Abstract
This study focuses on the challenge of short-term economic dispatch in hybrid generation systems, specifically under scenarios where energy constraints arise due to reduced water availability. The primary aim is to compare various generation scenarios to evaluate the influence of renewable energy-based power plants on the overall operating cost of an Electric Power System. The hybrid generation system under analysis comprises hydroelectric, thermoelectric, photovoltaic solar, and wind power plants. The latter two, in particular, play a crucial role, yet their performance is highly dependent on the variability of their primary resources—solar radiation, wind speed, and ambient temperature—which are inherently stochastic. To estimate their behavior, the Monte Carlo method is applied, utilizing probability distribution functions to predict resource availability throughout the planning horizon. Once the scenarios are established, the problem is formulated as a hydrothermal dispatch optimization, which is then tackled using heuristic and metaheuristic approaches, with a strong focus on the Differential Evolution algorithm.
1. Introduction
Electricity demand continues to increase, while fossil fuel reserves are declining. Worsening environmental factors and rising generation costs further complicate concerns for the global energy sector [1]. These factors pose serious questions that this sector has to deal with. The integration of wind and solar power into Electric Power Systems (EPSs) helps solve some of these problems by using non-conventional sources of energy, thus transforming EPSs. EPSs are additionally aided by abundant resources that can be harvested and sustain the economy [2]. Unfortunately, this non-dispatchable and intermittent characteristic of these resources leads to massive operational uncertainty due to uncontrollable factors like geographical conditions, wind speed, solar irradiance, and temperature [3].
In this case, ensuring system dependability while considering economic viability becomes an intricate endeavor demanding high accuracy in prognosticating and optimization methodologies. Renewable generation systems must be allocated in areas of high energy potential and favorable meteorological conditions. Once operational, these systems can realize immense economic advantages through the reduction of fuel utilization, lowering greenhouse gas emissions, and elevating the utilization of clean technologies [4]. However, optimal operational system conditions need detailed preliminary planning considering various parameters and constraints, such as limits of generation, capacity of energy storage (when applicable), ramp rates, availability of fuel, balance between power demand and supply, and the stochastic nature of renewable resources [5,6].
This work aims to address the economic dispatch (ED) problem corresponding to a hybrid generation system (HGS) hydro, thermal, photovoltaic, and wind power plants. The ED problem is defined as a nonlinear optimization problem with constraints that necessitate the total generation cost to be minimized while there is an equality (power balance) and two inequality (fuel consumption and water level in the reservoir system) limitations [7]. To tackle this difficult challenge, heuristic and metaheuristic approaches have been largely used owing to their effectiveness in addressing problems with nonlinear, non-convex, and multimodal functions.
The literature [8] discusses a hybrid metaheuristic that incorporates features of Particle Swarm Optimization (PSO) and the Gravitational Search Algorithm (GSA). In this framework, the PSO component enhances convergence through social and cognitive learning; particles move towards optimal positions (both individual and global) that are updated. In the GSA component, gravity is modeled in terms of interactions among agents. Particles with better fitness have greater mass and thus have higher gravitational attraction. Both of these mechanisms, PSO and GSA, are integrated into one single-hybrid framework, PSOGSA. Through gravitational search, exploration is enhanced, and through velocity—update mechanisms of PSO, exploitation is enhanced. The combination of both systems improves convergence stability and avoids premature convergence to local optima [9]. The particle’s velocities are found by updating their inertia, acceleration, and applying gravitational forces with social and cognitive components. This makes the method highly applicable for solving complex, high-dimensional, and constrained optimization problems.
Besides metaheuristics, mathematical optimization approaches, such as linear programming (LP), mixed-integer linear programming (MILP), and convex optimization, have been widely used for dispatch problems. For example, the two-stage stochastic dynamic model in [10,11] addresses wind uncertainty using MILP, while [12] proposes convex steady-state bi-directional converter models to enable efficient dispatch in hybrid AC/DC microgrids. These methods offer guarantees on solution optimality but may suffer from scalability limitations under non-convex or large-scale configurations. In contrast, metaheuristics like Differential Evolution provide more flexible alternatives, particularly suitable for nonlinear, multimodal problems as observed in hybrid generation dispatch. This study focuses on such approaches, comparing their performance under uncertainty and operational constraints.
Planning requires accurately predicting the availability of all resources, including renewable energy resources. Forecasting models must account for the abrupt changes and the unpredictability that comes with wind and solar energy. In a good number of areas, traditional statistical models have a history of being problematic, requiring an extensive amount of data, which is either non-existent or unreliable. To deal with this problem, ref. [13] proposes the Grey Prediction Model (GPM), which relies on Grey System Theory and is ideal for scenarios where data is sparse or incomplete. The model employs an Accumulated Generating Operation (AGO) to smooth the original sequence and forms a first-order linear differential equation to model the trend of the series. Its computation efficiency allows for accurate short-term forecasting during times of uncertainty. Even though the GPM is simple, it still portrays the system’s essential dynamics, ultimately providing accurate results during cases where more sophisticated models are impossible to implement.
To capture the uncertainties around the renewable energy sources (RESs), probabilistic methods are required, and the Monte Carlo simulation has been used for that. In [14], this approach is utilized to generate thousands of scenarios by simulating wind and solar data using its enumeration statistical attributes. Observed data histograms are fitted to appropriate probability density functions (Weibull for wind speed and Gaussian or Beta for solar irradiance), and random sampling is done over N iterations. Each iteration signifies an actual realization of conceivable future resource behavior. The result is a probabilistic forecast that outlines the diversity and probability of various scenarios within a defined range, thus facilitating robust planning amidst uncertainty.
