Development and Hydrodynamic Performance of an Oscillating Buoy-Type Wave Energy Converter
Abstract
1. Introduction
2. WEC Hydrodynamics
2.1. Hydrodynamic Efficiency Parameters
2.2. WEC Device Characterization
2.3. Scaling Principles and Limitations
3. Experimental Methodology and Test Setup
3.1. Instrumentation
3.2. General Arrangement and Tests Performed
3.3. Numerical Model
3.3.1. Numerical Simulation Configuration
3.3.2. Computational Accuracy and Meshing
3.3.3. Boundary Conditions
3.3.4. Generation and Absorption of Numerical Waves
3.3.5. Model Stability
3.3.6. Modelling Scenarios
3.4. Natural Period WEC
4. Results and Discussion
4.1. Hydrodynamic Efficiency of the WEC
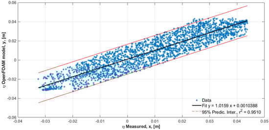
4.2. OpenFOAM Model Validation
4.2.1. Comparison of Numerical and Experimental Water Free Surface
4.2.2. Comparison of Numerical and Experimental Velocity
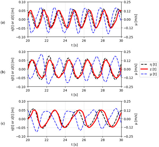
4.3. Elevation Movement of the Buoy
4.4. Wave Period Analysis
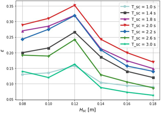
4.5. Wave Height Analysis
4.6. Effect of the Capture Width Ratio and Buoy Diameter
5. Conclusions
Supplementary Materials
Author Contributions
Funding
Data Availability Statement
Acknowledgments
Conflicts of Interest
Appendix A. Mesh Convergence Analysis
| Configuration | Discretization Level ΔX | RMSE | R2 | Bias | Willmott | ||
|---|---|---|---|---|---|---|---|
| Coarse | Medium | Fine | |||||
| C1 (mm) | 350 | 150 | 50 | 0.016 | 0.890 | 0.150 | 0.850 | 
| C2 (mm) | 200 | 100 | 35 | 0.012 | 0.940 | 0.09 | 0.890 | 
| C3 (mm) | 150 | 70 | 20 | 0.005 | 0.990 | 0.01 | 0.990 | 
| C4 (mm) | 100 | 50 | 10 | 0.004 | 0.992 | 0.009 | 0.991 | 
Appendix B. Hydrodynamic Efficiency vs. Wave Height



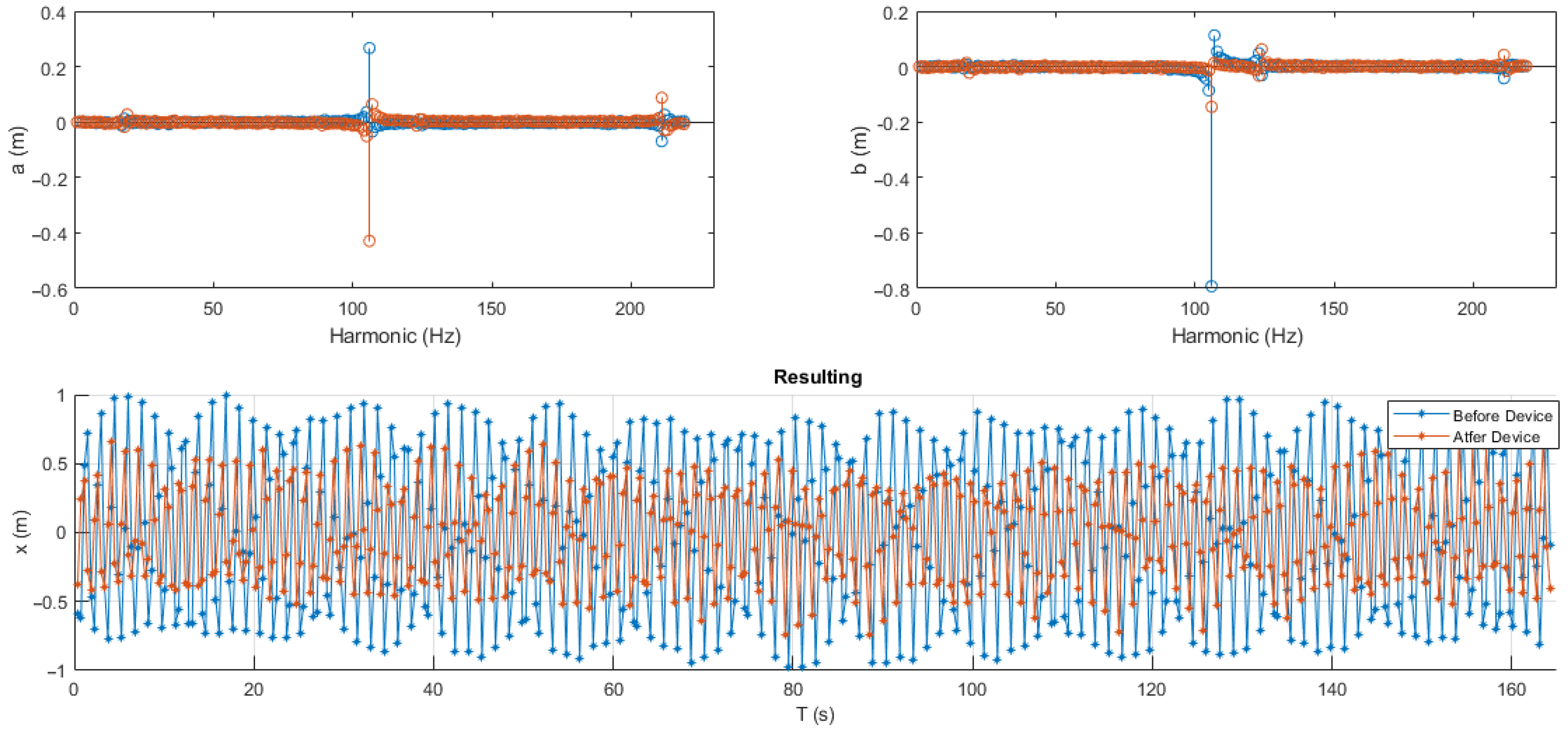
Appendix C. Spectral Coherence

References
- Friedemann, A.J. Grow More Biomass: Where Is the Land? BMC: Houston, TX, USA, 2021; Volume 81. [Google Scholar] [CrossRef]
 - International Energy Agency. Global Coal Demand Is Set to Return to its All-Time High in 2022. Available online: https://www.iea.org/news/global-coal-demand-is-set-to-return-to-its-all-time-high-in-2022 (accessed on 28 July 2023).
 - Masson-Delmotte, V.; Zhai, P.; Pirani, A.; Connors, S.L.; Péan, C.; Berger, S.; Caud, N.; Chen, Y.; Goldfarb, L.; Gomis, M.I.; et al. Climate Change 2021: The Physical Science Basis; Contribution of Working Group I to the Sixth Assessment Report of the Intergovernmental Panel on Climate Change, Intergovernmental Panel on Climate Change—IPCC: Geneva, Switzerland, 2023. [Google Scholar] [CrossRef]
 - Rivillas-Ospina, G.; Casas, D.; Maza-Chamorro, M.A.; Bolívar, M.; Ruiz, G.; Guerrero, R.; Horrillo-Caraballo, J.M.; Guerrero, M.; Díaz, K.; del Rio, R.; et al. APPMAR 1.0: A Python application for downloading and analyzing of WAVEWATCH III® wave and wind data. Comput. Geosci. 2022, 162, 105098. [Google Scholar] [CrossRef]
