Prescribed Performance Load Frequency Control for Regional Interconnected Power System Under Energy Storage System Output Constraints
Abstract
1. Introduction
- 1.
- 2.
- Moreover, we focus on simultaneously realizing steady-state control objectives and maintaining transient performance, i.e., the final frequency error is limited, and the entire progress evolves within a predefined range.
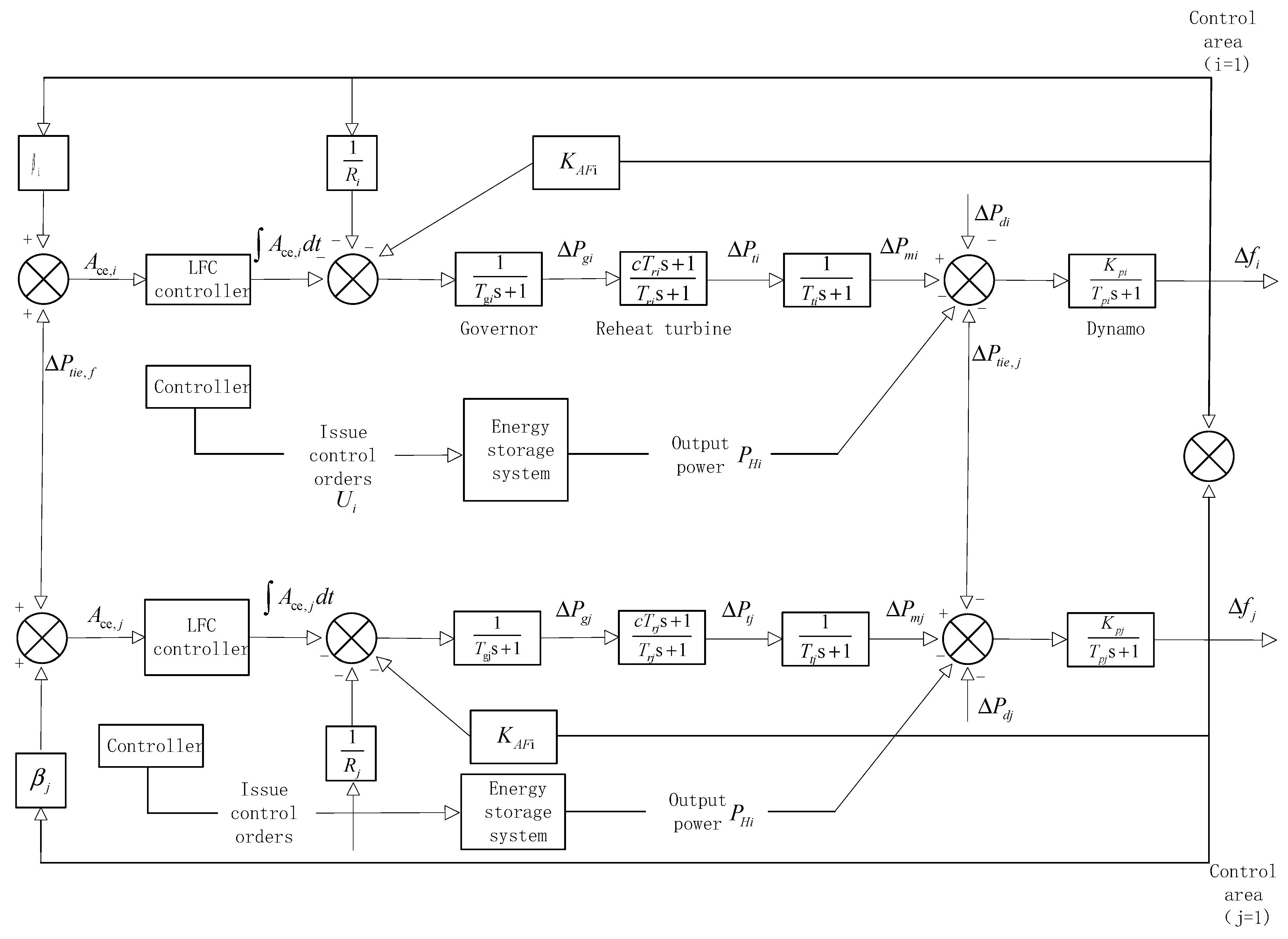
2. LFC Model of Two-Area Interconnected Power System
3. Controller Design Considering Input Saturation Constraints
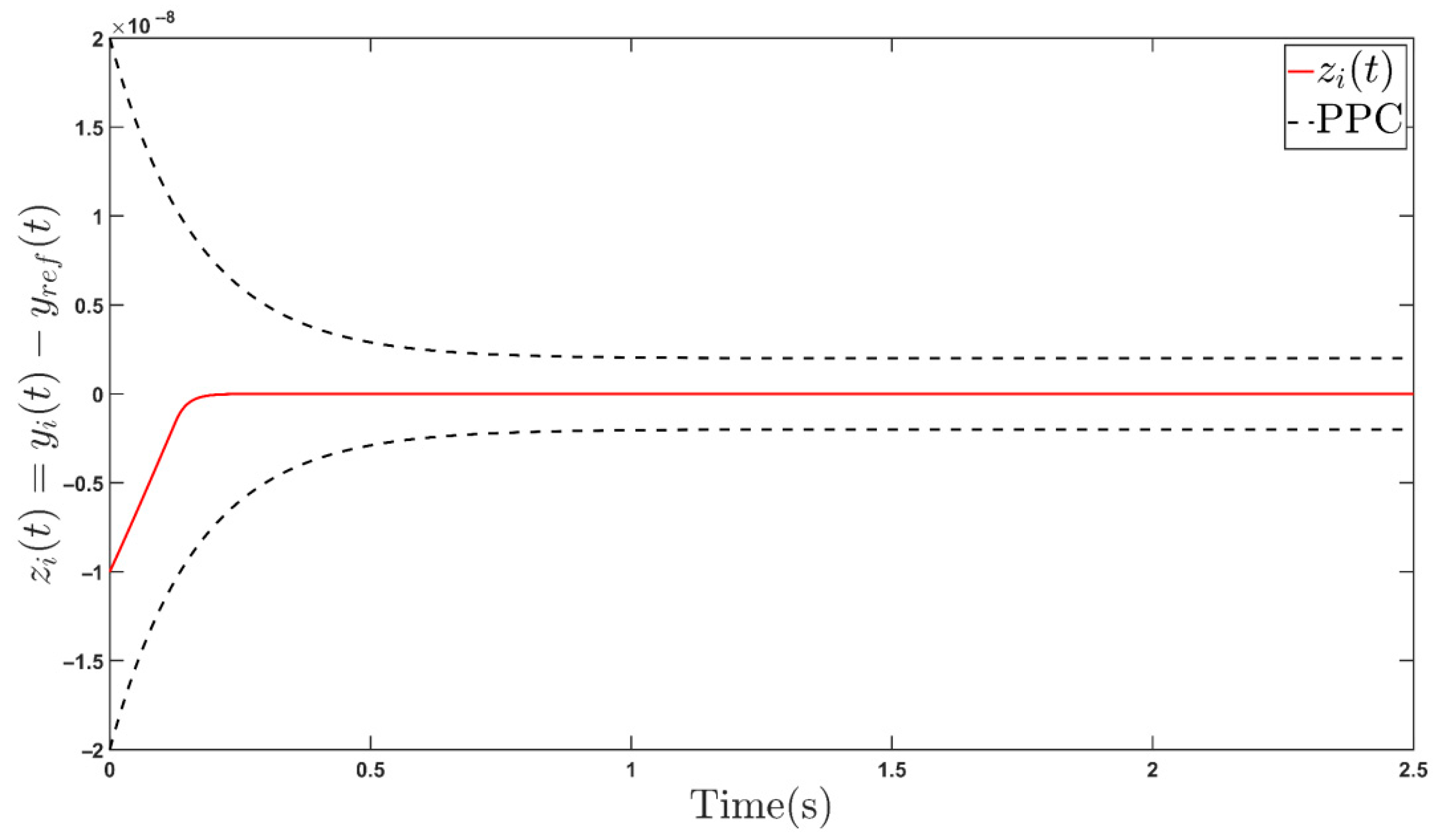
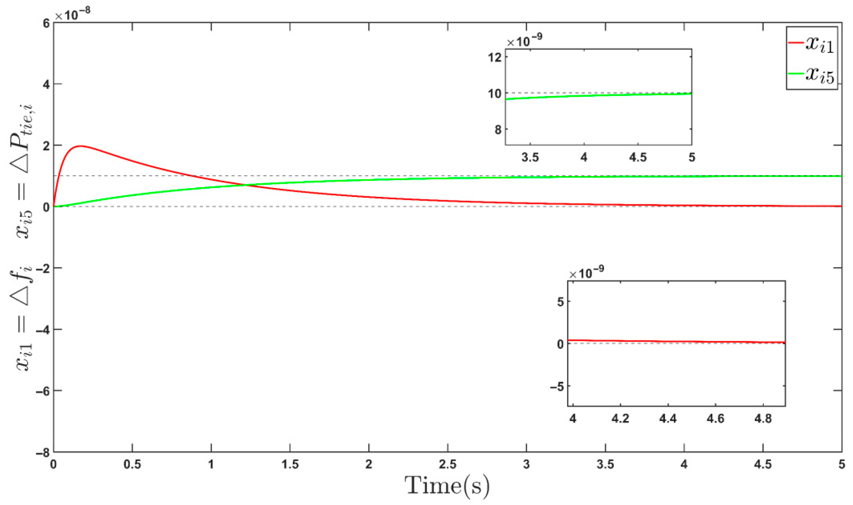
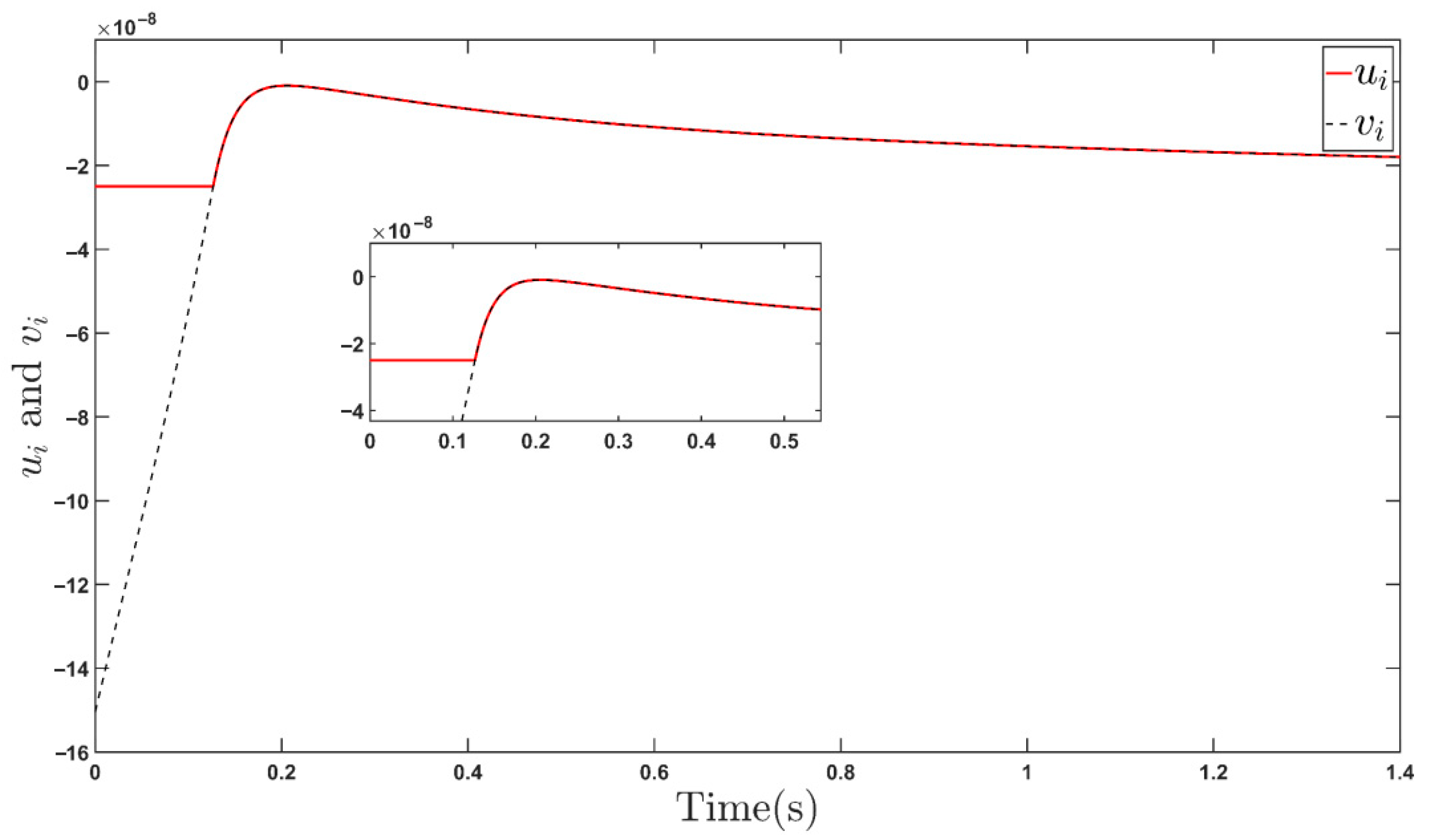
4. Simulation Results
5. Conclusions
Author Contributions
Funding
Data Availability Statement
Conflicts of Interest
Abbreviations
| BESS | Battery-based energy storage system |
| ESS | Energy storage system |
| LFC | Load frequency control |
| PID | Proportional–integral–derivative |
| PPC | Prescribed performance control |
References
- Yan, R.; Al Massod, N.; Saha, T.K.; Bai, F.; Gu, H. The Anatomy of the 2016 South Australia Blackout: A Catastrophic Event in a High Renewable Network. IEEE Trans. Power Syst. 2018, 33, 5374–5388. [Google Scholar] [CrossRef]
- Shrestha, A.; Gonzalez-Longatt, F. Frequency Stability Issues and Research Opportunities in Converter Dominated Power System. Energies 2021, 14, 4184. [Google Scholar] [CrossRef]
- Boddapati, V.; Nandikatti, A.S.R. Salient features of the national power grid and its management during an emergency: A case study in India. Energy Sustain. Dev. 2020, 59, 170–179. [Google Scholar] [CrossRef]
- Gulzar, M.M.; Iqbal, M.; Shahzad, S.; Muqeet, H.A.; Shahzad, M.; Hussain, M.M. Load frequency control (LFC) strategies in renewable energy-based hybrid power systems: A review. Energies 2024, 15, 3488. [Google Scholar] [CrossRef]
- Xi, L.; Shi, Y.; Quan, Y.; Liu, Z. Research on the multi-area cooperative control method for novel power systems. Energy 2024, 313, 133912. [Google Scholar] [CrossRef]