Upon completion of forecasting, the economic dispatch problem is solved using iterative algorithms that steer through the feasible solution space, optimizing a cost function subject to system constraints. Each solution defines a distinct dispatch strategy, but the optimization algorithm is heuristic in nature aimed at finding the best compromise among cost, system reliability, and environmental impact [15].
Determining the best possible dispatch in power operations or planning is crucial because it supports cost effectiveness, environmental preservation, operational efficiency, and system stability. As new renewable energy sources are integrated, the complexity of the dispatch problem increases, necessitating a combination of forecasting, optimization, and probabilistic modeling. Such an approach minimizes operational expenses and emission levels, supporting modern goals of power systems that prioritize reliability and low carbon output [16].
The economic dispatch problem is solved using heuristic and metaheuristic optimization techniques, with a particular focus on the Differential Evolution (DE) algorithm. This technique can be mixed with other algorithms in order to optimize processes. In [17], a hybrid DE with a Cuckoo Search algorithm is presented, which is an example of how easily DE can be combined with other techniques and improve the quality of process optimization for economic dispatch problems. For this article the performance of DE is compared with Particle Swarm Optimization (PSO), Cultural Algorithm (CA), and Grey Wolf Optimizer (GWO) under two hydropower availability scenarios. Results show that DE achieved the lowest operating cost in both scenarios, with a 12.5% cost reduction compared to PSO in the drought scenario. Additionally, DE demonstrated high robustness, maintaining cost variation below 3% across 100 Monte Carlo iterations. These findings highlight the effectiveness of combining probabilistic forecasting and metaheuristic optimization for the resilient, low-cost operation of hybrid energy systems under uncertainty.
Despite numerous studies on economic dispatch in hybrid systems, most focus either on deterministic modeling or optimization without addressing stochastic uncertainty. Existing research often neglects the interplay between water-constrained hydropower and variable renewables, or lacks comparative analysis across metaheuristics under such constraints. Moreover, few works integrate probabilistic forecasting and optimization in a unified framework, especially in short-term planning scenarios. This study fills these gaps by combining stochastic modeling via Monte Carlo with comparative optimization, evaluating the performance of multiple metaheuristics in realistic operating conditions.
This document contains eight key sections. Section one comprises the Introduction, where the context of the problem is set with respect to economic dispatch in hybrid generation systems, and the difficulty of incorporating renewable sources as an uncertain resource is discussed. In the second section, theoretical elements of dispatching a hydrothermal system and dealing with stochastic resources is discussed. The third section contains the problem statement formulation describing operational limits of the system as well as an objective function. In section four, the methodology is explained, including a Monte Carlo simulation and the heuristic or metaheuristic algorithms utilized, specifically adaptations of Differential Evolution, with a focus on valve-point impacts are highlighted. In section five, the test system alongside the assumed energy-availability scenarios are introduced. In section six, results for each scenario are presented along with other optimization methods to provide a comparison. Section seven outlines the predominant discussions of the work analyzed concerning the literature, while section eight summarizes the conclusions drawn from this study and suggests some avenues for further investigation.
2. Theoretical Framework
2.1. Economic Dispatch
Economic dispatch establishes the operating conditions for the generation units to meet demand at the lowest possible cost, considering losses and plant-specific constraints. Depending on the planning horizon, economic dispatch can be classified into short-term, medium-term, and long-term [18].
- Short-term: Evaluated over a day or week, with sub-periods of half an hour to several hours.
- Medium-term: Monthly dispatch planning, often accounting for maintenance schedules.
- Long-term: Annual or multi-year planning, considering probabilistic events such as load growth and resource limitations [19].
2.2. Economic Dispatch in Hybrid Generation Systems (EDHGS)
The objective of EDHGS is to cover the required demand at the lowest possible cost, prioritizing renewable energy generation due to its negligible operational costs [20]. In this study, scenarios are simulated where hydroelectric production is restricted to observe its impact on economic value, as thermoelectric plants, with their higher operational costs, would compensate for lower hydroelectric production, as is shown in [21]. For this case study, there are photovoltaic solar plants and wind farms that help cover the demand to minimize operating costs.
2.2.1. Photovoltaic Solar Plants
Solar power generation is the production of electrical energy by taking advantage of solar radiation to stimulate the electrons contained within a cell [22]. It is influenced by solar radiation, temperature, and panel efficiency so, the photovoltaic power output is calculated as
where
- is the nominal power of the panel.
- is the solar irradiance (W/m2).
- is the temperature coefficient.
- is the cell temperature.
- , are the number of panels in parallel and in series, respectively.
The cell temperature is given by
where:
- is the ambient temperature.
- is the nominal operating cell temperature.
2.2.2. Wind Power Generation
Wind power generation consists of harnessing the kinetic energy of the wind to move blades and, in turn, turbines that convert it into electrical energy [21]. It is modeled based on the wind speed at the turbine height, so the power output of a wind turbine is calculated using
where
- Number of turbines
- A is the swept area of the turbine blades.
- e is the efficiency coefficient.
- is the wind speed.
2.3. Stochastic Variable Management
The operation of wind farms and photovoltaic power plants is intermittent due to the stochastic nature of temperature, solar radiation, and wind speed; therefore, an estimate of resource availability must be made prior to planning the economic dispatch. For this purpose, the Monte Carlo method simulates random variables based on probability distribution functions to forecast resource availability over a 24 h horizon [19].
Probability Distribution Functions (PDF)
PDFs are functions used to describe the behavior of random variables in terms of probability [2]. The prediction of resource availability can be done through multiple probability-based methods, so their behavior must be modeled. For this purpose, probability distribution functions were used. The modeling is applied to a historical database of the location under study. These data include hourly measurements of wind speed, temperature, and solar irradiance.