 - Lehmann, M.; Karimpour, F.; Goudey, C.A.; Jacobson, P.T.; Alam, M.R. Ocean wave energy in the United States: Current status and future perspectives. Renew. Sustain. Energy Rev. 2017, 74, 1300–1313. [Google Scholar] [CrossRef]
 - Ripple, W.J.; Wolf, C.; Newsome, T.M.; Barnard, P.; Moomaw, W.R. World Scientists’ Warning of a Climate Emergency. Bioscience 2020, 70, 8–12. Available online: https://hal.archives-ouvertes.fr/hal-02397151/document (accessed on 30 July 2023). [CrossRef]
 - Farrok, O.; Ahmed, K.; Tahlil, A.D.; Farah, M.M.; Kiran, M.R.; Islam, R. Electrical power generation from the oceanic wave for sustainable advancement in renewable energy technologies. Sustainability 2020, 12, 2178. [Google Scholar] [CrossRef]
 - Kamranzad, G.L. Assessment of wave power stability and classification with two global datasets. Int. J. Sustain. Energy 2021, 40, 514–529. [Google Scholar] [CrossRef]
 - Reguero, B.G.; Losada, I.J.; Mendez, F.J. A global wave power resource and its seasonal, interannual and long-term variability. Appl. Energy 2015, 148, 366–380. [Google Scholar] [CrossRef]
 - Gunn, K.; Stock-Williams, C. Quantifying the global wave power resource. Renew. Energy 2012, 44, 296–304. [Google Scholar] [CrossRef]
 - Henriques, J.; Gato, L.; Falcão, A.; Robles, E.; Faÿ, F.X. Latching control of a floating oscillating-water-column wave energy converter. Renew. Energy 2016, 90, 229–241. [Google Scholar] [CrossRef]
 - Scuotto, H.P. Power Systems; Springer: Cham, Switzerland, 2018; pp. 1–15. [Google Scholar] [CrossRef]
 - Sosa, C.; Mariño-Tapia, I.; Silva, R.; Patiño, R. Numerical Performance of a Buoy-Type Wave Energy Converter with Regular Short Waves. Appl. Sci. 2023, 13, 5182. [Google Scholar] [CrossRef]
 - Alam, M.R. Shape optimization of wave energy converters for broadband directional incident waves. Ocean Eng. 2019, 174, 186–200. [Google Scholar] [CrossRef]
 - Forehand, D.I. A review of geometry optimisation of wave energy converters. Renew. Sustain. Energy Rev. 2021, 139, 110593. [Google Scholar] [CrossRef]
 - Zang, Z.; Zhang, Q.; Qi, Y.; Fu, X. Hydrodynamic responses and efficiency analyses of a heaving-buoy wave energy converter with PTO damping in regular and irregular waves. Renew. Energy 2018, 116, 527–542. [Google Scholar] [CrossRef]
 - Margheritini, L.; Vicinanza, D.; Frigaard, P. SSG wave energy converter: Design, reliability and hydraulic performance of an innovative overtopping device. Renew. Energy 2009, 34, 1371–1380. [Google Scholar] [CrossRef]
 - Lopes, M.; Hals, J.; Gomes, R.; Moan, T.; Gato, L.; Falcão, A.O. Experimental and numerical investigation of non-predictive phase-control strategies for a point-absorbing wave energy converter. Ocean Eng. 2009, 36, 386–402. [Google Scholar] [CrossRef]