- Wang, H.; Li, Z.S. Multi-area load frequency control in power system integrated with wind farms using fuzzy generalized predictive control method. IEEE Trans. Reliab. 2022, 72, 737–747. [Google Scholar] [CrossRef]
- Reza, H.; Neda, A.; Miadreza, S.; João, P.S.C. Decentralized frequency-voltage control and stability enhancement of standalone wind turbine-load-battery. Int. J. Electr. Power Energy Syst. 2018, 102, 1–10. [Google Scholar]
- Amer, A.; Hajer, A.; Hassan, H. Coordinated intelligent frequency control incorporating battery energy storage system, minimum variable contribution of demand response, and variable load damping coefficient in isolated power systems. Energy Rep. 2021, 7, 8030–8041. [Google Scholar]
- Soroush, O.; Arman, O.; Ali, M.; Farhad, H. Novel load frequency control scheme for an interconnected two-area power system including wind turbine generation and redox flow battery. Int. J. Electr. Power Energy Syst. 2021, 130, 107033. [Google Scholar]
- Yu, X.; Zhang, Z.; Qian, G.; Jiang, R.; Wang, L.; Huang, R.; Li, Z. Evaluation of PCM thermophysical properties on a compressed air energy storage system integrated with packed-bed latent thermal energy storage. J. Energy Storage 2024, 81, 110519. [Google Scholar] [CrossRef]
- Xu, Y.; Fang, J.; Zhang, H.; Song, S.; Tong, L.; Peng, B.; Yang, F. Experimental investigation on the output performance of a micro compressed air energy storage system based on a scroll expander. Renew. Energy 2025, 243, 122602. [Google Scholar] [CrossRef]
- Sadeq, A.M. Energy Storage Systems: A Comprehensive Guide, 1st ed.; Qatar Naval Academy: Al-Shamal, Qatar, 2023. [Google Scholar] [CrossRef]
- Yusuf, S.S.; Kunya, A.B.; Abubakar, A.S.; Salisu, S. Review of load frequency control in modern power systems: A state-of-the-art review and future trends. Electr. Eng. 2024, 107, 5823–5848. [Google Scholar] [CrossRef]
- Wen, S.; Gong, Y.; Zhao, Z.; Mu, X.; Zhao, S. Power Grid Primary Frequency Control Strategy Based on Fuzzy Adaptive and State-of-Charge Self-Recovery of Flywheel–Battery Hybrid Energy Storage System. Energies 2025, 18, 1536. [Google Scholar] [CrossRef]