Selecting the distribution function that best fits each variable is essential for achieving better prediction results. Figure 1 presents the histograms corresponding to wind speed, temperature, and solar irradiance, along with their respective fitted functions.
Figure 1.
Probability distribution functions fitted for stochastic variables: (a) Temperature histogram. (b) Solar irradiance histogram. (c) Wind speed histogram.
To ensure realistic renewable generation modeling, these fitted distributions were used as input for Monte Carlo simulations. The stochastic values generated reflect the statistical behavior observed in the historical data. The accuracy of the simulations improves as more data are incorporated. Therefore, for this study, data from the month of August over a five-year period (2018–2022) were used to ensure representativeness and consistency in the modeled scenarios.
The best-fitting PDFs for this study are
- Weibull distribution: Used for wind speed and solar radiation.
- Gaussian Mixture Model (GMM): Used for temperature due to its bimodal behavior.
The green line on each histogram represents the PDF fitted to the behaviour of the stochastic variable.
3. Mathematical Formulation of EDHGS
The objective function focuses on minimizing the fuel costs of thermoelectric plants, expressed as a second-order polynomial:
To make it more realistic, the valve point effect is included, which occurs when the devices that control the steam inlet are opened to generate more or less electrical energy [5]. So a sinusoidal component is added to the equation, and it becomes as follows [20]:
where
- is the cost function for each thermoelectric unit over the planning horizon x.
- is the electric power produced.
- are cost coefficients.
- are the valve-point effect coefficients.
- is the minimum operating power of the thermal unit.
The economic dispatch model is subject to equality constraints for the balance of power and the operational limits of each generation unit, with additional constraints for the management of the reservoir in hydroelectric plants [23].
3.1. Constrains
The economic dispatch model is subject to the following constraints:
3.1.1. Power Balance
For this document, we work with a model with a single node as shown in Figure 2 where generation is connected to demand so that losses in the transmission system are ignored.
where , , , and are the power obtained from the i, j, j, and l thermoelectric, hydroelectric, wind farms, and solar plants respectively during the planning horizon x.
Figure 2.
Single node model.
3.1.2. Generation Limits
Each generating unit must operate within its established limits.
3.1.3. Hydroelectric Power Generation Equation
The output power of each hydroelectric plant is governed by the following equation:
where is the hydroelectric power generated, modeled as a quadratic function of reservoir volume and water discharge . … are coefficients associated with each hydroelectric power plant; this also has other constraints.
3.1.4. Water Discharge Limits
3.1.5. Reservoir Volume
3.1.6. Reservoir Volume Balance Equation
is the reservoir volume at time x, affected by inflow , discharge and spillage .
3.1.7. Coupled Hydroelectric Reservoirs Equation
For coupled reservoirs, the volume depends on upstream discharges and spillages.
3.2. Objective Function
The objective function used in this study is designed to minimize the total cost of power generation while satisfying all system constraints. It is formulated as follows:
where and are penalty factors for do not respect the constraints of power balance and reservoir volume balance.
4. Techniques Applied
4.1. To Solve the Economic Dispatch Problem
- Differential Evolution (DE): Differential Evolution is a population-based optimization algorithm that iteratively refines candidate solutions through the mechanisms of mutation, crossover, and selection [24]. In each generation, a new candidate solution is produced by adding the weighted difference between two randomly chosen individuals to a third individual [25]. The pseudocode for this method is presented in Table 1.
Table 1. Pseudocode for hydrothermal economic dispatch using the differential evolution (DE).The crossover step creates a trial vector:Finally, the selection step retains the best solution: - Particle Swarm Optimization (PSO): Based on social behavior models, this algorithm updates the positions and velocities of particles to find the optimal solutions [26], using the following equations:where i represents the particle that is part of a group of other particles. The alpha coefficients are fixed values of acceleration, is a random value between 0 and 1, and finally w corresponds to the inertia weight that serves to dynamize the search process, which is useful for rapid convergence and is calculated asThe pseudocode for this method is presented in Table 2.
Table 2. Pseudocode for hydrothermal economic dispatch using particle swarm optimization (PSO). - Cultural Algorithm (CA): Inspired by social evolution, combining belief and population spaces to guide the optimization process. The CA maintains a belief space with situational and normative knowledge, guiding the population’s evolution [27]. Knowledge sources are updated throughThe pseudocode for this method is presented in Table 3.
Table 3. Pseudocode for hydrothermal economic dispatch using the cultural algorithm (CA). - Grey Wolf Optimizer (GWO): Simulates the hunting behavior of grey wolves, with hierarchical solution structures to reduce search space and improve optimization [23,28]. The best three solutions guide the search, and the distance between the wolves and the prey is calculated asDuring the iterations, these vectors are updated based onThe position of the omega wolves is updated through the following equation:Also the vectors A and C are calculated withThe pseudocode for this method is presented in Table 4.
Table 4. Pseudocode for hydrothermal economic dispatch using the grey wolf optimizer (GWO).
The parameters for each algorithm were selected based on literature guidelines and preliminary tuning to balance convergence quality and execution time. For PSO, the function was used with an inertia range of [0.55, 1.1], which allows dynamic control of exploration and exploitation throughout iterations. The Grey Wolf Optimizer (GWO) employed 20 search agents and a maximum of 2000 iterations, providing sufficient exploration in the solution space. The Differential Evolution (DE) algorithm used a mutation factor and a crossover rate , with a limit of 1000 iterations per run, which offered a good trade-off between speed and robustness in preliminary tests. For the Cultural Algorithm (CA), a population size of 50 was used, with cultural parameters , , and a knowledge acceptance rate , following standard practices for adapting individual learning to global trends.