 - Son, D.; Belissen, V.; Yeung, R.W. Performance validation and optimization of a dual coaxial-cylinder ocean-wave energy extractor. Renew. Energy 2016, 92, 192–201. [Google Scholar] [CrossRef]
 - Li, Y.W.; Ren, N.X.; Cai, W.Y.; Liu, Y.Q.; Ou, J.P. Experimental Investigation of the Hydrodynamic Characteristics of A Modular Floating Structure System Integrated with WEC-Type Floating Artificial Reefs. China Ocean Eng. 2025, 38, 1082–1090. [Google Scholar] [CrossRef]
 - Zhou, B.Z.; Wang, Y.; Zhang, H.M.; Jin, P.; Wang, L.; Zhou, Z.M. Wave Extraction and Attenuation Performance of A Hybrid System of An Edinburgh Duck WEC and A Floating Breakwater. China Ocean Eng. 2022, 36, 167–178. [Google Scholar] [CrossRef]
 - Liang, H.; Qiao, D.; Wang, X.; Zhi, G.; Yan, J.; Ning, D.; Ou, J. Energy capture optimization of heave oscillating buoy wave energy converter based on model predictive control. Ocean Eng. 2022, 268, 113402. [Google Scholar] [CrossRef]
 - Kurniawan, J.F. Ocean Waves and Oscillating Systems: Linear Interactions Including Wave-Energy Extraction; Cambridge University Press: Cambridge, UK, 2020. [Google Scholar]
 - Zhao, C.; Cao, F.; Shi, H. Optimisation of heaving buoy wave energy converter using a combined numerical model. Appl. Ocean Res. 2020, 102, 102208. [Google Scholar] [CrossRef]
 - Ransley, E.; Greaves, D.; Raby, A.; Simmonds, D.; Jakobsen, M.; Kramer, M. RANS-VOF modelling of the Wavestar point absorber. Renew. Energy 2017, 109, 49–65. [Google Scholar] [CrossRef]
 - Windt, C.; Davidson, J.; Ransley, E.J.; Greaves, D.; Jakobsen, M.; Kramer, M.; Ringwood, J.V. Validation of a CFD-based numerical wave tank model for the power production assessment of the wavestar ocean wave energy converter. Renew. Energy 2020, 146, 2499–2516. [Google Scholar] [CrossRef]
 - Windt, C.; Davidson, J.; Chandar, D.D.J.; Faedo, N.; Ringwood, J.V. Evaluation of the overset grid method for control studies of wave energy converters in OpenFOAMnumerical wave tanks. J. Ocean Eng. Mar. Energy 2019, 6, 55–70. [Google Scholar] [CrossRef]
 - Miquel, A.M.; Kamath, A.; Chella, M.A.; Archetti, R.; Bihs, H. Analysis of different methods for wave generation absorption in a CFD-based numerical wave tank. J. Mar. Sci. Eng. 2018, 6, 73. [Google Scholar] [CrossRef]
 - Katsidoniotaki, E.; Nilsson, E.; Rutgersson, A.; Engström, J.; Göteman, M. Response of point-absorbing wave energy conversion system in 50-years return period extreme focused waves. J. Mar. Sci. Eng. 2021, 9, 345. [Google Scholar] [CrossRef]
 - Devolder, B.; Stratigaki, V.; Troch, P.; Rauwoens, P. CFD simulations of floating point absorber wave energy converter arrays subjected to regular waves. Energies 2018, 11, 641. [Google Scholar] [CrossRef]
 - Eskilsson, J.P. Facilitating Large-Amplitude Motions of Wave Energy Converters in OpenFOAM by a modified Mesh Morphing Approach.pdf. Int. Mar. Energy J. 2019, 5, 257–264. [Google Scholar]