- Lan, Y.; Illindala, M.S. Robust Distributed Load Frequency Control for Multi-Area Power Systems with Photovoltaic and Battery Energy Storage System. Energies 2024, 17, 5536. [Google Scholar] [CrossRef]
- Guo, Y.; Hill, D.J.; Wang, Y. Global transient stability and voltage regulation for power systems. IEEE Trans. Power Syst. 2001, 16, 678–688. [Google Scholar] [CrossRef]
- Ram Babu, N.; Bhagat, S.K.; Saikia, L.C.; Chiranjeevi, T.; Devarapalli, R.; García Márquez, F.P. A Comprehensive Review of Recent Strategies on Automatic Generation Control/Load Frequency Control in Power Systems. Arch. Comput. Methods Eng. 2023, 30, 543–572. [Google Scholar] [CrossRef]
- Tuan, D.H.; Tran, D.T.; Nguyen Ngoc Thanh, V.; Huynh, V.V. Load Frequency Control Based on Gray Wolf Optimizer Algorithm for Modern Power Systems. Energies 2025, 18, 815. [Google Scholar] [CrossRef]
- Ram Babu, N.; Bhagat, S.K.; Saikia, L.C.; Chiranjeevi, T.; Devarapalli, R.; García Márquez, F.P.; Mudi, J.; Shiva, C.K.; Mukherjee, V. Multi-Verse Optimization Algorithm for LFC of Power System with Imposed Nonlinearities Using Three-Degree-of-Freedom PID Controller. Iran. J. Sci. Technol.-Trans. Electr. Eng. 2019, 43, 837–856. [Google Scholar]
- Trojovský, P.; Dehghani, M. Pelican Optimization Algorithm: A Novel Nature-Inspired Algorithm for Engineering Applications. Sensors 2022, 22, 855. [Google Scholar] [CrossRef]
- El-Rifaie, A.M.; Abid, S.; Ginidi, A.R.; Shaheen, A.M. Fractional Order PID Controller Based-Neural Network Algorithm for LFC in Multi-Area Power Systems. Energy Rep. 2025, 7, e70028. [Google Scholar] [CrossRef]
- Li, L.; Zhou, X.; Ju, X.; Zhou, Z.; Wang, B.; Cao, B.; Yang, L. Comprehensive analysis on aging behavior and safety performance of LiNixCoyMnzO2/graphite batteries after slight over-discharge cycle. Appl. Therm. Eng. 2023, 225, 120172. [Google Scholar] [CrossRef]