Each algorithm was executed for two independent repetitions to assess consistency, and key metrics, such as execution time, cost, and number of function evaluations, were recorded in structured matrices for further analysis. The comparison between these methods is presented in the Table 5.
Table 5.
Comparison of the optimization techniques used in this study.
4.2. Constraint Management
The optimization model includes two critical constraints: the power balance between total generation and demand, and the water balance in the hydroelectric reservoirs. These constraints are enforced using a penalty-based mechanism within the objective function, which adds a penalty proportional to the magnitude of the violation. The structure is as follows:
- Power balance penalty: applied when the difference between total generated power (thermal + hydro) and load exceeds 0.0001 [MW].
- Water balance penalty: applied when the deviation in the water balance exceeds 0.001 [hm³].
The penalty factors for each technique are presented in Table 6.
Table 6.
Penalty factors used for constraint violations in each optimization algorithm. pen1 corresponds to the power balance constraint, and pen2 corresponds to the water balance constraint in hydroelectric reservoirs.
These values were selected to ensure sufficient penalization strength to drive solutions toward feasibility, without excessively distorting the optimization landscape. A solution is accepted when both constraints are satisfied within their respective tolerances. Otherwise, the penalized cost is increased, and the solution is rejected. This soft-constraint method provides flexible yet effective convergence control and is well-suited for metaheuristic algorithms.
4.3. Technique for Power Estimation Using Probability Density Functions
The Monte Carlo method is used to model uncertainty in renewable energy generation by generating random samples from probability distributions of solar radiation, wind speed, and temperature [2]. The process involves
- Defining probability distributions based on historical data.
- Generating large random samples using these distributions.
- Simulating power generation based on sampled environmental conditions.
- Computing expected power availability over the planning horizon.
Monte Carlo simulation improves the accuracy of forecasting renewable energy availability, which is crucial for effective economic dispatch in hybrid systems. To model the stochastic behavior of temperature, wind speed, and solar irradiance, various probability distributions were fitted to the historical data using MATLAB’s statistical toolbox and the command fitdist. The best-fitting distribution for each variable was selected based on standard goodness-of-fit tests, including the Kolmogorov–Smirnov, as well as visual comparison with empirical histograms. This process ensured that the simulated values generated through Monte Carlo accurately reflected the statistical characteristics of the observed data.
Table 7 presents the pseudocode used for the power estimation using the Monte Carlo method.
Table 7.
Pseudocode for stochastic variable processing and power estimation using Monte Carlo simulation.
All simulations, including the implementation of the optimization algorithms and the Monte Carlo modeling of renewable resources, were carried out in MATLAB R2020b. The computations were performed on a laptop equipped with a 13th Gen Intel® Core™ i7-1365U CPU at 1.8 GHz and 16 GB of RAM. The performance metrics, such as execution time and number of function evaluations, were recorded under these hardware and software conditions.
5. Test System
The hybrid generation system is based on the models presented in [21,29] , and comprises four hydraulically interconnected hydroelectric power plants (Figure 3), five thermoelectric power plants, six photovoltaic solar power plants, and a wind farm. The latter two do not have any storage system, which means that the generated power must be dispatched immediately. The optimization techniques must solve the hydrothermal economic dispatch problem over a 24 h planning horizon to ensure efficient energy supply.
Figure 3.
Hydraulically coupled hydroelectric plants.
This generation system will operate under two scenarios: one with energy limitations for the hydroelectric plants and another where the opposite occurs, allowing these plants to operate at a higher capacity. This system operates to cover the following 24 h demand scenario presented in Figure 4.
Figure 4.
A 24 h demand scenario.
5.1. Renewable Energy for Both Scenarios
The prediction of renewable resources using the Monte Carlo technique is illustrated in the following graphs (Figure 5). Each curve was generated based on 1000 simulations per variable, using values drawn from fitted probability distributions. The shaded area represents the empirical variability in the data, corresponding to the 10th and 90th percentiles of the simulated values, while the central blue line indicates the average prediction across all simulations. These bounds provide an estimate of the range within which each resource is expected to fluctuate throughout the day. For the purposes of this study, the upper bound (maximum limit) has been used as input to the dispatch model to evaluate the system’s response under maximum renewable generation conditions.
Figure 5.
Prediction of renewable resources. (a) Temperature prediction. (b) Solar irradiance prediction. (c) Wind speed prediction.
These forecasted values will be applied to both energy constraint scenarios in order to evaluate the economic impact of operating hydroelectric plants at reduced capacity. Based on these values, the available electrical power over the 24 h planning horizon is calculated, and the results are presented in Figure 6.
Figure 6.
Energy obtained from renewable resources.
5.2. Characteristics of the Generation Plants
Table 8 and Table 9 present the fuel cost coefficients for each thermoelectric plant, as well as the operational coefficients for each hydroelectric plant.
Table 8.
Coefficients of each thermoelectric for fuel costs.
Table 9.
Coefficients of each hydroelectric.