 - Katsidoniotaki, E.; Shahroozi, Z.; Eskilsson, C.; Palm, J.; Engström, J.; Göteman, M. Validation of a CFD model for wave energy system dynamics in extreme waves. Ocean Eng. 2022, 268, 113320. [Google Scholar] [CrossRef]
 - Greenshields, C. OpenFOAM v10 User Guide; OpenFOAM Foundation: London, UK, 2022; Available online: https://doc.cfd.direct/openfoam/user-guide-v10 (accessed on 30 July 2023).
 - Göteman, M.K. Comparison of dynamic mesh methods in OpenFOAM for a WEC in extreme waves. In Developments in Renewable Energies Offshore; CRC Press: Boca Raton, FL, USA, 2020; p. 9. [Google Scholar]
 - Ning, D.; Zhao, X.; Göteman, M.; Kang, H. Hydrodynamic performance of a pile-restrained WEC-type floating breakwater: An experimental study. Renew. Energy 2016, 95, 531–541. [Google Scholar] [CrossRef]
 - Chen, Q.; Zang, J.; Birchall, J.; Ning, D.; Zhao, X.; Gao, J. On the hydrodynamic performance of a vertical pile-restrained WEC-type floating breakwater. Renew. Energy 2020, 146, 414–425. [Google Scholar] [CrossRef]
 - Zhang, H.; Zhou, B.; Zang, J.; Vogel, C.; Fan, T.; Chen, C. Effects of narrow gap wave resonance on a dual-floater WEC-breakwater hybrid system. Ocean Eng. 2021, 225, 108762. [Google Scholar] [CrossRef]
 - Zhang, H.; Zhou, B.; Zang, J.; Vogel, C.; Jin, P.; Ning, D. Optimization of a three-dimensional hybrid system combining a floating breakwater and a wave energy converter array. Energy Convers. Manag. 2021, 247, 114717. [Google Scholar] [CrossRef]
 - Windt, C.; Davidson, J.; Ringwood, J.V. Numerical analysis of the hydrodynamic scaling effects for the Wavestar wave energy converter. J. Fluids Struct. 2021, 105, 103328. [Google Scholar] [CrossRef]
 - Kramer, M. Performance Evaluation of the Wavestar Prototype. In Proceedings of the 9th European Wave and Tidal Energy Conference: EWTEC 201, Southampton, UK, 5–9 September 2011; p. 9. [Google Scholar]
 - Masoomi, M.; Sarlak, H.; Rezanejad, K. Hydrodynamic performance analysis of a new hybrid wave energy converter system using OpenFOAM. Energy 2023, 269, 126807. [Google Scholar] [CrossRef]
 - Shen, Z.; Huang, D.; Wang, G.; Jin, F. Numerical study of wave interaction with armour layers using the resolved CFD-DEM coupling method. Coast. Eng. 2023, 187, 104421. [Google Scholar] [CrossRef]
 - Evans, D.V. Atheory for wave-power absorption by oscillating bodies. J. Fluid Mech. 1976, 77, 1–25. [Google Scholar] [CrossRef]
 - Falcão, A.F.D.O. Wave energy utilization: A review of the technologies. Renew. Sustain. Energy Rev. 2010, 14, 899–918. [Google Scholar] [CrossRef]
 - Sang, Y.; Karayaka, H.B.; Yan, Y.; Zhang, J.Z.; Muljadi, E.; Yu, Y.H. Energy extraction from a slider-crank wave energy converter under irregular wave conditions. In Proceedings of the OCEANS 2015-MTS/IEEE Washington, Washington, DC, USA, 19–22 October 2015; pp. 1–7. [Google Scholar] [CrossRef]
