CrossRef]
- Guo, H.; Wang, X.; Liu, B.; Chan, Z.; Pan, Z.; Chen, L.; Xi, Q.; Zhu, W.; Wu, J.; Cao, G.; et al. Global trends and evolution of aquavoltaics in sustainable aquaculture and energy generation. Renew. Energy 2025, 255, 123864. [Google Scholar] [CrossRef]
- Cazzaniga, R.; Rosa-Clot, M.; Rosa-Clot, P.; Tina, G.M. Integration of PV floating with hydroelectric power plants. Heliyon 2019, 5, e01918. [Google Scholar] [CrossRef]
- Golroodbari, S.Z.M.; Vaartjes, D.F.; Meit, J.B.L.; van Hoeken, A.P.; Eberveld, M.; Jonker, H.; van Sark, W.G.J.H.M. Pooling the cable: A techno-economic feasibility study of integrating offshore floating photovoltaic solar technology within an offshore wind park. Sol. Energy 2021, 219, 65–74. [Google Scholar] [CrossRef]
- Bamoshmoosh, A.; Catania, M.; Dipierro, V.; Ficili, M.; Fusco, A.; Gioffrè, D.; Parolin, F.; Pilotti, L.; Zelaschi, A.; Vincenti, F. Techno-economic optimization of pumped hydro storage plants integrated with floating photovoltaic. Appl. Energy 2025, 382, 125268. [Google Scholar] [CrossRef]
- Oliveira-Pinto, S.; Stokkermans, J. Marine floating solar plants: An overview of potential, challenges and feasibility. Proc. Inst. Civ. Eng. Marit. Eng. 2020, 173, 120–135. [Google Scholar] [CrossRef]
- Marques Lameirinhas, R.A.; Torres, J.P.N.; de Melo Cunha, J.P. A Photovoltaic Technology Review: History, Fundamentals and Applications. Energies 2022, 15, 1823. [Google Scholar] [CrossRef]
- Wysocki, J.J.; Rappaport, P. Effect of Temperature on Photovoltaic Solar Energy Conversion. J. Appl. Phys. 1960, 31, 571–578. [Google Scholar] [CrossRef]
- Green, M.A. Solar Cells: Operating Principles, Technology, and System Applications; Prentice-Hall: Hoboken, NJ, USA, 1982. [Google Scholar]
- Rosa-Clot, M.; Tina, G.M. Chapter 6—Cooling Systems. In Floating PV Plants; Academic Press: Cambridge, MA, USA, 2020; p. 67. [Google Scholar]
- Evans, D.L.; Florschuetz, L.W. Cost studies on terrestrial photovoltaic power systems with sunlight concentration. Sol. Energy 1977, 19, 255–262. [Google Scholar] [CrossRef]
- Ramanan, C.J.; Lim, K.H.; Kurnia, J.C.; Roy, S.; Bora, B.J.; Medhi, B.J. Towards sustainable power generation: Recent advancements in floating photovoltaic technologies. Renew. Sustain. Energy Rev. 2024, 194, 114322. [Google Scholar] [CrossRef]
- Goswami, A.; Sadhu, P.; Goswami, U.; Sadhu, P.K. Floating solar power plant for sustainable development: A techno-economic analysis. Environ. Prog. Sustain. Energy 2019, 38, e13268. [Google Scholar] [CrossRef]
- Pandian, G.R.; Balachandran, G.B.; David, P.W.; K, S. Performance analysis of floating bifacial stand-alone photovoltaic module in tropical freshwater systems of Southern Asia: An experimental study. Sci. Rep. 2024, 14, 20352. [Google Scholar] [CrossRef]
- Amer, A.; Attar, H.; As’ad, S.; Alsaqoor, S.; Colak, I.; Alahmer, A.; Alali, M.; Borowski, G.; Hmada, M.; Solyman, A. Floating Photovoltaics: Assessing the Potential, Advantages, and Challenges of Harnessing Solar Energy on Water Bodies. J. Ecol. Eng. 2023, 24, 324–339. [Google Scholar] [CrossRef]
- King, D.L.; Boyson, W.E.; Kratochvil, J.A. Photovoltaic Array Performance Model. 2004. Available online: https://scispace.com/papers/photovoltaic-array-performance-model-1k1w8oqvit (accessed on 28 August 2025).
- Faiman, D. Assessing the outdoor operating temperature of photovoltaic modules. Prog. Photovolt Res. Appl. 2008, 16, 307–315. [Google Scholar] [CrossRef]
- NREL. Welcome—System Advisor Model—SAM. NREL. 2025. Available online: https://sam.nrel.gov/ (accessed on 28 August 2025).
- PVsyst PVsyst Documentation 2025. Available online: https://www.pvsyst.com/help/release-notes/index.html (accessed on 28 August 2025).
- Liu, H.; Krishna, V.; Lun Leung, J.; Reindl, T.; Zhao, L. Field experience and performance analysis of floating PV technologies in the tropics. Prog. Photovolt. Res. Appl. 2018, 26, 957–967. [Google Scholar] [CrossRef]
- Chowdhury, G.; Haggag, M.; Poortmans, J. How cool is floating PV? A state-of-the-art review of floating PV’s potential gain and computational fluid dynamics modeling to find its root cause. EPJ Photovolt. 2023, 14, 24. [Google Scholar] [CrossRef]
- Charles Lawrence Kamuyu, W.; Lim, J.R.; Won, C.S.; Ahn, H.K. Prediction Model of Photovoltaic Module Temperature for Power Performance of Floating PVs. Energies 2018, 11, 447. [Google Scholar] [CrossRef]
- Korab, R.; Połomski, M.; Naczyński, T.; Kandzia, T. A dynamic thermal model for a photovoltaic module under varying atmospheric conditions. Energy Convers. Manag. 2023, 280, 116773. [Google Scholar] [CrossRef]
- Osama, A.; Tina, G.M.; Gagliano, A. Thermal models for mono/bifacial modules in ground/floating photovoltaic systems: A review. Renew. Sustain. Energy Rev. 2025, 216, 115627. [Google Scholar] [CrossRef]
- Duffie, J.A.; Beckman, W.A.; Blair, N. Solar Engineering of Thermal Processes, Photovoltaics and Wind; John Wiley & Sons: Hoboken, NJ, USA, 2020. [Google Scholar]
- Skoplaki, E.; Boudouvis, A.G.; Palyvos, J.A. A simple correlation for the operating temperature of photovoltaic modules of arbitrary mounting. Sol. Energ Mat. Sol. C 2008, 92, 1393–1402. [Google Scholar] [CrossRef]
- Mattei, M.; Notton, G.; Cristofari, C.; Muselli, M.; Poggi, P. Calculation of the polycrystalline PV module temperature using a simple method of energy balance. Renew Energ 2006, 31, 553–567. [Google Scholar] [CrossRef]
- Ross, R.G. Interface Design Considerations for Terrestrial Solar Cell Modules. 1976. Available online: https://ntrs.nasa.gov/citations/19780027121 (accessed on 29 August 2025).
- Kurtz, S.; Whitfield, K.; TamizhMani, G.; Koehl, M.; Miller, D.; Joyce, J.; Wohlgemuth, J.; Bosco, N.; Kempe, M.; Zgonena, T. Evaluation of high-temperature exposure of photovoltaic modules. Prog. Photovolt Res. Appl. 2011, 19, 954–965. [Google Scholar] [CrossRef]
- Risser, V.V.; Fuentes, M.K. Linear regression analysis of flat-plate photovoltaic system performance data. Photovolt. Sol. Energy Conf. 1984. Available online: https://ui.adsabs.harvard.edu/abs/1984pvse.conf..623R (accessed on 29 August 2025).