5.3. Natural Water Inflows for Both Scenarios
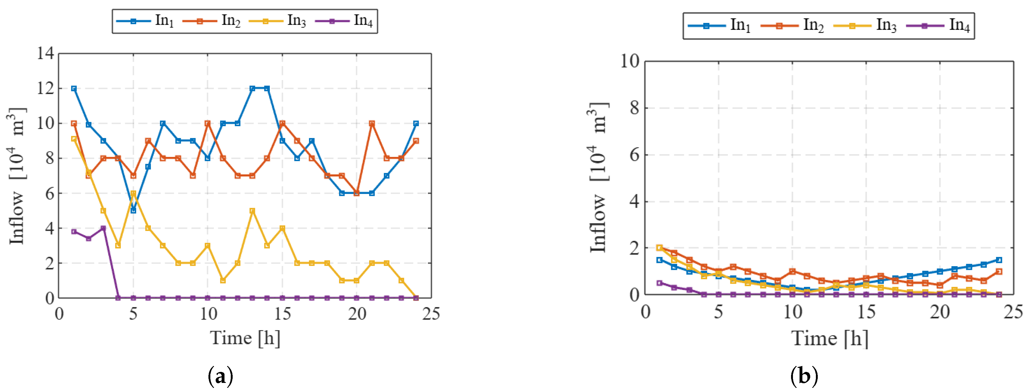
To this end, the system will evaluate various scenarios of natural water inflow. Figure 7 illustrates two such scenarios: the first represents a condition of high water availability, while the second depicts a drought period.
Figure 7.
Natural water inflows for both scenarios during the planning horizon: (a) First scenario. (b) Second scenario.
6. Results
For each scenario, the results proposed by each optimization technique are presented. These include the water discharge scheme, reservoir management, hydroelectric and thermoelectric operation, and operational costs.
6.1. Scenario 1
Table 10 presents the characteristics of the reservoirs, including power generation and discharge limits. The subsequent figures present the results of the economic dispatches obtained using the different proposed optimization techniques.
Table 10.
Reservoir storage, discharge limits, and reservoir characteristics.
In Scenario 1 (Table 11), where hydroelectric availability is limited, the Differential Evolution (DE) algorithm demonstrated the most favorable convergence behavior, reaching the lowest cost among all methods. Despite requiring a higher execution time (average of 81.47 s), DE achieved consistent results across repetitions and found the best cost early in the first iteration. Particle Swarm Optimization (PSO), while being the fastest in terms of runtime (9.40 s on average), delivered the least competitive cost. Grey Wolf Optimizer (GWO) and Cultural Algorithm (CA) showed moderate performance in both time and cost, though CA had the highest average runtime (150.15 s). Overall, DE stands out for robust convergence at the expense of higher computational time. Figure 8, Figure 9 and Figure 10 graphically present the generation dispatches, the discharge scheme, and the reservoir volume for scenario 1.
Table 11.
Performance summary of the algorithms under Scenario 1.
Figure 8.
Energy contribution of each unit proposed by the optimization techniques in Scenario 1: (a) Differential evolution. (b) Grey wolf optimization. (c) Particle swarm optimization. (d) Cultural algorithm.
Figure 9.
Discharge scheme for Scenario 1.
Figure 10.
Reservoir volume scheme for scenario 1.
As can be seen in Figure 11, DE offers the lowest operational cost in Scenario 1.
Figure 11.
Operational costs.
6.2. Scenario 2
Table 12 presents the reservoir characteristics, including power generation capacity and discharge limits for this scenario. Figure 12, Figure 13 and Figure 14 graphically present the generation dispatches, the discharge scheme, and the reservoir volume for scenario 2.
Table 12.
Reservoir storage, discharge limits, and reservoir characteristics for scenario 2.
Figure 12.
Energy contribution of each unit proposed by the optimization techniques in the second scenario: (a) Differential evolution. (b) Grey wolf optimization. (c) Particle swarm optimization. (d) Cultural algorithm.
Figure 13.
Discharge scheme.
Figure 14.
Reservoir volume scheme.
Figure 15 shows the operational costs of each technique; DE offers the lowest operational cost for Scenario 2.
Figure 15.
Operational costs in the second scenario.
In Scenario 2 (Table 13), with increased hydroelectric contribution, the DE algorithm once again achieved the best performance in terms of cost minimization, with a best cost of USD 5.6531 . Similar to the first scenario, DE required significantly more computational time (84.08 s average), but its convergence remained stable and repeatable. PSO was again the fastest method (12.29 s average) but showed the largest gap between best and worst costs, indicating higher sensitivity to initial conditions. CA exhibited the longest execution time overall (156.05 s), and GWO offered a balanced compromise between cost and runtime. These results reinforce the consistency and optimization capacity of DE under varying operational conditions.
Table 13.
Performance summary of the algorithms under scenario 2.
Finally, in Figure 16, the results are presented as percentages of the contribution of each type of generation in both scenarios. As mentioned earlier, renewable sources will remain constant to observe the consequences of periods with high and low water availability for hydroelectric plants.
Figure 16.
Percentage contribution of each type of power generation in both scenarios: (a) Scenario 1. (b) Scenario 2.
6.3. Costs Results Discussion
For each scenario, only two independent runs were performed per algorithm, which limits the feasibility of applying formal statistical significance tests. Nevertheless, the Differential Evolution (DE) algorithm consistently yielded the lowest operating costs across both hydropower availability scenarios, with negligible variation between repetitions (less than 0.5%). In comparison, Particle Swarm Optimization (PSO) and the Cultural Algorithm (CA) exhibited higher variability, reaching differences of up to 2.3%. These observations, combined with DE’s consistently superior average performance, highlight its practical advantage in cost minimization, even in the absence of formal statistical validation.
6.4. Sensitivity Analysis
To evaluate the robustness of the proposed dispatch model, a sensitivity analysis was conducted by modifying the total electrical demand by ±10%. The optimization process was repeated using both increased and decreased demand profiles while keeping the same configuration for all algorithms. The results showed that the Differential Evolution (DE) algorithm maintained the best performance across all cases, with cost variations remaining within ±4%. Additionally, the convergence patterns remained stable, and no feasibility issues were observed under the perturbed demand values. These findings confirm that the model exhibits consistent and reliable behavior under moderate demand uncertainty, supporting its applicability in real-world scenarios where forecast deviations are common.