 - Sonin, A. The Physical Basis of Dimensional Analysis, 2nd ed.; Department of Mechanical Engineering, MIT: Cambridge, MA, USA, 2001; Available online: http://goo.gl/2BaQM6 (accessed on 15 August 2024).
 - Payne, G. Guidance for the Experimental Tank Testing of Wave Energy Converters. 2008. Available online: http://www.supergen-marine.org.uk/sites/supergen-marine.org.uk/files/publications/WEC_tank_testing.pdf (accessed on 31 July 2023).
 - Qiao, D.; Zhi, G.; Liang, H.; Ning, D.; Yan, J.; Li, B. Scaling Orchestration in Physical Model Test of Oscillating Buoy Wave Energy Converter. Front. Mar. Sci. 2021, 8, 627453. [Google Scholar] [CrossRef]
 - López, I.; Pereiras, B.; Castro, F.; Iglesias, G. Performance of OWCwave energy converters: Influence of turbine damping tidal variability. Int. J. Energy Res. 2014, 39, 472–483. [Google Scholar] [CrossRef]
 - Sheng, W.; Alcorn, R.; Lewis, A. On thermodynamics in the primary power conversion of oscillating water column wave energy converters. J. Renew. Sustain. Energy 2013, 5, 023105. [Google Scholar] [CrossRef]
 - Zhao, X.; Ning, D.; Zhang, C.; Kang, H. Hydrodynamic investigation of an oscillating buoy wave energy converter integrated into a pile-restrained floating breakwater. Energies 2017, 10, 712. [Google Scholar] [CrossRef]
 - Medina Rodríguez, A.A.; Posada Vanegas, G.; Silva Casarín, R.; Mendoza Baldwin, E.G.; Vega Serratos, B.E.; Puc Cutz, F.E.; Mangas Che, E.A. Experimental Investigation of the Hydrodynamic Performance of Land-Fixed Near-shore and Onshore Oscillating Water Column Systems with a Thick Front Wall. Energies 2022, 15, 2364. [Google Scholar] [CrossRef]
 - Zheng, X.; Ji, M.; Jing, F.; Lu, Y.; Zheng, W.; Zhou, S.; Li, X.; Yan, H. Sea trial test on offshore integration of an oscillating buoy wave energy device and floating breakwater. Energy Convers. Manag. 2022, 256, 115375. [Google Scholar] [CrossRef]
 - Ahmed, A.; Wang, Y.; Azam, A.; Zhang, Z. Design and analysis of the bulbous-bottomed oscillating resonant buoys for an optimal point absorber wave energy converter. Ocean Eng. 2022, 263, 112443. [Google Scholar] [CrossRef]
 - Yu, T.; Li, T.; Shi, H.; Zhang, Z.; Chen, X. Experimental investigation on the wave-oscillating buoy interaction and wave run-up on the buoy. Ocean Eng. 2023, 270, 113631. [Google Scholar] [CrossRef]
 - Andersen, T.L. Technical Background Material for the Wave Generation Software AwaSys 5. Dep. Civ. Eng. Aalborg Univ. 2010, 114. [Google Scholar]
 - Mansard, E.P. The Measurement of Incident and Reflected Spectra Using a Least Squares Method. In Proceedings of the 17th International Conference on Coastal Engineering, Sydney, Australia, 23–28 March 1980; ASCE Library: Reston, VA, USA, 1980; pp. 154–172. [Google Scholar] [CrossRef]
 - Brown, D. Tracker Video Analysis and Modeling Tool. 2023. Available online: https://opensourcephysics.github.io/tracker-website/ (accessed on 30 September 2024).