- Keddouda, A.; Ihaddadene, R.; Boukhari, A.; Atia, A.; Arıcı, M.; Lebbihiat, N.; Ihaddadene, N. Experimental and numerical modeling of photovoltaic modules temperature under varying ambient conditions. Energy Convers. Manag. 2024, 312, 118563. [Google Scholar] [CrossRef]
- Tamizhmani, G.; Ji, L.; Tang, Y.; Petacci, L.; Osterwald, C. Photovoltaic Module Thermal/Wind Performance: Long-Term Monitoring and Model Development for Energy Rating. In Proceedings of the NCPV and Solar Program Review Meeting 2003, Denver, CO, USA, 24–26 March 2003. [Google Scholar]
- Muzathik, A. Photovoltaic Modules Operating Temperature Estimation Using a Simple Correlation. Int. J. Energy Eng. 2014, 4, 151–158. [Google Scholar]
- Hayibo, K.S. Quantifying the Value of Foam-Based Flexible Floating Solar Photovoltaic Systems. Master’s Thesis, Michigan Technological University, Houghton, MI, USA, 2021. [Google Scholar]
- Harden, A.; Thomas, J. Methodological Issues in Combining Diverse Study Types in Systematic Reviews. Int. J. Soc. Res. Methodol. 2005, 8, 257–271. [Google Scholar] [CrossRef]
- Phillips, M.; Reed, J.B.; Zwicky, D.; Van Epps, A.S. A scoping review of engineering education systematic reviews. J. Eng. Educ. 2024, 113, 818–837. [Google Scholar] [CrossRef]
- Forester, E.; Levin, M.O.; Thorne, J.H.; Armstrong, A.; Pasquale, G.; Vincenza Di Blasi, M.L.; Scott, T.A.; Hernandez, R.R. Siting considerations for floating solar photovoltaic energy: A systematic review. Renew. Sustain. Energy Rev. 2025, 211, 115360. [Google Scholar] [CrossRef]
- Ali, F.; Etemad-Shahidi, A.; Stewart, R.A.; Sanjari, M.J.; Hayward, J.A.; Nicholson, R.C. Co-located offshore wind and floating solar farms: A systematic quantitative literature review of site selection criteria. Renew. Energy Focus. 2024, 50. [Google Scholar] [CrossRef]
- Goncalves, L.d.A.; Faria, L.; Mannich, M.; Coelho, M.; Rigotti, J.A.; Bleninger, T.; Vitule, J.R.S. A Systematic Review of Floating Photovoltaic Plant Environmental Impacts. J. Sustain. Dev. 2025, 18, 94. [Google Scholar] [CrossRef]
- Xiao, Y.; Watson, M. Guidance on Conducting a Systematic Literature Review. J. Plan. Educ. Res. 2019, 39, 93–112. [Google Scholar] [CrossRef]
- Popay, J.; Roberts, H.; Sowden, A.; Petticrew, M.; Arai, L.; Rodgers, M.; Britten, N.; Roen, K.; Duffy, S. Guidance on the Conduct of Narrative Synthesis in Systematic Reviews: A Product from the ESRC Methods Programme. Publisher, 2006. Available online: https://www.academia.edu/16899311/Guidance_on_the_conduct_of_narrative_synthesis_in_systematic_reviews_a_comparison_of_guidance_led_narrative_synthesis_versus_meta_analysis (accessed on 15 August 2025).
- Glass, G.V. Primary, Secondary, and Meta-Analysis of Research. Educ. Res. 1976, 5, 3–8. [Google Scholar] [CrossRef]
- Ewing, R.; Cervero, R. Travel and the Built Environment. J. Am. Plan. Assoc. 2010, 76, 265–294. [Google Scholar] [CrossRef]
- Liberati, A.; Altman, D.G.; Tetzlaff, J.; Mulrow, C.; Gøtzsche, P.C.; Ioannidis, J.P.A.; Clarke, M.; Devereaux, P.J.; Kleijnen, J.; Moher, D. The PRISMA statement for reporting systematic reviews and meta-analyses of studies that evaluate health care interventions: Explanation and elaboration. J. Clin. Epidemiol. 2009, 62, e1–e34. [Google Scholar] [CrossRef]
- Kitchenham, B. Procedures for Performing Systematic Reviews; Keele University: Keele, UK, 2004; 33p. [Google Scholar]
- Kitchenham, B.; Charters, S. Guidelines for performing Systematic Literature Reviews in Software Engineering; Keele University: Keele, UK, 2007. [Google Scholar]
- Harzing, A. Publish or Perish. Available online: https://harzing.com/resources/publish-or-perish (accessed on 24 July 2025).
- Sandelowski, M.; Barroso, J.; Voils, C.I. Using qualitative metasummary to synthesize qualitative and quantitative descriptive findings. Res. Nurs. Health 2007, 30, 99–111. [Google Scholar] [CrossRef] [PubMed]
- Lucas, P.J.; Baird, J.; Arai, L.; Law, C.; Roberts, H.M. Worked examples of alternative methods for the synthesis of qualitative and quantitative research in systematic reviews. BMC Med. Res. Methodol. 2007, 7, 4. [Google Scholar] [CrossRef]
- Rigolon, A. A complex landscape of inequity in access to urban parks: A literature review. Landsc. Urban Plan. 2016, 153, 160–169. [Google Scholar] [CrossRef]
- Lee, J. A Study on the Cooling Effect of the Floating Horizontal Solar Cell. Int. J. Adv. Smart Converg. 2023, 12, 182–186. [Google Scholar]
- Jeong, H.S.; Choi, J.; Lee, H.H.; Jo, H.S. A study on the power generation prediction model considering environmental characteristics of floating photovoltaic system. Appl. Sci. 2020, 10, 4526. [Google Scholar] [CrossRef]
- Mandavi, M.; Tiwari, S. Comparative analysis of real-time data for stand-alone PV and floating PV system using MPPT technique. i-Manag. J. Power Syst. Eng. 2021, 9, 1–8. [Google Scholar]
- Shukla, A.; Yadav, S.K.; Misra, A.; Yaqub, A.; Singh, J.; Singh, R.B. Comparative Analysis of Solar Photovoltaic Modules: Roof-Mounted Versus Floating with Polystyrene Material-Based Floats. Macromol. Sympos. 2025, 414, 2400057. [Google Scholar] [CrossRef]
- Dzamesi, S.K.A.; Ahiataku-Togobo, W.; Yakubu, S.; Acheampong, P.; Kwarteng, M.; Samikannu, R.; Azeave, E. Comparative performance evaluation of ground-mounted and floating solar PV systems. Energy Sustain. Dev. 2024, 80, 101421. [Google Scholar] [CrossRef]
- Rehman, S.; Irshad, K.; Mohandes, M.A.; Al-Shaikhi, A.; Zayed, M.E. Comprehensive evaluation of solar floating photovoltaic prospective in Saudi Arabia: Comparative experimental investigation and thermal performance analysis. Sol. Energy 2024, 283, 113015. [Google Scholar] [CrossRef]
- Peters, I.M.; Nobre, A.M. Deciphering the thermal behavior of floating photovoltaic installations. Sol. Energy Adv. 2022, 2, 100007. [Google Scholar] [CrossRef]
- Refaai, M.R.A.; Dhanesh, L.; Ganthia, B.P.; Mohanty, M.; Subbiah, R.; Anbese, E.M. Design and Implementation of a Floating PV Model to Analyse the Power Generation. Int. J. Photoenergy 2022, 2022, 3891881. [Google Scholar] [CrossRef]
- Kumar, M.; Kumar, A. Experimental characterization of the performance of different photovoltaic technologies on water bodies. Prog. Photovolt. 2020, 28, 25–48. [Google Scholar] [CrossRef]
- Majumder, A.; Innamorati, R.; Frattolillo, A.; Kumar, A.; Gatto, G. Performance analysis of a floating photovoltaic system and estimation of the evaporation losses reduction. Energies 2021, 14, 8336. [Google Scholar] [CrossRef]
- Elminshawy, N.A.S.; Mohamed, A.M.I.; Osama, A.; Amin, I.; Bassam, A.M.; Oterkus, E. Performance and potential of a novel floating photovoltaic system in Egyptian winter climate on calm water surface. Int. J. Hydrogen Energy 2022, 47, 12798–12814. [Google Scholar] [CrossRef]
- Nisar, H.; Kashif Janjua, A.; Hafeez, H.; Shakir, S.; Shahzad, N.; Waqas, A. Thermal and electrical performance of solar floating PV system compared to on-ground PV system-an experimental investigation. Sol. Energy 2022, 241, 231–247. [Google Scholar] [CrossRef]
- Ramanan, C.J.; Lim, K.H.; Kurnia, J.C. Thermal behavior of floating photovoltaics: A comparison of performance at varying heights and benchmarking against land-based photovoltaics. Appl. Energy 2025, 388, 125642. [Google Scholar] [CrossRef]