7. Discussion
The Differential Evolution (DE) method proved to be very effective in this study. Likewise, several other works in the literature have used the DE for the economic dispatch problem. For example, in [24], thermal dispatch is tackled by incorporating the valve-point effect using the DE in conjunction with other optimization techniques, where it again provides one of the most optimal solutions. Because of its straightforward approach, the algorithm is easily modified regarding its internal operators. In [24], the authors improved the DE mutation stage by adding both the ideal and the best candidates from the last generation to form the mutant vector, thus increasing the rate of convergence. These results demonstrate that further refinements to the DE technique can and should be pursued in future research to achieve even better outcomes.
With regard to hybrid systems, alongside the optimization methods utilized, resource forecasting is fundamental for achieving the economic dispatch efficiency for the system. This work simulated the stochastic nature of renewable resources, including wind and solar power, by using the Monte Carlo method, which entails fitting historical data to probability density functions (PDFs) and running multiple iterations to create representative scenarios. This method works better to capture resource uncertainty across the planning horizon. A similar approach is described in [2], where the authors use Monte Carlo simulations to model the uncertainty of renewable resources using fitted PDFs. Their findings illustrate that the use of probabilistic forecasting enhances the reliability and robustness of dispatch decisions. The alignment of our results with those of [2] underlines the reliance on Monte Carlo simulation forecasting and its ability to capture the stochastic nature of varied resources, which serve as value-adding counterparts to optimization methods. Therefore, the application of precise forecasting models alongside robust optimization techniques results in improved energy management in hybrid power systems.
While this study relies on Monte Carlo simulation to model the stochastic behavior of renewable resources, it is important to acknowledge alternative forecasting techniques that have gained significant traction in the recent literature. Methods based on artificial intelligence—particularly deep learning—have shown strong potential for short-term forecasting of renewable generation and meteorological variables [30].
Among these, long short-term memory (LSTM) networks are especially effective for capturing temporal dependencies and trends in time-series data, such as solar irradiance or wind speed [31]. Additionally, hybrid approaches that combine statistical decomposition, such as Seasonal and Trend decomposition using Loess, with machine learning models like CatBoost have demonstrated superior forecasting accuracy, especially when working with multi-year panel data.
Although such methods typically require more computational resources and training data, their ability to learn complex, nonlinear patterns and temporal shifts may provide more precise forecasting results compared to probabilistic approaches alone. Future work could explore the integration of these techniques into the stochastic modeling phase, either as standalone predictors or as a complementary layer to enhance Monte Carlo scenarios. This would be particularly beneficial in systems with high penetration of intermittent renewables, where prediction accuracy has a direct impact on dispatch efficiency and system stability.
8. Conclusions
Differential Evolution technique proved to be the best among the four evaluated techniques since it has the minimum operational cost while maintaining the balance between demand and supply. Moreover, the results through all iterations are less prone to variance, thus making this algorithm favorable for any scenario with energy constraints.
Additionally, the probability density functions selected in this study are more than suitable to describe the stochastic behavior. Hence, together with the Monte Carlo approach, a resource forecasting is obtained that optimally uses renewable energy resources, which fulfills the target of minimal operational costs.
The other techniques used in this study, although not performing as well as the Differential Evolution algorithm in terms of the minimum achievable operational cost, succeeded in meeting the primary goal—optimizing the economic dispatch problem. This reinforces their credibility as viable optimization techniques for power systems. Due to the satisfactory results attained under intricate limitations, such as generation caps and energy shortfalls, these methods stand to benefit many situations, particularly those constrained by limited resources or uncertain operational conditions. Their flexibility and resilience make them more than suitable for future work focused on constrained optimization in energy systems.
Incorporating renewable energy sources into the electricity generation mix enhances the effectiveness of economic dispatch processes, having a positive impact on dispatch performance. This reconfiguration lowers costs while maintaining service reliability and aiding ecological balance. Renewable-based generation decreases operational costs, and by reducing the use of fossil fuels, it mitigates greenhouse gas emissions. Therefore, the transition from traditional generation models to hybrid energy systems brings important benefits such as higher economic efficiency, greater energy security, and positive impacts on the environment. These findings support the development of hybrid power systems as fundamental components of the advanced infrastructure for sustainable powering energy infrastructure.
Future research can extend this work in several directions. One potential line is the integration of energy storage systems (e.g., batteries or pumped storage), which could enhance system flexibility and reduce reliance on thermal generation. Additionally, incorporating more detailed network constraints (such as power flow and transmission limits) would allow for more realistic and operationally feasible dispatch strategies. Another promising direction involves combining metaheuristic optimization with advanced forecasting techniques, such as long short-term memory (LSTM) networks or hybrid models using CatBoost, to improve renewable energy prediction accuracy. Finally, applying the proposed methodology to larger, multi-node or real-time systems would allow evaluation of its scalability and practical deployment potential.
A key limitation of the current approach lies in its scalability to large interconnected power systems. As system size increases, the computational burden of Monte Carlo iterations and metaheuristic optimization grows significantly. Future work may explore decomposition strategies or hybrid solvers to mitigate this limitation and enable real-time applications in large-scale networks.
Author Contributions
J.C.-A.: conceptualization, validation, writing—review and editing, data curation, and formal analysis. C.B.-S.: methodology, validation, and writing—review and editing. H.A.: conceptualization, writing, review, and editing. J.M.: writing—review and editing. All authors have read and agreed to the published version of the manuscript.
Funding
This research received no external funding.
Data Availability Statement
The original contributions presented in this study are included in the article. Further inquiries can be directed to the corresponding author.
Conflicts of Interest
The authors declare no conflicts of interest.