 - Posada, G.; Mendoza, E.; Vega, B.E.; Puc Cutz, F.; Cabrera Cauich, D.; Berrio Arrieta, Y.; Rivillas Ospina, G. Aplicación de Video de Alta Velocidad para el Seguimiento de Partículas en Laboratorios de Oleaje. In Proceedings of the XXXI Congreso Latinoamericano de Hidráulica, Medellín, Colombia, 1–4 October 2024. [Google Scholar]
 - Lin, C.Y.; Huang, C.J. Decomposition of incident and reflected higher harmonic waves using four wave gauges. Coast. Eng. 2004, 51, 395–406. [Google Scholar] [CrossRef]
 - Berrio, Y.; Rivillas-Ospina, G.; Ruiz-Martínez, G.; Arango-Manrique, A.; Ricaurte, C.; Mendoza, E.; Silva, R.; Casas, D.; Bolívar, M.; Díaz, K. Energy conversion and beach protection: Numerical assessment of a dual-purpose WEC farm. Renew. Energy 2023, 219, 119555. [Google Scholar] [CrossRef]
 - Ospina, R.; Daniel, G. Modelo de Simulación Numérica de la Rotura del Oleaje. Ph.D. Thesis, Universidad Nacional Autónoma de México, Mexico City, Mexico, 2012. [Google Scholar]
 - Göteman, E.K. Numerical modeling of extreme wave interaction with point-absorber using OpenFOAM. Ocean Eng. 2022, 245, 110268. [Google Scholar] [CrossRef]
 - Rivillas-Ospina, G.; Pedrozo-Acuña, A.; Silva, R.; Torres-Freyermuth, A.; Gutierrez, C. Estimation of the velocity field induced by plunging breakers in the surf and swash zones. Exp. Fluids 2011, 52, 53–68. [Google Scholar] [CrossRef]
 - Higuera, P.; Lara, J.L.; Losada, I.J. Realistic wave generation and active wave absorption for Navier–Stokes models: Application to OpenFOAM®. Coast. Eng. 2013, 71, 102–118. [Google Scholar] [CrossRef]
 - Devolder, B.; Schmitt, P.; Rauwoens, P.; Elsaesser, B.; Troch, P. A Review of the Implicit Motion Solver Algorithm in OpenFOAM® to Simulate a Heaving Buoy. In Proceedings of the 18th Numerical Towing Tank Symp, Ortona, Italy, 28–30 September 2015. [Google Scholar]
 - Windt, C.; Davidson, J.; Schmitt, P.; Ringwood, J.V. On the assessment of numericalwave makers in CFDsimulations. J. Mar. Sci. Eng. 2019, 7, 47. [Google Scholar] [CrossRef]
 - Windt, C.; Davidson, J.; Ringwood, J.V. High-fidelity numerical modelling of ocean wave energy systems: A review of computational fluid dynamics-based numerical wave tanks. Renew. Sustain. Energy Rev. 2018, 93, 610–630. [Google Scholar] [CrossRef]
 - Ahmad, N.; Bihs, H.; Kamath, A.; Arntsen, Ø.A. Three-dimensional CFD modeling of wave scour around side-by-side and triangular arrangement of piles with REEF3D. Procedia Eng. 2015, 116, 683–690. [Google Scholar] [CrossRef]
 - Wolgamot, H.A.; Fitzgerald, C.J. Nonlinear hydrodynamic real fluid effects on wave energy converters. J. Power Energy 2015, 229, 772–794. [Google Scholar] [CrossRef]
 - Fragkou, A.K.; Old, C.; Venugopal, V.; Angeloudis, A. Benchmarking a two-way coupled coastal wave–current hydrodynamics model. Ocean Model. 2023, 183, 102193. [Google Scholar] [CrossRef]