- Elminshawy, N.A.S.; Osama, A.; Saif, A.M.; Tina, G.M. Thermo-electrical performance assessment of a partially submerged floating photovoltaic system. Energy 2022, 246. [Google Scholar] [CrossRef]
- K, A.; K, V. A comparative study of floating and ground-mounted photovoltaic power generation in Indian contexts. Clean. Energy. Syst. 2024, 9, 123444. [Google Scholar] [CrossRef]
- Sukarso, A.P.; Kim, K.N. Cooling effect on the floating solar PV: Performance and economic analysis on the case of west Java province in Indonesia. Energies 2020, 13, 2126. [Google Scholar] [CrossRef]
- Ramanan, C.J.; Lim, K.H.; Kurnia, J.C.; Roy, S.; Bora, B.J.; Medhi, B.J. Design study on the parameters influencing the performance of floating solar PV. Renew. Energy 2024, 223, 120064. [Google Scholar] [CrossRef]
- Tina, G.M.; Bontempo Scavo, F. Energy performance analysis of tracking floating photovoltaic systems. Heliyon 2022, 8, e10088. [Google Scholar] [CrossRef] [PubMed]
- Kichou, S.; Skandalos, N.; Wolf, P. Floating photovoltaics performance simulation approach. Heliyon 2022, 8, e11896. [Google Scholar] [CrossRef]
- Karami, M.; Khameneh, M.A. Performance Assessment of a Floating Photovoltaic Powerplant in Iran: A Case Study on Amir Kabir Dam, Karaj. J. Heat. Mass. Trans. Res. 2025, 12, 123–136. [Google Scholar]
- Semeskandeh, S.; Hojjat, M.; Hosseini Abardeh, M. Techno-economic-environmental comparison of floating photovoltaic plant with conventional solar photovoltaic plant in northern Iran. Clean. Energy 2022, 6, 1118–1126. [Google Scholar] [CrossRef]
- Silva, H.R.D.; Borges, C.O.D.S.; Sousa, N.C.A.D. Use of Computational Fluid Dynamics to investigate heat exchanges in Floating Solar Plate Systems. In Proceedings of the 2024: XLV Ibero-Latin American Congress on Computational Methods in Engineering, Maceió, Brazil, 11–14 November 2024. [Google Scholar]
- Sheikh, Y.A.; Butt, A.D.; Paracha, K.N.; Awan, A.B.; Bhatti, A.R.; Zubair, M. An improved cooling system design to enhance energy efficiency of floating photovoltaic systems. J. Renew. Sustain. Energy 2020, 12, 053502. [Google Scholar] [CrossRef]
- Elminshawy, N.A.S.; Elminshawy, A.; Osama, A. An innovative cooling technique for floating photovoltaic module: Adoption of partially submerged angle fins. Energy Convers. Manag. X 2023, 20, 100408. [Google Scholar] [CrossRef]
- Elminshawy, N.A.S.; El-Damhogi, D.G.; Ibrahim, I.A.; Elminshawy, A.; Osama, A. Assessment of floating photovoltaic productivity with fins-assisted passive cooling. Appl. Energy 2022, 325, 119810. [Google Scholar] [CrossRef]
- Sazali, N.; Yin, L.H.; Mashori, S. Development of Floating Solar Panel Efficiency and Their Maintenance. Prog. Eng. Appl. Technol. 2025, 6, 452–461. [Google Scholar]
- Sutanto, B.; Iacovides, H.; Nasser, A.; Cioncolini, A.; Afgan, I. Efficiency improvement of floating photovoltaic panels with natural convection cooling loops: Multi-physics thermal modelling. Sol. Energy 2025, 286, 113170. [Google Scholar] [CrossRef]
- Elminshawy, N.A.S.; Osama, A.; Elbaksawi, O.; Arıcı, M.; Naeim, N. Energetic, environmental and economic (3E) analysis of a CSA algorithm optimized floatovoltaic system integrated with heat sink: Modeling with experimental validation. Eng. Anal. Bound. Elem. 2024, 159, 384–401. [Google Scholar] [CrossRef]
- Amin, M.M.; Kocher, I.S. Floating Photovoltaic Performance Evaluation Using Novel Cooling System Case Study. NTU J. Renew. Energy 2023, 5, 86–92. [Google Scholar] [CrossRef]
- Elminshawy, N.A.S.; Osama, A.; El-Damhogi, D.G.; Oterkus, E.; Mohamed, A.M.I. Simulation and experimental performance analysis of partially floating PV system in windy conditions. Sol. Energy 2021, 230, 1106–1121. [Google Scholar] [CrossRef]
- Araimi, M.A.; Mandhari, M.A.; Ghosh, A. Comparative analysis of bifacial and monofacial FPV system in the UK. Sol. Compass 2025, 13, 100106. [Google Scholar] [CrossRef]
- Intwala, M.H.; Ghosh, A. Investigation of thermo-electric performance of bifacial and monofacial floating photovoltaics (FPV) system in temperate climate (UK). Sol. Energy 2025, 288, 113245. [Google Scholar] [CrossRef]
- Ma, C.; Wu, R.; Liu, Z.; Li, X. Performance assessment of different photovoltaic module technologies in floating photovoltaic power plants under waters environment. Renew. Energy 2024, 222, 119890. [Google Scholar] [CrossRef]
- Manoj Kumar, N.; Chakraborty, S.; Kumar Yadav, S.; Singh, J.; Chopra, S.S. Advancing simulation tools specific to floating solar photovoltaic systems—Comparative analysis of field-measured and simulated energy performance. Sustain. Energy Technol. Assess. 2022, 52, 102168. [Google Scholar] [CrossRef]
- Suh, J.; Jang, Y.; Choi, Y. Comparison of electric power output observed and estimated from floating photovoltaic systems: A case study on the hapcheon dam, Korea. Sustainability 2020, 12, 276. [Google Scholar] [CrossRef]
- Niyaz, H.M.; Kumar, M.; Gupta, R. Estimation of module temperature for water-based photovoltaic systems. J. Renew. Sustain. Energy 2021, 13, 053705. [Google Scholar] [CrossRef]
- Amiot, B.; Le Berre, R.; Giroux-Julien, S. Evaluation of thermal boundary conditions in floating photovoltaic systems. Prog. Photovolt. Res. Appl. 2023, 31, 251–268. [Google Scholar] [CrossRef]
- Osama, A.; Tina, G.M.; Mannino, G.; Cucuzza, A.V.; Bizzarri, F. Experimental and Numerical Performance Assessment of East-West Bifacial Photovoltaic Floating System in Freshwater Basins. IEEE Access 2024, 12, 141425–141447. [Google Scholar] [CrossRef]
- Osama, A.; Tina, G.M.; Mannino, G.; Cucuzza, A.V.; Canino, A.; Bizzarri, F. Experimental and Simulated Performance Evaluation of Bifacial Photovoltaic Floating System with a Horizontal Single-Axial Tracker. IEEE J. Photovolt. 2025, 15, 484–491. [Google Scholar] [CrossRef]
- Rahaman, M.A.; Chambers, T.L.; Fekih, A.; Wiecheteck, G.; Carranza, G.; Possetti, G.R.C. Floating photovoltaic module temperature estimation: Modeling and comparison. Renew. Energy 2023, 208, 162–180. [Google Scholar] [CrossRef]
- Nicola, M.; Berwind, M. Improving Module Temperature Prediction Models for Floating Photovoltaic Systems: Analytical Insights from Operational Data. Energies 2024, 17, 4289. [Google Scholar] [CrossRef]
- Makhija, A.S.; Bohra, S.S.; Tiwari, V. Investigating the performance of water-mounted solar photo-voltaic systems using different simulation tools. Energy Convers. Manag. 2024, 322. [Google Scholar] [CrossRef]
- Dörenkämper, M.; de Jong, M.M.; Kroon, J.; Nysted, V.S.; Selj, J.; Kjeldstad, T. Modeled and Measured Operating Temperatures of Floating PV Modules: A Comparison. Energies 2023, 16, 7153. [Google Scholar] [CrossRef]
- Willemse, B.; Pretorius, J.; Owen, M.; Rix, A. One-dimensional transient thermal modelling and analysis of pontoon design parameters in floating photovoltaic systems. Sol. Energy 2025, 297, 113604. [Google Scholar] [CrossRef]
- Kaplanis, S.; Kaplani, E.; Kaldellis, J.K. PV Temperature Prediction Incorporating the Effect of Humidity and Cooling Due to Seawater Flow and Evaporation on Modules Simulating Floating PV Conditions. Energies 2023, 16, 4756. [Google Scholar] [CrossRef]