Abbreviations
The following abbreviations are used in this document:
| EPS | Electric Power System |
| HGS | Hybrid Generation System |
| ED | Economic Dispatch |
| GSA | Gravitattional Search Algorithm |
| GPM | Grey Prediction Model |
| EDHGS | Economic Dispatch In Hybrid Generation Systems |
| Probability Distribution Functions | |
| GMM | Gaussian Mixture Model |
| DE | Differential Evolution |
| PSO | Particle Swarm Optimization |
| CA | Cultural Algorithm |
| GWO | Grey Wolf Optimizer |
| LSTM | Long Short-Term Memory |
References
- Zuloaga, S.; Vittal, V. Integrated Electric Power/Water Distribution System Modeling and Control under Extreme Mega Drought Scenarios. IEEE Trans. Power Syst. 2021, 36, 474–484. [Google Scholar] [CrossRef]
- Bastidas Morocho, S.E.; Arcos Martínez, H.N. Despacho Económico del Sistema Híbrido de las Islas Santa Cruz y Baltra Incorporando la Aleatoriedad de Potencia de los Sistemas Eólico y Solar Fotovoltaico. Rev. Técnica “Energía” 2019, 16, 1–7. [Google Scholar] [CrossRef]
- Zuloaga, S.; Vittal, V. Quantifying Power System Operational and Infrastructural Resilience under Extreme Conditions within a Water-Energy Nexus Framework. IEEE Open Access J. Power Energy 2021, 8, 229–238. [Google Scholar] [CrossRef]
- Orbea, D. Despacho Económico En Sistemas Eléctricos De Potencia Considerando El Comportamiento Estocástico De Centrales De Generación a Base De Energías Renovables No Convencionales. 2021. Available online: https://dspace.ups.edu.ec/handle/123456789/19786 (accessed on 29 May 2025).
- Vallejo, P. Evaluación Mediante Indicadores Clave de Rendimiento del Despacho Económico hidrotérmico Resuelto por Medio de técnicas Heurísticas. Bachelor’s Thesis, Universidad Politécnica Salesiana, Quito, Ecuador, 2021. Available online: https://dspace.ups.edu.ec/handle/123456789/20441 (accessed on 19 May 2025).
- Pinzón, S. Despacho Económico de Generación Hidroeléctrica y Termoeléctrica Usando Programación dinámica. Bachelor’s Thesis, Universidad Politécnica Salesiana, Quito, Ecuador, 2020. Available online: https://dspace.ups.edu.ec/handle/123456789/18850 (accessed on 19 May 2025).
- Veloz, C.; Jimenez, D.L.J.; Almache, V.C.; Achig, R.S. Evaluación de un modelo de optimización no lineal para el despacho económico de microrredes aisladas. Ingenius 2024, 31, 32–42. [Google Scholar] [CrossRef]
- Pu, X.; Zhao, L.; Xiong, C. Adaptive Weighted Hybrid PSOGSA Algorithm and its Application in Power System Economic Load Dispatch Problem. In Proceedings of the 32nd Chinese Control And Decision Conference (CCDC), Hefei, China, 22–24 August 2020; pp. 4135–4140. [Google Scholar] [CrossRef]
- Ahmad, M.; Ali, W.; Farooq, H.; Jamil, M.; Ali, M.; Rehman, A.U. Solving the Problem of Economic Load Dispatch for a Small Scale Power System Using a Novel Hybrid PSO-GSA Algorithm. In Proceedings of the 2018 International Symposium on Recent Advances in Electrical Engineering (RAEE), Islamabad, Pakistan, 17–18 October 2018; pp. 1–6. [Google Scholar] [CrossRef]
- Lin, L.; Zhu, C.; Wang, Q.; Zeng, J. Active power economic dispatch of wind farm cluster based on integer linear programming. In Proceedings of the 2013 IEEE Grenoble Conference, Grenoble, France, 16–20 June 2013; pp. 1–6. [Google Scholar] [CrossRef]
- Liu, Y.; Nair, N.K.C. A Two-Stage Stochastic Dynamic Economic Dispatch Model Considering Wind Uncertainty. IEEE Trans. Sustain. Energy 2016, 7, 819–829. [Google Scholar] [CrossRef]
- Liang, Z.; Chung, C.Y.; Zhang, W.; Wang, Q.; Lin, W.; Wang, C. Enabling High-Efficiency Economic Dispatch of Hybrid AC/DC Networked Microgrids: Steady-State Convex Bi-Directional Converter Models. IEEE Trans. Smart Grid 2024, 16, 45–61. [Google Scholar] [CrossRef]
- Huang, H.; Qiu, S.; Liu, D.; Yi, X.; Song, Q. Prediction of Renewable Energy in China Based on Grey Prediction Model. In Proceedings of the 2023 International Conference on Smart Electrical Grid and Renewable Energy (SEGRE), Changsha, China, 16–19 June 2023; pp. 324–328. [Google Scholar] [CrossRef]
- Mishra, S.; Shaik, A.G. Stochastic Search and Rescue Method for Day Ahead Economic Emission Load Dispatch under Wind Uncertainty. IEEE Access 2024, 12, 92826–92839. [Google Scholar] [CrossRef]
- Guo, X.; Bao, H.; Li, J. Interval optimal power flow model and its monte carlo method for AC/DC hybrid power system with wind power. In Proceedings of the 2019 14th IEEE Conference on Industrial Electronics and Applications (ICIEA), Xi’an, China, 19–21 June 2019; pp. 873–876. [Google Scholar] [CrossRef]
- Alzubi, I.; Al-Masri, H.M.K.; Abuelrub, A. Modified Particle Swarm Optimization Algorithms for Solving Economic Load Dispatch. In Proceedings of the 2022 3rd International Conference on Smart Grid and Renewable Energy (SGRE), Doha, Qatar, 20–22 March 2022; pp. 1–5. [Google Scholar] [CrossRef]
- Xie, Y.S.; Ruan, S.; Zeng, J.; Feng, B.X.; Feng, M.J.; Rao, W.X. Hybrid differential evolution and Cuckoo search algorithm for solving economic dispatch problems. In Proceedings of the 2024 14th International Conference on Information Technology in Medicine and Education (ITME), Guiyang, China, 13–15 September 2024; pp. 254–259. [Google Scholar] [CrossRef]
- Pinzón Masache, S.; Barrera-Singana, C. Short-term hydrothermal economic dispatch applied on hydraulic coupled power plants using dynamic programming. In Proceedings of the IEEE Andescon 2020, Quito, Ecuador, 13–16 October 2020. [Google Scholar] [CrossRef]
- Valle, R. Despacho Economico De Corto Plazo Para El Sistema Hibrido De Las Islas Santa Cruz Y Baltra, Ante Varios Escenarios De Aporte De Energía Renovable No Convencional. 2022. pp. 1–109. Available online: https://bibdigital.epn.edu.ec/bitstream/15000/23402/1/CD 12829.pdf (accessed on 21 May 2025).