 - Wang, S.; González-Cao, J.; Islam, H.; Gómez-Gesteira, M.; Soares, C.G. Uncertainty estimation of mesh-free and mesh-based simulations of the dynamics of floaters. Ocean Eng. 2022, 256, 111386. [Google Scholar] [CrossRef]
 - Bjarte-Larsson, T.; Falnes, J. Laboratory experiment on heaving body with hydraulic power take-off and latching control. Ocean Eng. 2006, 33, 847–877. [Google Scholar] [CrossRef]
 - Hardisty, J. Experiments with point absorbers for wave energy conversion. J. Mar. Eng. Technol. 2012, 11, 51–62. [Google Scholar] [CrossRef]
 - Babarit, A. A database of capture width ratio of wave energy converters. Renew. Energy 2015, 80, 610–628. [Google Scholar] [CrossRef]
 - Cai, Q.; Zhu, S. Applying double-mass pendulum oscillator with tunable ultra-low frequency in wave energy converters. Appl. Energy 2021, 298, 117228. [Google Scholar] [CrossRef]
 - Zhang, D.; Zhao, B.; Jiang, H. Wave energy converter with floating-point absorber and catenary mooring: Dynamic coupling analysis. Front. Mar. Sci. 2024, 11, 1338330. [Google Scholar] [CrossRef]
 - Guo, B.; Ringwood, J.V. Geometric optimisation of wave energy conversion devices: A survey. Appl. Energy 2021, 297, 117100. [Google Scholar] [CrossRef]
 - Sergiienko, N.; Rafiee, A.; Cazzolato, B.; Ding, B.; Arjomandi, M. Feasibility study of the three-tether axisymmetric wave energy converter. Ocean Eng. 2018, 150, 221–233. [Google Scholar] [CrossRef]
 - Falcão, A.F.O.; Henriques, J.C.C. Oscillating-water-column wave energy converters and air turbines: A review. Renew. Energy 2016, 85, 1391–1424. [Google Scholar] [CrossRef]
 















| Wave Type | Wave Height (m) | Period (s) | ||
|---|---|---|---|---|
| Model Scale Hsc  | Full Scale H  | Model Scale Tsc  | Full Scale T  | |
| Regular | 0.08 | 1.6 | 1.0 | 4.5 | 
| 1.2 | 5.4 | |||
| 0.10 | 2.0 | 1.4 | 6.3 | |
| 1.6 | 7.2 | |||
| 0.12 | 2.4 | 1.8 | 8.0 | |
| 2.0 | 8.9 | |||
| 0.14 | 2.8 | 2.2 | 9.8 | |
| 2.4 | 10.7 | |||
| 0.16 | 3.2 | 2.6 | 11.6 | |
| 2.8 | 12.5 | |||
| 0.18 | 3.6 | 3.0 | 13.4 | |
| Parameter | Units | Water | Air | 
|---|---|---|---|
| Kinematic viscosity | m2·s−1 | 1.0 × 10−6 | 1.48 × 10−5 | 
| Density | kg·m−3 | 1024 | 1.0 | 
| Surface tension between phases | N·m−1 | 0.07 | 
| Configuration | Discretization Level ΔX (mm) | ||
|---|---|---|---|
| Coarse | Medium | Fine | |
| C1 | 350 | 150 | 50 | 
| C2 | 200 | 100 | 35 | 
| C3 | 150 | 70 | 20 | 
| C4 | 100 | 50 | 10 | 
| Region | ΔX (mm) | ΔY (mm) | ΔZ (mm) | 
|---|---|---|---|
| Coarse | 150 | 200 | 600 | 
| Medium | 70 | 50 | 30 | 
| Finest | 20 | 15 | 10 | 
| Boundaries | U | P | Point Displacement | Alpha. Water | 
|---|---|---|---|---|
| Left wall | noSlip | fixedFluxPressure | fixedValue 0 | zeroGradient | 