- Wu, R.; Ma, C.; Liu, Z.; Deng, Z.; Zhang, Z. Thermal characteristics evaluation of floating photovoltaic modules based on an improved dynamic coupled thermal-electrical model. Renew. Energy 2025, 248, 123061. [Google Scholar] [CrossRef]
- Elminshawy, N.A.S.; Osama, A.; Naeim, N.; Elbaksawi, O.; Marco Tina, G. Thermal regulation of partially floating photovoltaics for enhanced electricity production: A modeling and experimental analysis. Sustain. Energy Technol. Assess. 2022, 53, 102582. [Google Scholar] [CrossRef]
- Amiot, B.; Pabiou, H.; Le Berre, R.; Giroux–Julien, S. An innovative method for measuring the convective cooling of photovoltaic modules. Sol. Energy 2024, 274, 112531. [Google Scholar] [CrossRef]
- Lindholm, D.; Selj, J.; Kjeldstad, T.; Fjær, H.; Nysted, V. CFD modelling to derive U-values for floating PV technologies with large water footprint. Sol. Energy 2022, 238, 238–247. [Google Scholar] [CrossRef]
- Makhija, A.S.; Tiwari, V.; Bohra, S.S. Evaluating performance-impacting parameters for water-mounted solar PV systems using response surface methodology. Renew. Energy 2025, 244, 122734. [Google Scholar] [CrossRef]
- Nysted, V.S.; Lindholm, D.; Selj, J.; Kjeldstad, T. Floating photovoltaics: Modelled and experimental operating temperatures and the impact of wind speed and direction. EPJ Photovolt. 2024, 15. [Google Scholar] [CrossRef]
- Wu, R.; Ma, C.; Xu, Z.; Deng, Z.; Liu, Z. Heat dissipation effect of the floating photovoltaic for an inland water test site in China. Energy Convers. Manag. 2024, 322, 23. [Google Scholar] [CrossRef]
- Dörenkämper, M.; Villa, S.; Kroon, J.; de Jong, M.M. The Impact of System Sizing and Water Temperature on the Thermal Characteristics of Floating Photovoltaic Systems. Energies 2024, 17, 2027. [Google Scholar] [CrossRef]
- Dörenkämper, M.; Wahed, A.; Kumar, A.; de Jong, M.; Kroon, J.; Reindl, T. The cooling effect of floating PV in two different climate zones: A comparison of field test data from the Netherlands and Singapore. Sol. Energy 2021, 214, 239–247. [Google Scholar] [CrossRef]
- Kjeldstad, T.; Nysted, V.S.; Kumar, M.; Oliveira-Pinto, S.; Otnes, G.; Lindholm, D.; Selj, J. The performance and amphibious operation potential of a new floating photovoltaic technology. Sol. Energy 2022, 239, 242–251. [Google Scholar] [CrossRef]
- Wu, H.; Tseng, C.; Jen, C.; Chiang, Y.; Chen, S. Analysis of the Potential for Enhancing the Efficiency of a Floating Photovoltaic (FPV) System. J. Mar. Sci. Technol. 2024, 32, 181–193. [Google Scholar] [CrossRef]
- Tina, G.M.; Bontempo Scavo, F.; Merlo, L.; Bizzarri, F. Analysis of water environment on the performances of floating photovoltaic plants. Renew. Energy 2021, 175, 281–295. [Google Scholar] [CrossRef]
- Tina, G.M.; Bontempo Scavo, F.; Merlo, L.; Bizzarri, F. Comparative analysis of monofacial and bifacial photovoltaic modules for floating power plants. Appl. Energy 2021, 281, 116084. [Google Scholar] [CrossRef]
- Kjeldstad, T.; Lindholm, D.; Marstein, E.; Selj, J. Cooling of floating photovoltaics and the importance of water temperature. Sol. Energy 2021, 218, 544–551. [Google Scholar] [CrossRef]
- Indartono, Y.S.; Nur, A.M.; Divanto, A.; Adiyani, A. Design and Testing of Thermosiphon Passive Cooling System to Increase Efficiency of Floating Photovoltaic Array. Evergreen 2023, 10, 480–488. [Google Scholar] [CrossRef]
- Sutanto, B.; Indartono, Y.S.; Wijayanta, A.T.; Iacovides, H. Enhancing the performance of floating photovoltaic system by using thermosiphon cooling method: Numerical and experimental analyses. Int. J. Therm. Sci. 2022, 180. [Google Scholar] [CrossRef]
- Lindholm, D.; Kjeldstad, T.; Selj, J.; Marstein, E.S.; Fjær, H.G. Heat loss coefficients computed for floating PV modules. Prog. Photovolt. Res. Appl. 2021, 29, 1262–1273. [Google Scholar] [CrossRef]
- Amrizal, A.; Amrul, A.; Irsyad, M.; Sulthan, M.A. Performance Enhancement of Floating PV/T Collectors through Passive Cooling with Air and Water-Based Cross-Cut Fins. J. Adv. Res. Numer. Heat. Transf. 2025, 35, 101–116. [Google Scholar] [CrossRef]
- Agrawal, K.K.; Jha, S.K.; Mittal, R.K.; Singh, A.P.; Vashishtha, S.; Gupta, S.; Soni, M.K. Predictive Modeling of Solar PV Panel Operating Temperature over Water Bodies: Comparative Performance Analysis with Ground-Mounted Installations. Energies 2024, 17, 3489. [Google Scholar] [CrossRef]
- Tina, G.M.; Osama, A.; Mannino, G.; Gagliano, A.; Cucuzza, A.V.; Bizzarri, F. Thermal comparison of floating bifacial and monofacial photovoltaic modules considering two laying configurations. Appl. Energy 2025, 389, 125732. [Google Scholar] [CrossRef]
- He, Z.; Xu, W.; Sun, Y.; Zhang, X. A GIS-based techno-economic comparative assessment of offshore fixed and floating photovoltaic systems: A case study of Hainan. Appl. Energy 2025, 391, 125854. [Google Scholar] [CrossRef]
- Manolache, A.I.; Andrei, G.; Rusu, L. An Evaluation of the Efficiency of the Floating Solar Panels in the Western Black Sea and the Razim-Sinoe Lagunar System. J. Mar. Sci. Eng. 2023, 11, 203. [Google Scholar] [CrossRef]
- Gao, Y.; Lei, L.; Zhang, M.; Zhao, Z.; Li, J.; Mahmud, M.A.; Liu, Z.; Li, M.; Deng, B.; Chen, D. Boosting floating photovoltaics via cooling methods and reservoir characteristics: Crafting optimal symbiosis with off-river pumped hydro storage. Energy 2024, 312, 133501. [Google Scholar] [CrossRef]
- Avasthi, A.; Garg, R.; Mahajan, P. Comparative Analysis of Bifacial and Monofacial Floating Solar Power Plants: Performance Evaluation and Economic Analysis. Iran. J. Sci. Technol. Trans. Mech. Eng. 2024, 48, 2167–2185. [Google Scholar] [CrossRef]
- Ravichandran, N.; Ravichandran, N.; Panneerselvam, B. Comparative assessment of offshore floating photovoltaic systems using thin film modules for Maldives islands. Sustain. Energy Technol. Assess. 2022, 53, 102490. [Google Scholar] [CrossRef]
- Yakubu, R.O.; Quansah, D.A.; Mensah, L.D.; Ahiataku-Togobo, W.; Acheampong, P.; Adaramola, M.S. Comparison of ground-based and floating solar photovoltaic systems performance based on monofacial and bifacial modules in Ghana. Energy Nexus 2023, 12, 100245. [Google Scholar] [CrossRef]
- Aboshosha, A.; Hamad, H.A. Computer Aided Design and Simulation based development of floating solar resort. Energy 2024, 294, 130862. [Google Scholar] [CrossRef]
- Asgher, N.; Iqbal, T. Design and Simulation of a Floating Solar Photovoltaic System for an Offshore Aquaculture Site in Canada. Jordan. J. Electr. Eng. 2023, 9, 466–480. [Google Scholar] [CrossRef]
- Jamroen, C.; Kotchprapa, P.; Chotchuang, S.; Phoket, R.; Vongkoon, P. Design and performance analysis of a standalone floating photovoltaic/battery energy-powered paddlewheel aerator. Energy Rep. 2023, 9, 539–548. [Google Scholar] [CrossRef]
- Abd Wahab, A.H.; Mustafa, F. Energy Harvesting and Efficiency of Floating Solar Panels. Prog. Eng. Appl. Technol. 2024, 5, 47–54. [Google Scholar]
- Micheli, L. Energy and economic assessment of floating photovoltaics in Spanish reservoirs: Cost competitiveness and the role of temperature. Sol. Energy 2021, 227, 625–634. [Google Scholar] [CrossRef]