- Siti, M.W.; Mbungu, N.T.; Tungadio, D.H.; Banza, B.B.; Ngoma, L. Application of load frequency control method to a multi-microgrid with energy storage system. J. Energy Storage 2022, 52, 104629. [Google Scholar] [CrossRef]
- Shangguan, X.C.; He, Y.; Zhang, C.K.; Jin, L.; Yao, W.; Jiang, L.; Wu, M. Control performance standards-oriented event-triggered load frequency control for power systems under limited communication bandwidth. IEEE Trans. Control Syst. Technol. 2021, 30, 860–868. [Google Scholar] [CrossRef]
- Cui, K.; Wang, C.; Liu, Z.; Fu, D.; Chen, G.; Li, W.; Nie, L.; Shen, Y.; Xu, Y.; Kuang, R. Efficiency analysis of ocean compressed air energy storage system under constant volume air storage conditions. Energy 2025, 329, 136531. [Google Scholar] [CrossRef]
- Kim, Y.M.; Shin, D.G.; Favrat, D. Operating characteristics of constant-pressure compressed air energy storage (CAES) system combined with pumped hydro storage based on energy and energy analysis. Energy 2011, 36, 6220–6233. [Google Scholar] [CrossRef]
- Liu, J.; Krogh, B.H.; Ilic, M.D. Saturation-induced frequency instability in electric power systems. In Proceedings of the 2008 IEEE Power and Energy Society General Meeting, Pittsburgh, PA, USA, 20–24 July 2008; pp. 1–7. [Google Scholar]
- Shi, Z.; Lu, R. Study of hybrid energy storage system with energy management for electric vehicle applications. J. Phys. Conf. Ser. 2024, 2703, 012013. [Google Scholar] [CrossRef]
- Chang, R.; Liu, Y.; Chi, X.; Sun, C. Event-based adaptive formation and tracking control with predetermined performance for nonlinear multi-agent systems. Neurocomputing 2025, 611, 128660. [Google Scholar] [CrossRef]
- Jain, A.; Bhullar, S. Design and performance analysis of solar PV-battery energy storage system integration with three-phase grid. J. Power Sources 2025, 640, 236486. [Google Scholar] [CrossRef]
- Wang, P.; Guo, J.; Cheng, F.; Gu, Y.; Yuan, F.; Zhang, F. A MPC-based load frequency control considering wind power intelligent forecasting. Renew. Energy 2025, 244, 122636. [Google Scholar] [CrossRef]