- Vallejo Correa, P.; Barrera Singaña, C.; Vallejo Correa, P.; Valenzuela, A. Evaluation of Heuristic Techniques for Solving the Short-Term Hydrothermal Scheduling based on Key Performance Indicators (KPIs). In Proceedings of the 2021 IEEE Fifth Ecuador Technical Chapters Meeting (ETCM), Cuenca, Ecuador, 12–15 October 2021. [Google Scholar] [CrossRef]
- Ramos, S.; Ramírez-Martínez, M.V.; Garcés, A. Impacto de la generación eólica en el despacho hidrotérmico de mediano plazo. Rev. Fac. Ing. 2014, 1, 214–224. [Google Scholar]
- Abdelaziz, A.Y.; Hegazy, Y.G.; El-Khattam, W.; Othman, M.M. Optimal allocation of stochastically dependent renewable energy based distributed generators in unbalanced distribution networks. Electr. Power Syst. Res. 2015, 119, 34–44. [Google Scholar] [CrossRef]
- Sharma, S.; Mehta, S.; Chopra, N. Economic Load Dispatch Using Grey Wolf Optimization. Int. J. Eng. Res. Appl. 2015, 5, 128–132. [Google Scholar]
- Wu, Y.; Zhao, B.; Liu, L. Solving economic load dispatch problem with valve point effect using mean guiding differential evolution. In Proceedings of the IECON 2017-43rd Annual Conference of the IEEE Industrial Electronics Society, Beijing, China, 29 October–1 November 2017; pp. 434–439. [Google Scholar] [CrossRef]
- Shi, Y.; Gao, H.; Wu, D. An improved differential evolution algorithm with novel mutation strategy. In Proceedings of the 2014 IEEE Symposium on Differential Evolution (SDE), Orlando, FL, USA, 9–12 December 2014; pp. 1–8. [Google Scholar] [CrossRef]
- Banerjee, S.; Dasgupta, K.; Chanda, C.K. Short-term hydro–wind–thermal scheduling based on particle swarm optimization technique. Int. J. Electr. Power Energy Syst. 2016, 81, 275–288. [Google Scholar] [CrossRef]
- De Freitas, C.A.O.; de Oliveira, R.C.L.; Da Silva, D.J.A.; Leite, J.C.; Junior, J.D.A.B. Solution to economic-emission load dispatch by cultural algorithm combined with local search: Case study. IEEE Access 2018, 6, 64023–64040. [Google Scholar] [CrossRef]
- Wong, L.I.; Sulaiman, M.H.; Mohamed, M.R.; Hong, M.S. Grey Wolf Optimizer for solving economic dispatch problems. In Proceedings of the 2014 IEEE International Conference on Power and Energy (PECon), Kuching, Malaysia, 1–3 December 2014; pp. 150–154. [Google Scholar] [CrossRef]
- Nazari, M.; Mohammadi-Ivatloo, B.; Gharehpetian, B. Short-term scheduling of hydro based power plants considering application of heuristic algorithms: A comprehensive review. Renew. Sustain. Energy Rev. 2017, 74, 116–129. [Google Scholar] [CrossRef]
- Martyushev, N.V.; Spitsin, V.; Klyuev, R.V.; Spitsina, L.; Konyukhov, V.Y.; Oparina, T.A.; Boltrushevich, A.E. Predicting Firm’s Performance Based on Panel Data: Using Hybrid Methods to Improve Forecast Accuracy. Mathematics 2025, 13, 1247. [Google Scholar] [CrossRef]
- Singh, K.; Mistry, K.D.; Patel, H.G. Predictive Modeling of Wind Speed for Loss Reduction in Mesh Distribution Systems Using Long Short-Term Memory Network. In Proceedings of the 2024 23rd National Power Systems Conference (NPSC), Indore, India, 14–16 December 2024; pp. 1–6. [Google Scholar] [CrossRef]
Disclaimer/Publisher’s Note: The statements, opinions and data contained in all publications are solely those of the individual author(s) and contributor(s) and not of MDPI and/or the editor(s). MDPI and/or the editor(s) disclaim responsibility for any injury to people or property resulting from any ideas, methods, instructions or products referred to in the content. |
© 2025 by the authors. Licensee MDPI, Basel, Switzerland. This article is an open access article distributed under the terms and conditions of the Creative Commons Attribution (CC BY) license (https://creativecommons.org/licenses/by/4.0/).