- Maraj, A.; Kërtusha, X.; Lushnjari, A. Energy performance evaluation for a floating photovoltaic system located on the reservoir of a hydro power plant under the mediterranean climate conditions during a sunny day and a cloudy-one. Energy Convers. Manage. X 2022, 16, 100275. [Google Scholar] [CrossRef]
- Choi, J.; Hwang, S.; Kim, S. Evaluation of a 3.5-MW floating photovoltaic power generation system on a thermal power plant ash pond. Sustainability 2020, 12, 2298. [Google Scholar] [CrossRef]
- Maia, C.B.; Diniz, A.S.A.C.; Bonfim, S.A.; Kazmerski, L.L. Evaluation of the electrical parameters and performance of floating PV generators. Renew. Energy Environ. Sustain. 2024, 9, 5. [Google Scholar] [CrossRef]
- Karatas, Y.; Yilmaz, D. Experimental investigation of the microclimate effects on floating solar power plant energy efficiency. Clean Technol. Environ. Policy 2021, 23, 2157–2170. [Google Scholar] [CrossRef]
- Cáceres González, R.; Sarmiento-Laurel, C.; Alcayaga, H.; Díaz, A.J.; Pizarro, A.; Crespo Fuentes, J.; Moya Caro, A.; Vásquez Páez, C.; Bustos Olavarría, F.; Boscolo, R.; et al. Exploring climate-driven performance of floating photovoltaic systems: Energy production enhancement and evaporation reduction. Appl. Energy 2025, 386, 125556. [Google Scholar] [CrossRef]
- Ayyad, A.; Golroodbari, S.; van Sark, W. Floating Offshore Photovoltaics across Geographies: An Enhanced Model of Water Cooling. Energies 2024, 17, 1131. [Google Scholar] [CrossRef]
- Kaymak, M.K.; Şahin, A.D. Floating and terrestrial photovoltaic systems comparison under extreme weather conditions. Int. J. Energy Res. 2022, 46, 20719–20727. [Google Scholar] [CrossRef]
- Eyring, N.; Kittner, N. High-resolution electricity generation model demonstrates suitability of high-altitude floating solar power. iScience 2022, 25, 104394. [Google Scholar] [CrossRef] [PubMed]
- Choi, Y.; Rujaya, T.; Jang, Y. Impact of water level variations on floating PV system performance: A case study at Hapcheon Lake, South Korea. Renew. Energy 2025, 242, 122537. [Google Scholar] [CrossRef]
- Irshad, A.S.; Ahmad Ludin, G.; Ludin, S.; Elkholy, M.H.; Elias, S.; Senjyu, T. Integration and performance analysis of optimal large-scale hybrid PV and pump hydro storage system based upon floating PV for practical application. Energy Convers. Manag. X 2024, 22, 100599. [Google Scholar] [CrossRef]
- Cosgun, A.E.; Demir, H. Investigating the Effect of Albedo in Simulation-Based Floating Photovoltaic System: 1 MW Bifacial Floating Photovoltaic System Design. Energies 2024, 17, 959. [Google Scholar] [CrossRef]
- Abdulhadi, Z.A.; Hashim, E.T.; Tolephih, M.H. Investigation of Some Key Factors Impacting Floating Photovoltaic Solar System Performance on Major Iraq Water Bodies. J. Eng. 2025, 31, 63–80. [Google Scholar] [CrossRef]
- Passos, R.d.O.; Seneda, J.A.; Ortiz, N. Mathematical Simulation and Technical Feasibility of Floating Solar Systems Installation in Hydroelectric Power Reservoirs. J. Sustain. Dev. Energy Water Environ. Syst. 2024, 12, 1120483. [Google Scholar] [CrossRef]
- Goh, H.H.; Liang, Q.; Xie, H.; Liang, X.; Zhang, D.; Dai, W.; Kurniawan, T.A.; Wong, S.Y.; Goh, K.C.; Teo, K.T.K. Maximizing eco-energetic and economic synergies: Floating photovoltaic engaged pumped-hydro energy storage for water scarcity alleviation, carbon emission reduction, and cost efficiency. Process Saf. Environ. Prot. 2025, 197, 107082. [Google Scholar] [CrossRef]
- Mehadi, A.A.; Shagor, M.R.K.; Sarder, M.A.I. Optimized seasonal performance analysis and integrated operation of 50MW floating solar photovoltaic system with Kaptai hydroelectric power plant: A case study. Energy Sources Recovery Util. Environ. Eff. 2025, 47, 10183–10207. [Google Scholar] [CrossRef]
- Ilas, M.A.M.; Islam, S.Z. Performance Comparison of Monocrystalline PV Module Using Floating and Non-Floating Method. Evol. Electr. Electron. Eng. 2021, 2, 106–112. [Google Scholar]
- Rahmat, M.B.; Poetro, J.E.; Setiyoko, A.S.; Widodo, H.A.; Asri, P.; Hidayat, E.P.; Indartono, A.; Budiawati, R.; Mudjanarko, S.W. Performance Evaluation of Floating Solar Power Plant in Sidobandung Bojonegoro. SPIRIT Soc. J. Int. J. Soc. Dev. Engagem. 2023, 6, 206–212. [Google Scholar] [CrossRef]
- Ravichandran, N.; Ravichandran, N.; Panneerselvam, B. Performance analysis of a floating photovoltaic covering system in an Indian reservoir. Clean Energy 2021, 5, 208–228. [Google Scholar] [CrossRef]
- Anbarasu, P.; Suresh Kumar, R. Performance analysis of polycrystalline floating photovoltaic array: The concept and prototype development for irrigation purpose. Prog. Photovolt. Res. Appl. 2023, 31, 738–749. [Google Scholar] [CrossRef]
- Getie, E.M.; Jember, Y.B. Potential Assessment and Performance Evaluation of a Floating Solar Photovoltaic on the Great Ethiopian Renaissance Dam. Int. J. Photoenergy 2022, 2022, 1–12. [Google Scholar] [CrossRef]
- Zhou, S.; Cao, S.; Wang, S. Realisation of a coastal zero-emission office building with the support of hybrid ocean thermal, floating photovoltaics, and tidal stream generators. Energy Convers. Manag. 2022, 253, 115135. [Google Scholar] [CrossRef]
- Al Shammary, D.A.; Al Mashhadany, Y.; Algburi, S. Study and Analysis for High Performance of Hybridization Floating Solar Panels Technique with Hydropower. Tisk. J. Eng. Sci. 2025, 32, 1–8. [Google Scholar] [CrossRef]
- Mekonnen, T.; Ramayya, V.; Bhandari, R.; Minaye, E.; Tsegay, S. Techno-economic Comparative Analysis of Floating/On-Ground Solar PV System for Electrification of Gilgel Gibe I Auxiliary Load in Ethiopia. Int. J. Energy Econ. Policy 2024, 14, 218–225. [Google Scholar] [CrossRef]
- Al-Smairan, M.; Khawaldeh, H.A.; Shboul, B.; Almomani, F. Techno-enviro-economic analysis of grid-connected solar powered floating PV water pumping system for farmland applications: A numerical design model. Heliyon 2024, 10, e37888. [Google Scholar] [CrossRef] [PubMed]
- Kaymak, M.K.; Şahin, A.D. The First Design and Application of Floating Photovoltaic (FPV) Energy Generation Systems in Turkey with Structural and Electrical Performance. Int. J. Precis. Eng. Manuf. Green. Technol. 2022, 9, 827–839. [Google Scholar] [CrossRef]
- Dixon, L.; Yeganyan, R.; Tan, N.; Cannone, C.; Howells, M.; Foster, V.; Plazas-Nino, F. The Philippines’ Energy Transition: Assessing Emerging Technology Options Using OSeMOSYS (Open-Source Energy Modelling System). Climate 2025, 13, 14. [Google Scholar] [CrossRef]
- Liu, Y.; Yang, G.; Jiang, C.Q. Uncovering the real social, ecological, and environmental benefits of floating photovoltaics in China through refined irradiance-to-power conversion modeling. Int. J. Green. Energy 2025, 22, 2536–2549. [Google Scholar] [CrossRef]
- Minda, A.A.; Amariei, O.; Negrea, D.; Lolea, M.; Cincar, K.; Susa, M. Possibilities of Increasing The Energy Performance of Hydroelectric Plants from Bihor County by Integrating the Floating Photovoltaic Panels. Annals of the “Constantin Brancusi” University of Targu Jiu, Engineering Series, No. 3/2024. Available online: https://www.utgjiu.ro/rev_ing/pdf/2024-3/12_Minda%20Andrea%20Amalia.pdf (accessed on 22 August 2025).