- Moradi-Khaligh, E.; Karimi, S.; Sadabadi, M.S. Robust LMI-based voltage control strategy for DC microgrids under disturbances and constant power load uncertainties. Electr. Power Syst. Res. 2025, 241, 111333. [Google Scholar] [CrossRef]
- Van der Sluis, L. Transients in Power Systems; Wiley: New York, NY, USA, 2001. [Google Scholar]
- Chang, X.; Martínez, J.M.; Trivedi, K.S. Transient performance analysis of smart grid with dynamic power distribution. Inf. Sci. 2018, 422, 98–109. [Google Scholar] [CrossRef]
- Alhelou, H.H.; Nagpal, N.; Kassarwani, N.; Siano, P. Decentralized optimized integral sliding mode-based load frequency control for interconnected multi-area power systems. IEEE Access 2023, 11, 32296–32307. [Google Scholar] [CrossRef]
- Mukherjee, V.; Ghoshal, S.P. Application of capacitive energy storage for transient performance improvement of power system. Electr. Power Syst. Res. 2009, 79, 282–294. [Google Scholar] [CrossRef]
- Mishra, S. Neural-network-based adaptive UPFC for improving transient stability performance of power system. IEEE Trans. Neural Netw. 2006, 17, 461–470. [Google Scholar] [CrossRef]
- Yan, W.; Sheng, L.; Xu, D.; Yang, W.; Liu, Q.H. H∞ Robust Load Frequency Control for Multi-Area Interconnected Power System with Hybrid Energy Storage System. Appl. Sci. 2018, 8, 1748. [Google Scholar] [CrossRef]
- Lun, Y.; Wang, H.; Hu, J.; Yan, G.; Wu, T.; Ren, B.; Qian, Q. Active fault-tolerant control with prescribed performance and reachability judgement for the altitude ground test facility. Aerosp. Sci. Technol. 2024, 155, 109653. [Google Scholar] [CrossRef]
- Safiullah; Hote, Y.V. Robust load frequency control in interval power systems via reduced-order generalized active disturbance rejection control. Comput. Electr. Eng. 2024, 120B, 109788. [Google Scholar]
- Pradhan, S.K.; Das, D.K. Delay-discretization-based sliding mode H∞ load frequency control scheme considering actuator saturation of wind-integrated power system. J. Supercomput. 2022, 78, 13942–13987. [Google Scholar] [CrossRef]