| Right wall | noSlip | fixedFluxPressure | fixedValue 0 | zeroGradient | 
| Bottom | noSlip | fixedFluxPressure | fixedValue 0 | zeroGradient | 
| Inlet | waveVelocity * | fixedFluxPressure | fixedValue 0 | waveAlpha * | 
| Outlet | waveAbsorption2DVelocity * | fixedFluxPressure | fixedValue 0 | zeroGradient | 
| Atmosphere | pressureInletOutletVelocity | totalPressure | fixedValue 0 | inletOutlet | 
| Buoy–WEC | movingWallVelocity | fixedFluxPressure | calculated | zeroGradient | 
| Case | Hydrodynamic Parameters | ||
|---|---|---|---|
| Wave Theory | H (m) | T (s) | |
| Cs1 | R. Stokes II | 0.10 | 1.8 | 
| Cs2 | R. Stokes II | 0.10 | 2.0 | 
| Cs3 | R. Stokes II | 0.12 | 1.8 | 
| Cs4 | R. Stokes II | 0.12 | 2.0 | 
| Cs5 | R. Stokes II | 0.14 | 1.8 | 
| Cs6 | R. Stokes II | 0.14 | 2.0 | 
| Parameter | Without WEC | With WEC | 
|---|---|---|
| Bias | 0.010 | 0.013 | 
| Willmott | 0.99 | 0.95 | 
| Pearson | 0.98 | 0.96 | 
| RMSE | 0.0054 | 0.0078 | 
| Study Case | Wave Height Hsc (m) | Period Tsc (s) | 
|---|---|---|
| 01 | 0.10 | 1.6 | 
| 02 | 0.12 | 2.0 | 
| 03 | 0.10 | 2.4 | 
Disclaimer/Publisher’s Note: The statements, opinions and data contained in all publications are solely those of the individual author(s) and contributor(s) and not of MDPI and/or the editor(s). MDPI and/or the editor(s) disclaim responsibility for any injury to people or property resulting from any ideas, methods, instructions or products referred to in the content.  | 
© 2025 by the authors. Licensee MDPI, Basel, Switzerland. This article is an open access article distributed under the terms and conditions of the Creative Commons Attribution (CC BY) license (https://creativecommons.org/licenses/by/4.0/).
Share and Cite
Berrio, Y.; Rivillas-Ospina, G.; Posada Vanegas, G.; Silva, R.; Mendoza, E.; Pugliese, V.; Sisa, A. Development and Hydrodynamic Performance of an Oscillating Buoy-Type Wave Energy Converter. Energies 2025, 18, 4383. https://doi.org/10.3390/en18164383
Berrio Y, Rivillas-Ospina G, Posada Vanegas G, Silva R, Mendoza E, Pugliese V, Sisa A. Development and Hydrodynamic Performance of an Oscillating Buoy-Type Wave Energy Converter. Energies. 2025; 18(16):4383. https://doi.org/10.3390/en18164383
Chicago/Turabian StyleBerrio, Yeison, Germán Rivillas-Ospina, Gregorio Posada Vanegas, Rodolfo Silva, Edgar Mendoza, Victor Pugliese, and Augusto Sisa. 2025. "Development and Hydrodynamic Performance of an Oscillating Buoy-Type Wave Energy Converter" Energies 18, no. 16: 4383. https://doi.org/10.3390/en18164383
APA StyleBerrio, Y., Rivillas-Ospina, G., Posada Vanegas, G., Silva, R., Mendoza, E., Pugliese, V., & Sisa, A. (2025). Development and Hydrodynamic Performance of an Oscillating Buoy-Type Wave Energy Converter. Energies, 18(16), 4383. https://doi.org/10.3390/en18164383
        