- Razak, A.R.A.; Nor, A.F.M. A Floating Photovoltaic Power Output Prediction by Using Adaptive Neuro-Fuzzy Inference System. Evol. Electr. Electron. Eng. 2022, 3, 591–601. [Google Scholar]
- Zayed, M.E.; Rehman, S.; Elgendy, I.A.; Al-Shaikhi, A.; Mohandes, M.A.; Irshad, K.; Abdelrazik, A.S.; Alam, M.A. Benchmarking reinforcement learning and prototyping development of floating solar power system: Experimental study and LSTM modeling combined with brown-bear optimization algorithm. Energy Convers. Manag. 2025, 332, 119696. [Google Scholar] [CrossRef]
- Sulaiman, M.H.; Mustaffa, Z.; Jadin, M.S.; Saari, M.M. Hierarchical power output prediction for floating photovoltaic systems. Energy 2025, 323, 135883. [Google Scholar] [CrossRef]
- Khortsriwong, N.; Boonraksa, P.; Boonraksa, T.; Fangsuwannarak, T.; Boonsrirat, A.; Pinthurat, W.; Marungsri, B. Performance of Deep Learning Techniques for Forecasting PV Power Generation: A Case Study on a 1.5 MWp Floating PV Power Plant. Energies 2023, 16, 2119. [Google Scholar] [CrossRef]
- Huang, Z.; Zhu, R.; You, L. Unravelling the effects of dynamic urban thermal environment on utility-scale floating photovoltaic electricity generation. Sustain. Cities Soc. 2023, 99, 104964. [Google Scholar] [CrossRef]
- Van Eck, N.J.; Waltman, L. VOSviewer—Visualizing Scientific Landscapes. 2025. Available online: https://www.vosviewer.com/ (accessed on 14 August 2025).
- Saxena, A.; Brown, C.; Arneth, A.; Rounsevell, M. Advanced photovoltaic technology can reduce land requirements and climate impact on energy generation. Commun. Earth Environ. 2024, 5, 586. [Google Scholar] [CrossRef]
- Dupré, O.; Vaillon, R.; Green, M.A. Physics of the temperature coefficients of solar cells. Sol. Energy Mater. Sol. Cells 2015, 140, 92–100. [Google Scholar] [CrossRef]
- DNV DNV-RP-0584 Design, Development and Operation of Floating Solar Photovoltaic Systems 2021. Available online: https://www.dnv.com/energy/standards-guidelines/dnv-rp-0584-design-development-and-operation-of-floating-solar-photovoltaic-systems/ (accessed on 21 July 2025).


















| Item | Description |
|---|---|
| Background (Rationale) |
|
| Research Questions |
|
| Search Strategy |
|
| Selection Criteria |
|
| Q.A. Procedures |
|
| Data Extraction Strategy |
|
| Synthesis |
|
| Timeline/Timeframe |
|
| Database | Query | Records | Date |
|---|---|---|---|
| Scopus | TITLE (“FLOATOVOLTAIC” OR “FLOATOVOLTAICS” OR “FLOATING SOLAR” OR “FLOATING PHOTOVOLTAIC” OR “FLOATING PHOTOVOLTAICS” OR “PHOTOVOLTAIC FLOATING” OR “FLOATING PV”) OR KEY (“FLOATOVOLTAIC” OR “FLOATOVOLTAICS” OR “FLOATING SOLAR” OR “FLOATING PHOTOVOLTAIC” OR “FLOATING PHOTOVOLTAICS” OR “PHOTOVOLTAIC FLOATING” OR “FLOATING PV”) | 1183 | 30 May 2025 |
| Google Scholar 1 | FLOATOVOLTAIC OR FLOATOVOLTAICS OR “FLOATING SOLAR” OR “FLOATING PHOTOVOLTAIC” OR “FLOATING PHOTOVOLTAICS” OR “PHOTOVOLTAIC FLOATING” OR “FLOATING PV” | 1632 | 30 May 2025 |
| Web of Science | ((((((TI = (“FLOATOVOLTAIC”)) OR TI = (“FLOATOVOLTAICS”)) OR TI = (“FLOATING SOLAR”)) OR TI = (“FLOATING PHOTOVOLTAIC”)) OR TI = (“FLOATING PHOTOVOLTAICS”)) OR TI = (“PHOTOVOLTAIC FLOATING”)) OR TI = (“FLOATING PV”) OR ((((((AK = (“FLOATOVOLTAIC”)) OR AK = (“FLOATOVOLTAICS”)) OR AK = (“FLOATING SOLAR”)) OR AK = (“FLOATING PHOTOVOLTAIC”)) OR AK = (“FLOATING PHOTOVOLTAICS”)) OR AK = (“PHOTOVOLTAIC FLOATING”)) OR AK = (“FLOATING PV”) OR ((((((KP = (“FLOATOVOLTAIC”)) OR KP = (“FLOATOVOLTAICS”)) OR KP = (“FLOATING SOLAR”)) OR KP = (“FLOATING PHOTOVOLTAIC”)) OR KP = (“FLOATING PHOTOVOLTAICS”)) OR KP = (“PHOTOVOLTAIC FLOATING”)) OR KP = (“FLOATING PV”) | 936 | 30 May 2025 |
| TOTAL | 3751 |
| Record Type | Non-English | Pre-2020 | Repository Papers | Preprints | Review Papers | Book Chapters | Conference Papers | Chapters | Grants | Total |
|---|---|---|---|---|---|---|---|---|---|---|
| n | 32 | 318 | 54 | 26 | 79 | 38 | 365 | 14 | 17 | 943 |
| Group | Criteria |
|---|---|
| A | C1: Temperature-dependent FPV Performance C2: FPV heat-transfer systems |
| B | C3: Determine FPV characteristics C4: Compare FPV and GPV characteristics C5: Develop modelling and simulation methods C6: Validate modelling and simulation methods |
| Study Area (A) | Study Focus (F) | Study Method (M) | Category (C) * |
|---|---|---|---|
| A1: Temperature-dependent FPV performance | F3: Determine FPV characteristics | M1: Experimentation | CC_Exp |
| A2: FPV heat-transfer systems | F4: Compare FPV and GPV characteristics | M2: Modelling/simulation | CC_Mod |
| F5: Develop modelling and simulation methods | FPV_Exp | ||
| F6: Validate modelling and simulation methods | FPV_Modval | ||
| CT | |||
| U-values | |||
| FC_Study |
| Category (C) | Variables | Data Items * |
|---|---|---|
| CC_Exp | Observed cooling effect | ∆TF_G, ∆P, ∆η |
| CC_Mod | Observed cooling effect | ∆TF_G, ∆P, ∆η |
| FPV_Exp | FPV performance characterisation | TFPV, TA, TW, G, Vw |
| FPV_Modval | Model accuracy | RMSE, MAE |
| CT | Observed cooling effect | ∆TC_R |
| U-values | Heat loss coefficient | U, Uc, Uv |
| Ref | C1 | C2 | C3a | C3b | C4a | C4b | C5 | C6 | Datasheet |
|---|---|---|---|---|---|---|---|---|---|
| Lee [66] | X | - | - | - | X | - | - | - | CC_Exp |
| Jeong et al. [67] | X | - | - | - | X | - | - | - | CC_Exp |
| Mandavi and Tiwari [68] | X | - | - | - | X | - | - | - | CC_Exp |
| Shukla et al. [69] | X | - | - | - | X | - | - | - | CC_Exp |
| Dzamesi et al. [70] | X | - | - | - | X | - | - | - | CC_Exp |
| Rehman et al. [71] | X | - | - | - | X | - | - | - | CC_Exp |
| Peters and Nobre [72] | X | - | - | - | X | - | - | - | CC_Exp |
| Refaai et al. [73] | X | - | - | - | X | - | - | - | CC_Exp |
| Kumar and Kumar [74] | X | - | - | - | X | - | - | - | CC_Exp |
| Majumder et al. [75] | X | - | - | - | X | - | - | - | CC_Exp |
| Elminshawy et al. [76] | X | - | - | - | X | - | - | - | CC_Exp |
| Nisar et al. [77] | X | - | - | - | X | - | - | - | CC_Exp |
| Ramanan et al. [78] | X | - | - | - | X | - | - | - | CC_Exp |
| Elminshawy et al. [79] | X | - | - | - | X | - | - | - | CC_Exp |
| Anusuya and Vijayakumar [80] | X | - | - | - | - | X | - | - | CC_Mod |
| Sukarso and Kim [81] | X | - | - | - | - | X | - | - | CC_Mod |
| Ramanan et al. [82] | X | - | - | - | - | X | - | - | CC_Mod |
| Tina and Bontempo Scavo [83] | X | - | - | X | - | X | - | - | CC_Mod |
| Kichou et al. [84] | X | - | - | - | - | X | - | - | CC_Mod |
| Karami and Khameneh [85] | X | - | - | - | - | X | - | - | CC_Mod |