- Diaa, M.G.; Gaber, M.; Eduard, P. Frequency stabilization of a sophisticated multi-area interconnected hybrid power system considering non-inertia sources. Int. J. Electr. Power Energy Syst. 2025, 169, 110730. [Google Scholar]
- Wu, S.; Li, T.; Chen, R.; Huang, S.; Xu, F.; Wang, B. Transient performance of gas-engine-based power system on ships: An overview of modeling, optimization, and applications. J. Mar. Sci. Eng. 2023, 11, 2321. [Google Scholar] [CrossRef]
- Xin, H.; Gan, D.; Qu, Z.; Qiu, J. Impact of saturation nonlinearities/disturbances on the small-signal stability of power systems: An analytical approach. Electr. Power Syst. Res. 2008, 78, 849–860. [Google Scholar] [CrossRef]
- Yang, Y.; Liu, Z.; Li, Q.; Wunsch, D.C. Output constrained adaptive controller design for nonlinear saturation systems. IEEE/CAA J. Autom. Sin. 2020, 8, 441–454. [Google Scholar] [CrossRef]
- Li, Y.; Tong, S.; Li, T. Adaptive fuzzy output-feedback control for output constrained nonlinear systems in the presence of input saturation. Fuzzy Sets Syst. 2014, 248, 138–155. [Google Scholar] [CrossRef]
- Asadi, Y.; Farsangi, M.M.; Bijami, E.; Amani, A.M.; Lee, K.Y. Data-driven adaptive control of wide-area non-linear systems with input and output saturation: A power system application. Int. J. Electr. Power Energy Syst. 2021, 133, 107225. [Google Scholar] [CrossRef]
- Chuang, N. Robust load-frequency control in interconnected power systems. IET Control. Theory Appl. 2016, 10, 67–75. [Google Scholar] [CrossRef]
- Huang, S.; Xiong, L.; Zhou, Y.; Gao, F.; Jia, Q.; Li, X.; Khan, M.W. Distributed predefined-time control for power system with time delay and input saturation. IEEE Trans. Power Syst. 2025, 40, 151–165. [Google Scholar] [CrossRef]







| Parameter | Physical Meaning | Parameter | Physical Meaning |
|---|---|---|---|
| Governor output incremental change | User load interference | ||
| Incremental change in output thermal power of reheating unit | Incremental frequency variation in power system | ||
| Governor-controlled increase in power | Exchange power between contact lines | ||
| Governor time constant | Reheat coefficient | ||