| Semeskandeh et al. [86] | X | - | - | - | - | X | - | - | CC_Mod |
| Silva et al. [87] | X | - | - | - | - | X | - | - | CC_Mod |
| Sheikh et al. [88] | X | - | - | X | - | - | X | - | CT |
| Elminshawy, N et al. [89] | X | - | X | - | - | - | - | - | CT |
| Elminshawy, N et al. [90] | X | - | X | - | - | - | - | - | CT |
| Sazali et al. [91] | X | - | X | - | - | - | - | - | CT |
| Sutanto et al. [92] | X | - | X | - | - | - | - | - | CT |
| Elminshawy, N et al. [93] | X | - | X | - | - | - | - | - | CT |
| Amin and Kocher [94] | X | - | - | - | - | X | - | - | CT |
| Elminshawy, N et al. [95] | X | - | X | - | - | - | - | - | CT |
| Araimi et al. [96] | X | - | X | - | - | - | - | - | FPV_Exp |
| Intwala and Ghosh [97] | X | - | X | - | - | - | - | - | FPV_Exp |
| Ma et al. [98] | X | - | X | - | - | - | - | - | FPV_Exp |
| Manoj Kumar et al. [99] | X | - | X | X | - | - | - | X | FPV_ModVal |
| Suh et al. [100] | X | - | X | X | - | - | - | X | FPV_ModVal |
| Niyaz et al. [101] | - | X | X | X | - | - | X | X | FPV_ModVal |
| Amiot et al. [102] | - | X | X | X | - | - | X | X | FPV_ModVal |
| Osama et al. [103] | X | - | X | X | - | - | - | X | FPV_ModVal |
| Osama et al. [104] | X | - | X | X | - | - | - | X | FPV_ModVal |
| Rahaman et al. [105] | X | X | X | X | - | - | X | X | FPV_ModVal |
| Nicola and Berwind [106] | - | X | X | X | - | - | - | X | FPV_ModVal |
| Makhija et al. [107] | X | - | X | X | - | - | - | X | FPV_ModVal |
| Dörenkämper et al. [108] | - | X | X | X | - | - | - | X | FPV_ModVal |
| Willemse et al. [109] | - | X | X | X | - | - | X | X | FPV_ModVal |
| Kaplanis et al. [110] | X | X | X | X | - | - | X | X | FPV_ModVal |
| Wu, R et al. [111] | X | X | X | X | - | - | X | X | FPV_ModVal |
| Elminshawy, N et al. [112] | X | - | X | X | - | - | - | X | FPV_ModVal |
| Amiot et al. [113] | - | X | X | X | - | - | X | X | U-values |
| Lindholm et al. [114] | - | X | - | X | - | - | - | - | U-values |
| Makhija et al. [115] | - | X | X | X | - | - | X | - | U-values |
| Nysted et al. [116] | - | X | X | X | - | - | X | X | U-values |
| Wu, R et al. [117] | - | X | X | - | - | - | - | - | U-values |
| Dörenkämper et al. [118] | - | X | X | - | - | - | - | - | U-values |
| Dörenkämper et al. [119] | - | X | X | - | - | - | - | - | U-values |
| Kjeldstad et al. [120] | - | X | X | - | - | - | - | - | U-values |
| Wu, H et al. [121] | X | X | X | X | X | - | X | X | Mixed (CC_Exp, CT, and FPV_Modval) |
| Tina and Bontempo Scavo [122] | X | X | X | X | X | X | X | X | Mixed (FPV_Modval, CC_Mod, and CT) |
| Tina et al. [123] | X | X | X | X | - | - | - | X | Mixed (U-Values, FPV_ModVal) |
| Kjeldstad et al. [124] | X | X | X | X | - | - | - | X | Mixed (FPV_Exp, U-Values/FPV_ModVal) |
| Indartono et al. [125] | X | - | X | - | X | - | - | - | Mixed (CT, CC_Exp) |
| Sutanto et al. [126] | X | - | X | - | X | - | - | - | Mixed (CT, CC_Exp) |
| Lindholm et al. [127] | - | X | X | X | - | - | X | X | Mixed (U-Values/FPV_ModVal) |
| Amrizal et al. [128] | X | - | - | X | - | X | - | - | Mixed (CC_Mod and CT) |
| Agrawal et al. [129] | X | - | X | X | X | - | - | X | Mixed (CC_Exp and FPV_ModVal) |
| Tina et al. [130] | X | - | X | X | - | - | - | X | Mixed (FPV_Exp, FPV_ModVal) |
| He et al. [131] | - | - | - | X | - | - | - | - | FC_Study |
| Manolache et al. [132] | - | - | - | X | - | - | - | - | FC_Study |
| Gao et al. [133] | X | - | - | X | - | X | - | - | FC_Study |
| Avasthi et al. [134] | - | - | - | X | - | - | - | - | FC_Study |
| Ravichandran et al. [135] | X | - | - | X | - | X | - | - | FC_Study |
| Yakubu et al. [136] | - | - | - | - | X | X | - | - | FC_Study |
| Aboshosha and Hamad [137] | - | - | - | X | - | - | - | - | FC_Study |
| Asgher and Iqbal [138] | - | - | - | X | - | - | - | - | FC_Study |
| Jamroen et al. [139] | - | - | X | - | - | - | - | - | FC_Study |
| Abd.Wahab and Mustafa [140] | - | - | - | - | - | X | - | - | FC_Study |
| Micheli [141] | X | - | - | X | - | - | - | - | FC_Study |
| Maraj et al. [142] | - | - | X | - | - | - | - | - | FC_Study |
| Choi et al. [143] | - | - | X | - | - | - | - | - | FC_Study |
| Maia et al. [144] | X | - | - | - | - | - | X | - | FC_Study |
| Karatas and Yilmaz [145] | - | - | X | - | - | - | - | - | FC_Study |
| Cáceres González et al. [146] | X | - | - | - | - | X | - | - | FC_Study |
| Ayyad et al. [147] | X | - | - | - | - | X | - | - | FC_Study |
| Kaymak and Şahin [148] | X | - | X | - | X | - | - | - | FC_Study |
| Eyring and Kittner [149] | - | - | - | X | - | - | - | - | FC_Study |
| Choi et al. [150] | - | - | - | X | - | - | - | - | FC_Study |
| Irshad et al. [151] | - | - | - | X | - | - | - | - | FC_Study |
| Cosgun and Demir [152] | - | - | - | X | - | - | - | - | FC_Study |
| Abdulhadi et al. [153] | X | - | - | - | - | X | - | - | FC_Study |
| Passos et al. [154] | - | - | - | X | - | - | - | - | FC_Study |
| Goh et al. [155] | - | - | - | X | - | - | - | - | FC_Study |
| Mehadi et al. [156] | - | - | - | X | - | - | - | - | FC_Study |
| Ilas and Islam [157] | - | - | X | - | - | - | - | - | FC_Study |
| Rahmat et al. [158] | - | - | X | - | - | - | - | - | FC_Study |
| Ravichandran et al. [159] | - | - | - | X | - | - | - | - | FC_Study |
| Anbarasu and Suresh [160] | - | - | X | - | - | - | - | - | FC_Study |
| Getie and Jember [161] | - | - | - | X | - | - | - | - | FC_Study |
| Zhou et al. [162] | - | - | - | X | - | - | - | - | FC_Study |
| Al Shammary et al. [163] | - | - | X | - | - | - | - | - | FC_Study |
| Mekonnen et al. [164] | - | - | - | - | - | X | - | - | FC_Study |
| Al-Smairan et al. [165] | - | - | - | - | - | X | - | - | FC_Study |
| Kaymak and Şahin [166] | - | - | X | - | X | - | - | - | FC_Study |
| Dixon et al. [167] | - | - | - | X | - | - | - | - | FC_Study |
| Liu et al. [168] | - | - | - | X | - | - | X | - | FC_Study |
| Minda et al. [169] | - | - | - | X | - | - | - | - | FC_Study |
| Razak and Nor [170] | X | - | - | X | - | - | - | - | FC_Study |
| Zayed et al. [171] | X | - | - | X | - | - | - | - | FC_Study |
| Sulaiman et al. [172] | X | - | - | X | - | - | - | - | FC_Study |
| Khortsriwong et al. [173] | X | - | - | X | - | - | - | - | FC_Study |
| Huang et al. [174] | X | - | - | X | - | - | - | - | FC_Study |
| Study Location (Continent) | Scale of Study | Study Type | Temp. Modelling Method | Findings |
|---|---|---|---|---|
| AF = Africa | <1 MW | TEA = Technoeconomic Assessment | Open-ended (Faiman, Kamuyu, etc.) | Open-ended |
| AS = Asia | 1 MW–50 MW | GPE = General Performance Evaluation | ||
| EU = Europe | >50 MW | INT = FPV Integration | ||
| GL = Global | NL = National Scale | |||
| NA = North America | GL = Global Scale | |||
| SA = South America |
| Ref. | Continent | Scale | Type | Temp. Modelling Method | Findings |
|---|---|---|---|---|---|
| [131] | AS | 1 MW–50 MW | TEA | PVSyst (Faiman) | The fixed pile-based system outperformed the FPV system |
| [132] | EU | <1 MW | GPE | Nil | Good Generation Potential |
| [133] | AS | >50 MW | INT | Kamuyu, Hayibo | Integration is feasible; Water-cooling is more effective than air-cooling |
| [134] | AS | 1 MW–50 MW | TEA | Nil | Bifacials outperformed monofacials |
| [135] | AS | 1 MW–50 MW | TEA | Helioscope | Thin-film outperforms GPVs and Pontoon-based FPVs |
| [136] | AF | 1 MW–50 MW | GPE | SAM (Sandia) | Bifacials outperformed better than monofacials |
| [137] | AF | >50 MW | TEA | PVSyst (Faiman) | Good Generation Potential |
| [138] | NA | <1 MW | TEA | HOMER PRO (D&B) | FPV was economically superior to the diesel system |
| [139] | AS | <1 MW | TEA | Exp | Good Performance |
| [140] | AS | <1 MW | GPE | Exp | GPV outperformed FPV |
| [141] | EU | National Scale | TEA | Kamuyu | Economic Viability |
| [142] | EU | <1 MW | GPE | Exp | Good Performance |
| [143] | AS | 1 MW–50 MW | GPE | Nil | Good performance; High safety/structural strength |
| [144] | SA | 1 MW–50 MW | GPE | Energy balance model | Good Performance |
| [145] | EU | <1 MW | GPE | Nil | Irradiance was significant in determining output |
| [146] | SA | National Scale | GPE | Kamuyu | Good Generation Potential |
| [147] | GL | Global | GPE | Multi-layer | Good Generation Potential |
| [148] | EU | <1 MW | GPE | Exp | Similar FPV and GPV performance |
| [149] | EU | National Scale | TEA | Nil | Technical Feasibility; Economic Viability |
| [150] | AS | 1 MW–50 MW | GPE | Menicucci | An increase in water level leads to shading reduction and power increase |
| [151] | AS | National Scale | INT | Cheng | Integration is feasible |
| [152] | EU | 1 MW–50 MW | TEA | PVSyst (Faiman) | Bifacials outperformed better than monofacials |
| [153] | AS | National Scale | GPE | Standard | Good Generation Potential |
| [154] | SA | >50 MW | INT | PVSyst (Faiman) | Integration is Feasible; Good economic performance and environmental impact |
| [155] | AS | National Scale | INT | Nil | Integration is Feasible; Good economic performance and environmental impact |
| [156] | AS | 1 MW–50 MW | INT | PVSyst (Faiman) | Integration is Feasible |
| [157] | AS | <1 MW | GPE | Exp | FPV outperformed GPV system |
| [158] | AS | <1 MW | GPE | Exp | Good Performance |
| [159] | AS | <1 MW | INT | Sandia model | Integration is Feasible; Good economic performance |
| [160] | AS | <1 MW | TEA | Nil | FPV outperformed GPV system |
| [161] | AF | 1 MW–50 MW | TEA | PVSyst (Faiman) | Good Generation Potential |
| [162] | AS | 1 MW–50 MW | INT | TRNSYS | Good Generation Potential |
| [163] | AS | 1 MW–50 MW | GPE | HOMER PRO (D&B) | Integration is Feasible; Good environmental impact |
| [164] | AF | 1 MW–50 MW | TEA | Triyana | FPV outperformed GPV system |
| [165] | AS | <1 MW | TEA | PVSyst (Faiman) | FPV outperformed GPV system |
| [166] | EU | <1 MW | GPE | Exp | Similar FPV and GPV performance |
| [167] | AS | National Scale | TEA | Nil | Good Generation Potential |
| [168] | AS | National Scale | GPE | Sandia model | Good Generation Potential |
| [169] | EU | 1 MW–50 MW | INT | PVGIS | Integration is Feasible |
| S/N | nr * | np * | Model equation | R2 | MAE | MSE | RMSE | MAPE ** |
|---|---|---|---|---|---|---|---|---|
| A | 4 | 16 | TFPV = 1.2234 ∙ TW + 11.2679 | 0.3569 | 7.1358 | 64.5303 | 8.0331 | 18.3378 |
| B | 4 | 16 | TFPV = 1.4560 ∙ TW + 0.0216 ∙ G − 7.0910 | 0.5613 | 5.8503 | 44.0151 | 6.6344 | 14.9731 |
| C | 4 | 16 | TFPV = 1.4127 ∙ TA + 1.3551 | 0.7184 | 4.3743 | 28.2585 | 5.3159 | 12.0812 |
| D | 4 | 16 | TFPV = 1.6672 ∙ TA − 0.3957 ∙ TW + 3.7794 | 0.7324 | 4.0812 | 26.8527 | 5.1820 | 11.9773 |
| E | 3 | 8 | TFPV = 2.4433 ∙ TW + 6.6274 ∙ Vw − 20.2014 | 0.7843 | 4.3359 | 32.9569 | 5.7408 | 10.3714 |
| F | 4 | 16 | TFPV = 1.4971 ∙ TA + 0.0187 ∙ G − 12.0936 | 0.8800 | 3.0158 | 12.0382 | 3.4696 | 8.9764 |
| G | 4 | 16 | TFPV = 1.5473 ∙ TA − 0.0799 ∙ TW + 0.0185 ∙ G − 11.4134 | 0.8806 | 2.9643 | 11.9841 | 3.4618 | 8.9704 |
| H | 3 | 8 | TFPV = 1.9824 ∙ TA + 5.3291 ∙ Vw − 22.4768 | 0.9010 | 2.9953 | 15.1236 | 3.8889 | 7.4056 |
| I | 3 | 8 | TFPV = 2.8688 ∙ TW + 0.0376 ∙ G − 3.2419 ∙ Vw − 39.6515 | 0.9290 | 2.8070 | 10.8542 | 3.2946 | 8.3971 |
| J | 3 | 8 | TFPV = 4.9411 ∙ TA − 4.0251∙ TW + 2.9896 ∙ Vw − 16.8384 | 0.9703 | 1.9365 | 4.5323 | 2.1289 | 5.3822 |
| K | 3 | 8 | TFPV = 2.1393 ∙ TA + 0.0274 ∙ G − 2.0688 ∙ Vw − 34.0268 | 0.9833 | 1.3677 | 2.5536 | 1.5980 | 3.9254 |
| L | 3 | 8 | TFPV = 3.6362 ∙ TA − 2.1006 ∙ TW + 0.0191 ∙ G − 1.0659 ∙ Vw − 27.6122 | 0.9947 | 0.8298 | 0.8049 | 0.8972 | 1.9069 |
Disclaimer/Publisher’s Note: The statements, opinions and data contained in all publications are solely those of the individual author(s) and contributor(s) and not of MDPI and/or the editor(s). MDPI and/or the editor(s) disclaim responsibility for any injury to people or property resulting from any ideas, methods, instructions or products referred to in the content. |
© 2025 by the authors. Licensee MDPI, Basel, Switzerland. This article is an open access article distributed under the terms and conditions of the Creative Commons Attribution (CC BY) license (https://creativecommons.org/licenses/by/4.0/).
Share and Cite
Lawale, O.; Philbin, S.P.; Hosouli, S. Modelling, Simulation and Performance Analysis of Floating Photovoltaic Systems—A Systematic Review and Meta-Analysis. Energies 2025, 18, 5273. https://doi.org/10.3390/en18195273
Lawale O, Philbin SP, Hosouli S. Modelling, Simulation and Performance Analysis of Floating Photovoltaic Systems—A Systematic Review and Meta-Analysis. Energies. 2025; 18(19):5273. https://doi.org/10.3390/en18195273
Chicago/Turabian StyleLawale, Oreoluwa, Simon P. Philbin, and Sahand Hosouli. 2025. "Modelling, Simulation and Performance Analysis of Floating Photovoltaic Systems—A Systematic Review and Meta-Analysis" Energies 18, no. 19: 5273. https://doi.org/10.3390/en18195273
APA StyleLawale, O., Philbin, S. P., & Hosouli, S. (2025). Modelling, Simulation and Performance Analysis of Floating Photovoltaic Systems—A Systematic Review and Meta-Analysis. Energies, 18(19), 5273. https://doi.org/10.3390/en18195273