| Reheat time constant | Power system gain | ||
| Time constant of steam turbine | Proportional negative feedback coefficient of frequency variation | ||
| Time constant of power system | Power synchronization coefficient of contact line between area i and area j | ||
| Speed control gain | Frequency variation setting |
| Variable | Numerical Value | Variable | Numerical Value |
|---|---|---|---|
| 0.08 s | 0.35 | ||
| 4.2 s | 120 | ||
| 0.3 s | 1.1 | ||
| 20 s | 0.0707 s | ||
| 2.4 | 0.425 |
Disclaimer/Publisher’s Note: The statements, opinions and data contained in all publications are solely those of the individual author(s) and contributor(s) and not of MDPI and/or the editor(s). MDPI and/or the editor(s) disclaim responsibility for any injury to people or property resulting from any ideas, methods, instructions or products referred to in the content. |
© 2025 by the authors. Licensee MDPI, Basel, Switzerland. This article is an open access article distributed under the terms and conditions of the Creative Commons Attribution (CC BY) license (https://creativecommons.org/licenses/by/4.0/).
Share and Cite
Lu, M.; Yu, M. Prescribed Performance Load Frequency Control for Regional Interconnected Power System Under Energy Storage System Output Constraints. Energies 2025, 18, 3551. https://doi.org/10.3390/en18133551
Lu M, Yu M. Prescribed Performance Load Frequency Control for Regional Interconnected Power System Under Energy Storage System Output Constraints. Energies. 2025; 18(13):3551. https://doi.org/10.3390/en18133551
Chicago/Turabian StyleLu, Ming, and Miao Yu. 2025. "Prescribed Performance Load Frequency Control for Regional Interconnected Power System Under Energy Storage System Output Constraints" Energies 18, no. 13: 3551. https://doi.org/10.3390/en18133551
APA StyleLu, M., & Yu, M. (2025). Prescribed Performance Load Frequency Control for Regional Interconnected Power System Under Energy Storage System Output Constraints. Energies, 18(13), 3551. https://doi.org/10.3390/en18133551

